Сохранен 361
https://2ch.su/b/res/326954954.html
К сожалению, значительная часть сохранённых до 2024 г. изображений и видео была потеряна (подробности случившегося). Мы призываем всех неравнодушных помочь нам с восстановлением утраченного контента!

Почему математики такие уберменьши? Смотрю пики - вообще нихуя не понимаю, что тут написано. Китайск

 Аноним 23/11/25 Вск 18:25:11 #1 №326954954 
image.png
image.png
image.png
image.png
Почему математики такие уберменьши? Смотрю пики - вообще нихуя не понимаю, что тут написано. Китайские иероглифы и того понятней выглядят для меня. И я уверен, что таких дегенератов как я - подавляющее большинство в мире, которые вообще не понимают, что происходит на доске, не в состоянии решить уравнение, задачу и т.д. А умеющих в этот ценный навык - единицы, ну и оттого неудивительно, что есть огромный спрос на такие ценные кадры во всем мире. По этой же причине очевидно, почему инженеры, конструкторы, программисты, финанситы - поголовные 300к/наносеки. Вещь сложная, непонятная и в то же вермя крайне востребованная, единицы могут/хотят этим заниматься. Поэтому я верю, что люди на дваче имеют 300к и более, если они заняты в вышеперечисленных сферах. Умному человеку - соответствующая зарплата. В отрицание уходят только завистники и лахтазависимые.
Аноним 23/11/25 Вск 18:28:47 #2 №326955078 
17475109376870.jpg
Бля я кандидат физ.мат наук писал по численному решению уравнения губье стокса в пористой среде с учетом реологии жидкости (там смешная бингамовская жидкость была). Типо бля эта хуйня выглядит страшно со стороны, Но зачастую там совсем тупорылые и примитивные идеи стоят за всей этой хуйней. Так что превозносит всю эту хуйню рили только молекула ебаная. Это настолько же сложная хуйня как в доте на сфе ебашить
Аноним OP 23/11/25 Вск 18:28:58 #3 №326955090 
image.png
image.png
Это какой-то инопланетный язык, я вам клянусь, между теми, кто его знают, понимают и теми, кто вообще не въезжает в происходящее - просто огромная пропасть уровня папуасов и колонизаторов.
Аноним 23/11/25 Вск 18:30:59 #4 №326955153 
>>326954954 (OP)
> Смотрю пики - вообще нихуя не понимаю, что тут написано.
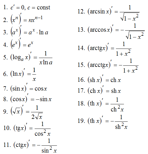
Алгебра и начала анализа, 10-11 класс.

Решить не возьмусь, я хуи пинал и в мед готовился, но значки все знакомые.
Аноним OP 23/11/25 Вск 18:35:05 #5 №326955271 
image.png
>>326955078
> писал по численному решению уравнения губье стокса в пористой среде с учетом реологии жидкости (там смешная бингамовская жидкость была).
Ничего не понял.
>Типо бля эта хуйня выглядит страшно со стороны
Все равно смотрю, ничего не понимаю.
>Но зачастую там совсем тупорылые и примитивные идеи стоят за всей этой хуйней.
Ну знаешь, я смотрел некоторые задачи с Петей, Машей и их колесами, часами, яблоками, а там блядь решение что-то на уровне пика, только еще больше и сложнее.
>Так что превозносит всю эту хуйню рили только молекула ебаная. Это настолько же сложная хуйня как в доте на сфе ебашить
Для меня дота тоже очень сложная игра, сколько не пытался, не получается, все как-то сликшом наворочено, много всего.
Всегда знал, что 90% дотеров - математики.
Аноним OP 23/11/25 Вск 18:36:46 #6 №326955330 
>>326955153
>Алгебра и начала анализа, 10-11 класс.
Возможно, но я смутно помню, помню только то, что ловил двояки по к/д, хотя и не я один такой был...
>Решить не возьмусь, я хуи пинал и в мед готовился, но значки все знакомые.
Есть такое...
Аноним OP 23/11/25 Вск 18:39:19 #7 №326955403 
Бамп
Аноним OP 23/11/25 Вск 18:41:36 #8 №326955478 
Бамп
Аноним OP 23/11/25 Вск 18:42:09 #9 №326955498 
Бамп
Аноним 23/11/25 Вск 18:42:16 #10 №326955500 
>>326954954 (OP)
Смешно читать такие высеры будучи самим в говне моченым. Научись плитку класть или стань сварщиком, будешь гораздо полезнее математиков, и зарабатывать будешь больше.
Аноним 23/11/25 Вск 18:42:30 #11 №326955514 
>>326955078
> уравнения губье стокса в пористой среде с учетом реологии жидкости
Проще говоря уравнение движения спермы в рот.
Аноним 23/11/25 Вск 18:42:55 #12 №326955523 
>>326954954 (OP)
Еще ни один математик, ученый в говне моченый не смог мне доказать почему если 5*0=0, а не 5. Я сводил с ума своих учителей этим вопросом, доводил до истерик. Сам я рот ебал вашу математику
Аноним OP 23/11/25 Вск 18:42:58 #13 №326955526 
Бамп
Аноним 23/11/25 Вск 18:44:51 #14 №326955585 
>>326955523
> 5*0=0, а не 5.
Это аксиома, их не доказывают.
Аноним 23/11/25 Вск 18:47:37 #15 №326955676 
>>326955585
>Это аксиома, их не доказывают.
А теперь докажи мне что аксиому не нужно доказывать
Аноним 23/11/25 Вск 18:48:45 #16 №326955709 
>>326954954 (OP)
после пятого класса потеряла вообще смысл матеши. щас сижу чето выкупаю, но не особо
Аноним 23/11/25 Вск 18:50:19 #17 №326955749 
image.png
>>326954954 (OP)
Математики - додики! Пока продакт менеджеры делают сложные вещи и как награду получают доллары, математики делают такую же сложную работу и получают за неё нихуя.
Аноним OP 23/11/25 Вск 18:51:34 #18 №326955781 
image.png
>>326955500
>Смешно читать такие высеры
Почему?
>будучи самим в говне моченым
Для меня честь с тобой вообще общаться. Представь себе, ты и я - мы живем в одной стране, дышим одним воздухом, сидим на одном форуме. Только у тебя критическое, абстрактное, нестандартное мышление, а я дегенерат. На пике я, кстати.
>Научись плитку класть или стань сварщиком, будешь гораздо полезнее математиков
Так это тупое занятие, не интеллекутальное. Математики ракеты проектируют, создают ИИ, прямо сейчас ты используешь пк/телефон, который создан математиками, пишешь на форуме, который создан математиком. Даже твоя квартира спроектирована математиком.
Аноним OP 23/11/25 Вск 18:54:06 #19 №326955851 
>>326955523
>Еще ни один математик, ученый в говне моченый не смог мне доказать почему если 5*0=0, а не 5.
Доказывали, ты просто не понял, не каждому это дано понять.
>Я сводил с ума своих учителей этим вопросом, доводил до истерик.
До истерик из-за того, что ты не понял с 100 попытки?
>Сам я рот ебал вашу математику
Ну я же говорю, это не для всех, а для людей с высоким IQ.
Аноним OP 23/11/25 Вск 18:54:40 #20 №326955867 
>>326955749
На фото исключение из правил.
Аноним 23/11/25 Вск 18:55:14 #21 №326955883 
>>326955749
> продакт менеджеры делают сложные вещи
Орут на кодерков и угрожают увольнением.

> математики делают такую же сложную работу и получают за неё нихуя
База.
Аноним OP 23/11/25 Вск 18:55:25 #22 №326955891 
>>326955749
Да и Пашка тоже неплох был в математике, не уровень его брата, но вполне себе хорошо знал насколько мне известно.
Аноним OP 23/11/25 Вск 18:57:43 #23 №326955942 
Бамп
Аноним OP 23/11/25 Вск 18:58:29 #24 №326955960 
Бамп
Аноним 23/11/25 Вск 18:58:54 #25 №326955975 
Блять на пиках матан 1 курса, иди учись, быдло
sage[mailto:sage] Аноним 23/11/25 Вск 19:00:19 #26 №326956019 
1763913619538.jpg
>>326954954 (OP)
> Почему философы такие уберменьши? Смотрю пики - вообще нихуя не понимаю, что тут написано. Китайские иероглифы и того понятней выглядят для меня.
Аноним OP 23/11/25 Вск 19:00:54 #27 №326956037 
>>326955975
Не учится, я тупой и вообще не в этой сфере учусь и работаю.
Аноним OP 23/11/25 Вск 19:01:45 #28 №326956063 
>>326956019
Философия неприменима на практике, а математика - царица всех наук.
Аноним 23/11/25 Вск 19:02:32 #29 №326956083 
image.png
>>326956019
Я, вот, читаю, и всё понятно

А ты сможешь прочитать простейшую диаграмму из Гомологической Алгебры и объяснить что на ней происходит?
Аноним 23/11/25 Вск 19:03:31 #30 №326956116 
>>326955867
на фото всегда подтверждение. Все крутые из айти умные, но не математикой занимаются, а делают реальные продукты.

Математика - это круто, я не спорю. Но не дайне неудачникам заразить вас своим вирусом лузерства, затсавив поверить, будто посвятить жизнь математике - это не слить её в унитаз.
Аноним 23/11/25 Вск 19:03:56 #31 №326956133 
>>326955883
>Орут на кодерков и угрожают увольнением
Я про продактов высшего уровня, Как Дуров. Он не орёт.
Аноним 23/11/25 Вск 19:04:01 #32 №326956138 
>>326954954 (OP)
> Смотрю пики - вообще нихуя не понимаю, что тут написано.
Для меня это прикол типо свистет хуём, прикольно но зачем.
Аноним 23/11/25 Вск 19:05:12 #33 №326956181 
>>326956063
Пососи практикант любитель прогресса и наукобот. Математика говно для дрочки мозга для рабов и создателей удобств, а философия говно для дрочки мозга для илитариев.
Аноним 23/11/25 Вск 19:06:11 #34 №326956213 
>>326954954 (OP)
>пишешь каракули
>с важным ебалом заявляешь, что доказал теорему тарана Хуйпроссышкина
>никто не может проверить
>гои рукоплескают

Вот так
Аноним OP 23/11/25 Вск 19:06:47 #35 №326956239 
>>326956116
>на фото всегда подтверждение. Все крутые из айти умные, но не математикой занимаются, а делают реальные продукты.
Но без математики ты хуй сделаешь продукт.
>Математика - это круто, я не спорю. Но не дайне неудачникам заразить вас своим вирусом лузерства, затсавив поверить, будто посвятить жизнь математике - это не слить её в унитаз.
Это как минимум развивает мышление.
sage[mailto:sage] Аноним 23/11/25 Вск 19:07:12 #36 №326956256 
>>326956083
Что значит "можешь"? Как ознакомлюсь с языком, на котором оно написано - смогу.
sage[mailto:sage] Аноним 23/11/25 Вск 19:07:54 #37 №326956274 
>>326956133
>>326955749
>>326955883
>>326956116
Придуров тупой ФСБшник, никаких математик он не изучал.
Аноним OP 23/11/25 Вск 19:08:16 #38 №326956284 
>>326956138
Не понял.
>>326956181
Кем работаешь, элитарий?
Аноним 23/11/25 Вск 19:08:31 #39 №326956290 
>>326956274
шиз спок
Аноним 23/11/25 Вск 19:08:51 #40 №326956300 
>>326956239
>Но без математики ты хуй сделаешь продукт
Потребность в математике тобой преувеличена.
Аноним 23/11/25 Вск 19:08:54 #41 №326956303 
>>326956256
Ну то есть математик может прочитать пасту про капитализм и шизофрению и что-то в ней понять

А философ, когда его просят прочитать диаграмму, "пук-среньк, я языка не знаю"

Мне кажется ты знатно пососал, дружище, со своей позицией
Аноним OP 23/11/25 Вск 19:09:43 #42 №326956336 
>>326956213
Но это так не работает, его просто за руку поймают если не студенты, так другие преподаватели, профессоры и т.д. Ты не смыслишь в математике.
Аноним 23/11/25 Вск 19:10:50 #43 №326956376 
там понимать не хуй теорию теоремы и формулы все что нужно знать
Аноним 23/11/25 Вск 19:12:45 #44 №326956425 
>>326954954 (OP)
> Умному человеку - соответствующая зарплата
Или сильному. Или быстрому. Да. Сегрегация это называется. Типа если ты дебил, то тебе ничего и не понадобится, да и хуй с ним.

Фашизм не пройдёт в игольное ушко.
Аноним 23/11/25 Вск 19:14:03 #45 №326956478 
А ты попробуй не просто пялиться на доску, когда она уже исписана, а начать сначала и слушать пояснения. Если видишь что-то незнакомое, то пытаешься выяснить через гугл или книгу.
Аноним 23/11/25 Вск 19:14:33 #46 №326956494 
>>326955851
>Доказывали, ты просто не понял, не каждому это дано понять.
аргумента из непонимания, логичкская ошибка достойная мотематика в говне моченого.
>До истерик из-за того, что ты не понял с 100 попытки
Давай напиши еще раз что это я не понял, а не вы просто городите хуйню.
>а для людей с высоким IQ.
Вот ты и вскрылся дегенерат ебаный, iq не имеет никакого отношения к уровню интелекта не имеет.
Аноним 23/11/25 Вск 19:15:25 #47 №326956521 
mjQjYTlrJDYLB.jpg
>>326956303
Энергических угледробильном.
Аноним OP 23/11/25 Вск 19:15:55 #48 №326956536 
>>326956300
Что конкретно ты имеешь в виду под продуктом?
Аноним 23/11/25 Вск 19:16:21 #49 №326956554 
>>326956536
айфон, вконтакте. То, что может принести тебе деньги а людям счастье.
Аноним OP 23/11/25 Вск 19:17:46 #50 №326956589 
>>326956425
>Или сильному. Или быстрому.
Это не такие полезные навыки в 21 веке.
>>326956478
Всей жизни не хватит, уже в школе пытался.
Аноним 23/11/25 Вск 19:18:35 #51 №326956618 
>>326954954 (OP)
Это потому что не варишься в этой теме,.на самом деле ничего сложного нет, усидчивость и дисциплины немного, разобраться может каждый
Если математически: здесь линейная корреляция между затраченным временем и знанием
Ты узнаешь все постепенно, по нарастающей и предыдущие знания не сильно сложнее чем предыдущие
Большинство других сфер соотносятся логарифмически, типо сначала ты дохуя узнаёшь, потом опа какой-то пиздец на который без бутылки не разберёшься, а потом ещё более непонятная хуйня и твои прошлые знания просто обмокают и вообще к этой залупе не ведут, здесь уже реально нужен незаурядный интеллект

Мимо PhD по прикладной математике
Аноним 23/11/25 Вск 19:18:54 #52 №326956628 
>>326955078
Ебанулся? Я даже койлом попасть не могу дальним ебаным
Аноним 23/11/25 Вск 19:19:46 #53 №326956664 
695.png
>>326954954 (OP)
> Смотрю пики - вообще нихуя не понимаю, что тут написано.
В школе надо было учиться, ебаклак.
И не прогуливать математику с геометрией.
Аноним 23/11/25 Вск 19:19:50 #54 №326956665 
>>326954954 (OP)
А что непонятного то?

Первый пик, пределы, правило лопиталя, это вообще первые пары первого курса. Там всё крутится от производных, проще некуда

Второй пик
То же самое, те самые производные функций

Третий пик
В душе не ебу, что-то абстрактное или связанное с топологией, такое на первых курсах всяких МГУ, МФТИ, туда вообще простые смертные не попадают

Четвёртый пик - опять абстракция, только теперь алгебра, кольца, поля, гомологии, группы, подгруппы, это вообще никому нихуя не понятно, кроме самих преподов, особенно в начале, тут посложнее

Мимо 30 летний олд(кук), учился в Бауманке на ИУ8, нихуя не ходил на пары, сдавал мат анализ, алгебру, геометрию, физику, спокойно без посещения лекций и прочих пар на четвёрки. Вышвырнули нахуй из-за философии в своё время, потому что препод раком встал из-за того что я пропускал пары, и я встал, ну и ебись оно всё конём и послал его нахуй
Аноним 23/11/25 Вск 19:21:16 #55 №326956721 
>>326956665
>Вышвырнули нахуй из-за философии в своё время, потому что препод раком встал из-за того что я пропускал пары, и я встал, ну и ебись оно всё конём и послал его нахуй
Тяжело тебе в жизни, наверное? Но признаю, зато не терпила
sage[mailto:sage] Аноним 23/11/25 Вск 19:22:02 #56 №326956753 
>>326956494
> Вот ты и вскрылся дегенерат ебаный, iq не имеет никакого отношения к уровню интелекта не имеет.
Соглы. Мне лично тест показал 96 вроде, и я понимаю, что это не репрезентирует мой уровень интеллекта.
Аноним 23/11/25 Вск 19:22:42 #57 №326956773 
1491316707776.png
С нейросетками сейчас можно получить объяснение решения и никакие репетиторы нахуй не нужны уже.

Пиздуй учить и решать всякие уравнения с 7 класса и закрой хотя бы школьную программу, хуле.

Как вы ЕГЭ нахуй сдавали вообще, там же математика обязательная (ну или это у нас была, хз как теперь у пориджей).
Аноним 23/11/25 Вск 19:23:36 #58 №326956803 
>>326955523
В математике есть строгие правила (аксиомы), которые делают всю систему последовательной. Одно из ключевых свойств числа 0 — это нейтральный элемент для сложения. Это значит, что:
a + 0 = a для любого числа a.

Отсюда следует, что ноль обладает особым свойством при умножении, которое доказывается так:

Мы знаем, что 0 + 0 = 0.

Умножим обе части этого равенства на любое число, например, 5:
5 × (0 + 0) = 5 × 0

Раскроем скобки, используя распределительное свойство умножения (a×(b+c) = a×b + a×c):
(5 × 0) + (5 × 0) = (5 × 0)

Теперь посмотрим на получившееся равенство: (5 × 0) + (5 × 0) = (5 × 0).
Давайте обозначим (5 × 0) как X. Тогда у нас получается: X + X = X.

Какое число обладает свойством, что при сложении с самим собой дает тот же результат? Только ноль!
X + X = X => Вычтем X из обеих частей: X = 0.

Таким образом, мы доказали, что 5 × 0 = 0. И это работает для любого числа, а не только для пятерки.
Аноним 23/11/25 Вск 19:23:55 #59 №326956809 
>>326954954 (OP)
Душная хуета для нитакусиков, либо инцелов с комплексами, либо для реальных шизов кому действительно интересно дрочить букваки и закорючки. Если не горишь этим то и нехуй забивать себе голову,иди куда нибудь руками работай будешь получать больше а стресса будет меньше.
Аноним 23/11/25 Вск 19:25:28 #60 №326956856 DELETED
>>326955523
5×2=10: у тебя два пакета с пряниками, в каждом по пять, и того у тебя десять пряников.
5×0=0 у тебя нуль пакетов с пряниками, в каждом по пять, и того у тебя нуль пряников.
Аноним 23/11/25 Вск 19:25:28 #61 №326956857 
image.png
>>326956803
>В математике есть строгие правила (аксиомы)
>Соглашения о Больших и Малых множествах Маклейна
Аноним 23/11/25 Вск 19:26:03 #62 №326956882 
>>326956721
Так я готов был ему всё сдать, просто он меня не допустил к сдаче, потому что я проебал буквально все его пары. Хотя вся эта философская поебистика училась за пару-тройку вечеров перед зачетом.
Тяжело ли? Я вообще благодарен, что я съебался(меня выпнули) с этого ВУЗа в итоге, я потом просто ушёл в торговлю на бирже, сейчас в хуй не дую, всё по жизни есть, чего хотелось. Ибо не понятно как сложилась бы моя судьба, если бы я ещё потратил 3 лишних года на обучение
Аноним OP 23/11/25 Вск 19:26:30 #63 №326956894 
image.png
>>326956494
>аргумента из непонимания, логичкская ошибка достойная мотематика в говне моченого.
>Давай напиши еще раз что это я не понял, а не вы просто городите хуйню.
Так принято во всем научном сообществе.
>Вот ты и вскрылся дегенерат ебаный, iq не имеет никакого отношения к уровню интелекта не имеет.
А где я отрицал, что не дегенерат, прямо об этом говорил.
Аноним 23/11/25 Вск 19:26:44 #64 №326956904 
>>326954954 (OP)
а кому это надо нахуй я пивка лучше въебу с рыбкой охуенной, такие задроты несчастные люди
Аноним OP 23/11/25 Вск 19:27:27 #65 №326956921 
>>326956554
Так это все сделали инженеры и программисты, которые своего рода математики.
Аноним OP 23/11/25 Вск 19:34:46 #66 №326957137 
>>326956618
>Это потому что не варишься в этой теме,
В школе посещал занятия по математике, видосики какие-то смотрел. Всегда было 2, ну и в лучшем случае 3.
>.на самом деле ничего сложного нет
Ты об этом говоришь с позиции математики. Сам Савватеев даже говорит, что математика не для всех и это сложная наука.
>усидчивость и дисциплины немного
С этим никогда проблем не было. Недавно выучил лекцию на 50 страниц за 4 часа и сдал зачет.
>разобраться может каждый
Не может, не у всех хорошо развиты доли головного мозга, которые отвечают за математическое мышление. Это дается от природы, как и рост, цвет глаз и волос, размер хуя и т.д.
>Если математически: здесь линейная корреляция между затраченным временем и знанием
Ели я тебя правильно понял: есть тупые, которым нужна неделя, чтобы разобраться, а есть умняши, которым достаточно 1 дня, чтобы все понять.
>Мимо PhD по прикладной математике
Сверхчеловек, ты понимаешь вообще какое же я говно по сравнению с тобой?
Аноним 23/11/25 Вск 19:34:47 #67 №326957138 
>>326955078
>уравнения губье стокса
Кто такой губье? Протык твой? Хули ты тут им кичишься?
>в пористой среде с учетом реологии жидкости
Пидоры вы все, даже если ты под губье имел навье. Хоть бы Эфроса прочитали для начала, прежде чем пытаться что-то считать в порах.

Там 16 независимых величин необходимо моделировать, а не губье ебать.
Аноним OP 23/11/25 Вск 19:36:10 #68 №326957181 
>>326956664
>В школе надо было учиться, ебаклак.
Учился. По всем предметам 5, кроме математики и физики.
>И не прогуливать математику с геометрией.
Не прогуливал. Только по болезни мог крайне редко пропустить.
Аноним 23/11/25 Вск 19:45:34 #69 №326957474 
>>326956921
миллиарды кто получил?
Аноним 23/11/25 Вск 19:45:51 #70 №326957478 
>>326954954 (OP)
Назови наиболее простую тему из школьной математики, которая вызывает у тебя проблемы с пониманием
Аноним OP 23/11/25 Вск 19:47:33 #71 №326957542 
>>326956665
>Первый пик, пределы, правило лопиталя
Не понимаю что там вообще написано, нагромождение всего, что это вообщем все значит. lim какой-то. Это предел, да? Cos, sin, tg это тригонометрия я помню еще со школы.
>это вообще первые пары первого курса.
Я не учился в техническом вузе.
>Там всё крутится от производных, проще некуда
Не помню, что это. Они в школе были, но я их не понял.
>В душе не ебу, что-то абстрактное или связанное с топологией, такое на первых курсах всяких МГУ, МФТИ, туда вообще простые смертные не попадают
Вот о чем я и говорю, сверхлюди просто. НО, парень с моей школы учится в Бауменке на чем-то связаном с ракетами, а другой парень из моего района поступил по олимпиаде в мфти на программиста, третий и тоже из моего района на нефтегазового инженера в Губкина, но по ЕГЭ. Мухосранск, 40к голов.
>Четвёртый пик - опять абстракция, только теперь алгебра, кольца, поля, гомологии, группы, подгруппы, это вообще никому нихуя не понятно, кроме самих преподов, особенно в начале, тут посложнее
Для меня это почти то же самое, что и пик 1.
>Мимо 30 летний олд(кук), учился в Бауманке на ИУ8, нихуя не ходил на пары, сдавал мат анализ, алгебру, геометрию, физику, спокойно без посещения лекций и прочих пар на четвёрки.
Сверхчеловек.
Аноним 23/11/25 Вск 19:47:39 #72 №326957547 
>>326956665
>пределы, правило лопиталя
>Там всё крутится от производных,
Так, абажжи, а разве не наеборот - производные крутятся от пределов?
мимо тупень из горного
Аноним OP 23/11/25 Вск 19:49:20 #73 №326957600 
>>326956773
>С нейросетками сейчас можно получить объяснение решения и никакие репетиторы нахуй не нужны уже.
Нейросеть не заменит реального человека. Да и они тоже ошибаются.
>Пиздуй учить и решать всякие уравнения с 7 класса и закрой хотя бы школьную программу, хуле.
Зачем? Не в этом суть треда.
>Как вы ЕГЭ нахуй сдавали вообще, там же математика обязательная (ну или это у нас была, хз как теперь у пориджей).
Математика разная. Есть базовая, а есть профиль.
[mailto:@RacistAnarcho] Аноним 23/11/25 Вск 19:50:18 #74 №326957629 
16618584729990.jpg
Врете, еврофашисты Природный счет.webm
>>326954954 (OP)
Говно
Аноним OP 23/11/25 Вск 19:50:38 #75 №326957644 
image.png
Аноним 23/11/25 Вск 19:53:00 #76 №326957719 
>>326956063
Сразу видно необразованное быдло, которое не знает что и логика и математика это разработка философов и при этом надо усраться на эту тему. Иди книжки читай
Аноним OP 23/11/25 Вск 19:55:36 #77 №326957803 
>>326956809
>Душная хуета для нитакусиков, либо инцелов с комплексами, либо для реальных шизов кому действительно интересно дрочить букваки и закорючки.
Ярлыки вешаешь. Зачем?
> Если не горишь этим то и нехуй забивать себе голову,иди куда нибудь руками работай будешь получать больше а стресса будет меньше.
Сам кем работаешь, чем занимаешься?
Аноним OP 23/11/25 Вск 19:57:00 #78 №326957850 
>>326957719
Я знаю, что математика когда-то образовалась от философии. Но в В целом - это вообще разные и очень самостоятельные, крайне разрозненные между собой сферы.
Аноним 23/11/25 Вск 19:57:51 #79 №326957877 
>>326956904
Ты просто слишком туп и не понимаешь своего низкого положения.
Аноним OP 23/11/25 Вск 19:59:42 #80 №326957929 
>>326957474
Инженеры и математики.
Аноним 23/11/25 Вск 20:00:28 #81 №326957958 
>>326954954 (OP)
Я завидую им. У меня ресентимент к умным людям.
Аноним 23/11/25 Вск 20:00:47 #82 №326957970 
image.png
>>326954954 (OP)
Репетитор университетской математики итт

Ху-е-та эта ваша математика. Бабло на ней можно заработать либо если ты реально уникальный специалист, работу которого осилит тысяча человек на всей планете (0.00001%) либо если ты этой хуйне учишь других. Сам по себе навык решения диффуров нахуй никому не вперся. Уровень ютубного научпопа при правильном подходе осилит любой, кому это хоть сколько-нибудь интересно. Под капотом там лежат элементарные концепции, который со временем натягиваются на новые идеи. Типа "а давайте теперь треугольники не на плоскости, а на шаре рисовать. нихуя себе! теперь сумма углов не 180 градусов"

Так что нет смысла превозносить человека просто за то, что он может что-то там посчитать. Куда важнее навык применения математических концепций ирл. Например, теория вероятности школьного уровня, которую ты прогоняешь при принятии какого-то решения, примерно в миллиард раз полезнее умения представлять бесконечномерное пространство
Аноним OP 23/11/25 Вск 20:01:19 #83 №326957989 
>>326957478
Тригонометрии всякие, пределы, производные, уравнения и т.д.
Аноним OP 23/11/25 Вск 20:03:31 #84 №326958068 
>>326957629
Ну и шизофрения.
>>326957958
>Ресентимент — это чувство враждебности, злопамятства и бессильной зависти к тому, кого воспринимают как причину собственных неудач
Почему математики виноваты в твоих неудачах?
Аноним 23/11/25 Вск 20:04:53 #85 №326958108 
>>326954954 (OP)
Наоборот, это максимум унтерменши. Не размножаются вне очень тепличных условий, по факту человечеству уже придуманной математики хватит ещё лет на 200 технического прогресса, количество аутистов и конченных ебанатов в этой среде стремиться к 100%.
Что меня реально удивляет, это интерес к математике. Есть же физика, там это хотя бы как-то привязано к реальности. Больше меня удивляет только популярность шахмат в 2л25
Аноним 23/11/25 Вск 20:07:13 #86 №326958183 
>>326958068
Очевидно, потому что они умнее меня.
Аноним 23/11/25 Вск 20:07:50 #87 №326958205 
>>326957989
Покажи наиболее простое уравнение, которое вызываету тебя затруднения
Аноним 23/11/25 Вск 20:08:50 #88 №326958244 
>>326954954 (OP)
то что на пиках это не математика и не наука. это шизофрения. математика это умножения, плюсы минусы деления. все это понятно и объяснимо. хуета на пиках это высер отбитого долбаеба который решил сделать из этого "новуку". реальная наука это метеорология или география. ебаное месиво из цифр и букв в котором хуй пойми что происходит это не наука а хуета
Аноним 23/11/25 Вск 20:08:53 #89 №326958245 
>>326957929
на всех. А Джобс и Дуров получили сами.
Аноним 23/11/25 Вск 20:13:52 #90 №326958428 
>>326957542
Так я и сам не учился никогда толком даже в школе, в конце 10 класса принял решение поступать на физмат направление, это было спонтанное решение, потому что гуманитарка меня вообще не интересовала, кроме английского языка, а биология-химия это вообще не моё
Без репетиторов и какой либо помощи начал штудировать учебник по физике, лол, даже закладка осталась в хроме https://mathus.ru/phys/book.pdf
Так же по каким-то ресурсам изучал математику
С околонуля за пару месяцев я уже знал неплохо весь курс алгебры и физики с 5 по 11 класс, потом начал штудировать и задрачивать тестовые ЕГЭ примеры.
В итоге сдал физику на 87, математику на 91, русский на 85, поступил на бюджет(Но не благодаря баллам) на ИУ8 Бауманки, где потом успешно(нихуя не успешно в итоге из-за философии) не ходил на пары и сдавал все физико-математические дисциплины на хорошо, задрачивая их за неделю-пару дней до экзаменов

>>326957547
Там всё крутится друг от друга, производная это "если совсем по обывательски" скорость изменения функции, тот же интеграл это площадь области под функцией, предел это значение к которой стремится функция при указанном x, правило лопиталя лишь упрощает нахождение пределов при неопределённостях 0/0 или бесконечность на бесконечность при помощи производной
Аноним 23/11/25 Вск 20:14:19 #91 №326958443 
Математика, это такая же дисциплина как крутить гайки на заводе, хуевый математик хуево разбирается в матане, хуево крутящий гайку хуевый продукт производит. Разница в хорошо знающем матан и хорошо крутящим гайки, что на матан пох и они пилят кучу видосов в инет. А вот как правильно крутить гайку на АЭС или на каком нибудь передовом заводе тебе уй кто даст видео запилить, секрет фирмы) пока матан что то давал производству, его выкладки тоже особо не публиковали, тот же закон норм распределения вышел под псевдонимом
Аноним OP 23/11/25 Вск 20:14:49 #92 №326958458 
image.png
>>326957970
>Репетитор университетской математики итт
Класс, но почему не вкатился в айти, инженеры там?
>Ху-е-та эта ваша математика.
Напиши сейас это в /math или /un, тебя же просто уничтожат фактами и логикой.
>Бабло на ней можно заработать либо если ты реально уникальный специалист, работу которого осилит тысяча человек на всей планете (0.00001%) либо если ты этой хуйне учишь других.
Смотря, что понимать под баблом. Для одних 40к деньги, а для других и 400к мало.
>Сам по себе навык решения диффуров нахуй никому не вперся.
Если он есть и его изучают в вузе, значит он в чем-то, да нужен.
>Уровень ютубного научпопа при правильном подходе осилит любой, кому это хоть сколько-нибудь интересно.
Мне математика никогда не была интересна, но я хочу понять, почему я её не понимаю, а другие ее понимают, только в данном контексте интересна.
>Под капотом там лежат элементарные концепции, который со временем натягиваются на новые идеи.
Которые выглядят как иероглифы внеземных цивилизаций.
>Так что нет смысла превозносить человека просто за то, что он может что-то там посчитать.
Не согласен, это не все дано от природы.
>Куда важнее навык применения математических концепций ирл.
Огромное количество сфер. даже если ты окончил чистую матетматику, то без проблем можешь пойти в айти или финансы.
>Например, теория вероятности школьного уровня, которую ты прогоняешь при принятии какого-то решения, примерно в миллиард раз полезнее умения представлять бесконечномерное пространство
Да, если хорошо знать и понимать теорию вероятностей, то можно выигрывать в покер, наебывать легально людей в вказино и лотто.
Аноним 23/11/25 Вск 20:14:56 #93 №326958462 
>>326958244
Все физики, включая метеорологов, знают вещи с первого и второго пика.
Аноним 23/11/25 Вск 20:19:18 #94 №326958603 
>>326957877
какая мне разница мне перед кем понтоваться епт, я уже пива дал и мне хорошо я никому ниче не должен
Аноним OP 23/11/25 Вск 20:19:33 #95 №326958612 
>>326958205
Лучше ты мне кинь. А я уже скажу.
Аноним 23/11/25 Вск 20:21:05 #96 №326958669 
>>326958458
>Мне математика никогда не была интересна, но я хочу понять, почему я её не понимаю, а другие ее понимают, только в данном контексте интересна.
Тут много причин. Во-первых, тебя с детстве не дрочили в мат. школе, потом ты не поступил на мех. мат МГУ и СПбГУ, потом в аспирантуру не поступил. Ещё роляет, если ты вообще тупой и не еврей.
Аноним 23/11/25 Вск 20:22:22 #97 №326958710 
>>326957970
Кому-то элементарно, кому-то нет, база нужна, чтобы препод шарил, а не по учебнику вместе со школьниками профессию постигал. Посоветуй учебник какой-нибудь, чтобы до уровня среднего технаря нормально понимание предмета выстроить.
Аноним 23/11/25 Вск 20:23:58 #98 №326958776 
сынки учите с++ и у вас будут шансы в жизни
Аноним OP 23/11/25 Вск 20:25:22 #99 №326958831 
>>326958108
>Наоборот, это максимум унтерменши.
Унтерменьши - это те, кто не понимают математику, низкий интеллект.
>Не размножаются вне очень тепличных условий,
Не знаю к чемуу ты это брякнул, у всех моих знакомых/друзей, кто шарил в математике - были тянки, кто-то уже даже отец. А у меня никого нет, хотя не очень то и хотелось.
> по факту человечеству уже придуманной математики хватит ещё лет на 200 технического прогресса
Нет предела совершенству.
>количество аутистов и конченных ебанатов в этой среде стремиться к 100%.
Гениальных людей уровня Перельмана - единицы, нет, даже не так, - 0,00001.
>Что меня реально удивляет, это интерес к математике.
Царица всех наук. Зная её - будешь во всех сферах богом. Химия, физика, программирование, инженерия, экономика. И все это прибльыне сферы. В целом математика развивает мышление, логику в повседневной жизни.
>Есть же физика, там это хотя бы как-то привязано к реальности.
Физика без математики - как машина без двигателя.
> Больше меня удивляет только популярность шахмат в 2л25
Логика, аналитическое мышление. Все, кто шарили в математике у меня - играли в шахматы.
Аноним 23/11/25 Вск 20:27:52 #100 №326958928 
>>326958776
нахуй мне эта задротская хуйня я на заводе 180к получаю нач цеха, домой прихожу пиво пью с рыбой охуенной и играю в комп
Аноним 23/11/25 Вск 20:28:30 #101 №326958953 
>>326958831
>Унтерменьши - это те, кто не понимают математику, низкий интеллект.
Сразу назуй идёшь. Я сам лично ненавижу математику.
Аноним 23/11/25 Вск 20:28:56 #102 №326958971 
>>326958831
знания в гроб не заберешь поэтому похуй
Аноним 23/11/25 Вск 20:29:08 #103 №326958982 
image.png
>>326958928
это интересно братуха ты попробуй тебе будет приятно
я работаю на джаве прихожу домой учу плюсы
мне приятно
Аноним 23/11/25 Вск 20:29:24 #104 №326958992 
>>326958953
Ты просто быдло
Аноним OP 23/11/25 Вск 20:30:10 #105 №326959031 
>>326958183
И что ты предлагаешь? Убить их что ли?
Аноним 23/11/25 Вск 20:30:25 #106 №326959038 
>>326958992
Сам ты быдло.
Аноним 23/11/25 Вск 20:31:22 #107 №326959076 
>>326955153
>Алгебра и начала анализа, 10-11 класс.
>
1й и 2й пик - да
3й и 4й - нет
Аноним 23/11/25 Вск 20:33:46 #108 №326959169 
image.png
image.png
>>326957644
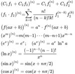
Твой пик -- это следствие формул с моих двух пиков. Штрих обозначает, что берётся производная, а "степень" в скобках означает, сколько раз берётся производная (находится производная из выражения, а потом из находят производную от результата).
Аноним OP 23/11/25 Вск 20:33:54 #109 №326959175 
>>326958244
>то что на пиках это не математика и не наука
А что тогда?
>это шизофрения
1 и 2 пики программа 10-11 класса/1 курса тех.вуза.
>математика это умножения, плюсы минусы деления.
Это арифметика.
>все это понятно и объяснимо. хуета на пиках это высер отбитого долбаеба который решил сделать из этого "новуку".
Благодаря хуете на пиках ты прямо сейчас можешь высирать этот пост на дваче.
>реальная наука это метеорология или география.
Практическая польза от того, что ты знаешь что завтра будет солнечно, а нижние залупки находятся в запиздяйской области.
>ебаное месиво из цифр и букв
Да.
>что происходит это не наука а хуета
Нет, это не только наука, но и инструментарий для других областей.
Аноним 23/11/25 Вск 20:33:55 #110 №326959176 
>>326959038
У меня высшее образование, как я могу быть быдлом? Я буквально интеллигенция.
Аноним 23/11/25 Вск 20:35:22 #111 №326959231 
Ща чатгпт может любую математическую теорию разгадать и решить.
Аноним 23/11/25 Вск 20:37:15 #112 №326959304 
image.png
image.png
image.png
>>326958612
Из первой части профильного ЕГЭ
Аноним OP 23/11/25 Вск 20:37:24 #113 №326959310 
>>326958245
Джобс работал в команде с кем-то, а вкотакте запрограммировал его брат. Очевидно, все были в доле. Просто Николай Дуров ведет более тихий образ жизни.
Аноним 23/11/25 Вск 20:38:39 #114 №326959355 
>>326959176
Так и у меня высшее образование. Я аж МГУ окончил. И что?
Аноним OP 23/11/25 Вск 20:39:50 #115 №326959399 
image.png
image.png
image.png
image.png
"Родился 21 ноября 1980 года в Ленинграде в семье университетской интеллигенции[8]. Он старше брата Павла на четыре года. К трём годам умел читать. Под его руководством младший брат начал программировать в десятилетнем возрасте[9].

В подростковом возрасте жил в итальянском Турине, где его отец, Валерий Дуров, работал несколько лет. Павел Дуров рассказывал, что Николая показывали по итальянскому телевидению «как вундеркинда, который был способен решать кубические уравнения в режиме реального времени в возрасте 10 лет»[9]"
Аноним 23/11/25 Вск 20:40:56 #116 №326959441 
>>326958458
>Класс, но почему не вкатился в айти, инженеры там?
мне просто в кайф преподавание + это приносит норм деньги (2500 в час) + свободный график. а айтишка это, как правило, скучные задачи и полное отчуждение от твоего труда. Лично я кайфовал, когда мой ученик, который не понимал почему из "а+б=с" следует "а=с-б" спрогрессировал до вычисления криволинейного интеграла и сдал экзамен
>Напиши сейас это в /math или /un, тебя же просто уничтожат фактами и логикой.
Мне ирл общения с математиками хватает. Логикой я сам могу давить, но мне это не интересно
>Если он есть и его изучают в вузе, значит он в чем-то, да нужен.
Математика в универе дается не для того чтобы ты потом пиздел всем вокруг какой ты дохуя умный, а для того, чтобы ты просто узнал что есть вот такой вот инструмент. Хочешь развиваться в соответсвующем направлении - дальше сам. А так это линза, через которую ты можешь воспринимать мир
>Мне математика никогда не была интересна, но я хочу понять, почему я её не понимаю, а другие ее понимают, только в данном контексте интересна.
Скорее всего из-за того, что у тебя нет понимания базовых вещей. У 90% школьников проблемы начинаются с 7 класса. Именно там все темы концентрируются в одну - функции. Именно с этого момента требуется не просто понимание одной темы, которую тебе на неделе рассказали, а комплексное понимание всего происходящего и абстрактное мышление. Именно тогда большая часть школьников говорит что-то вроде "наверное, я гуманитарий", хотя на деле они просто не понимают математику
>Огромное количество сфер. даже если ты окончил чистую матетматику, то без проблем можешь пойти в айти или финансы.
Ровно как и любое фундаментальное образование. Физики, химики, биологи, медики
>Да, если хорошо знать и понимать теорию вероятностей, то можно выигрывать в покер, наебывать легально людей в вказино и лотто.
У тебя немного примитивный взгляд на тот же тервер. Он нужен скорее для оценки рисков при планировании отпуска, для построения отношений, в том как следует откликаться на вакансии и все в таком духе
Аноним 23/11/25 Вск 20:41:42 #117 №326959466 
>>326954954 (OP)
Бля ну ладно пик 3, особенно пик 4 адский пердолинг, но 1 и 2 это блядь школа и каждый их знает, не?
sage[mailto:sage] Аноним 23/11/25 Вск 20:45:03 #118 №326959582 
>>326959310
>а вкотакте запрограммировал его брат
ты в курсе, что ты на уровне подъездной бабки сейчас, которая слухам верит?
Аноним OP 23/11/25 Вск 20:47:10 #119 №326959642 
>>326958428
>Так я и сам не учился никогда толком даже в школе, в конце 10 класса принял решение поступать на физмат направление
Сверхчеловек. А я учился все 11 лет и нихуя не понимаю математику дальше дробей, дискриминантов, каких-то простых систем/уравнений.
> гуманитарка меня вообще не интересовала, кроме английского языка, а биология-химия это вообще не моё
Вот это все легко мне давалось почему-то, хотя я даже не учил. Достаточно 1 раз было прочитать все. А учебник по математике сколько бы не читал, нихуя не понимаю.
>Без репетиторов и какой либо помощи начал штудировать учебник по физике, лол, даже закладка осталась в хроме >https://mathus.ru/phys/book.pdf
Сверхчеловек.
>С околонуля за пару месяцев я уже знал неплохо весь курс алгебры и физики с 5 по 11 класс, потом начал штудировать и задрачивать тестовые ЕГЭ примеры.
В егэ нет тестов по математике. Насчет физики не знаю.
>В итоге сдал физику на 87, математику на 91, русский на 85
Просто гений.
>поступил на бюджет(Но не благодаря баллам) на ИУ8 Бауманки
А благодаря чему? Олипиаде?
> на ИУ8 Бауманки, где потом успешно(нихуя не успешно в итоге из-за философии) не ходил на пары и сдавал все физико-математические дисциплины на хорошо, задрачивая их за неделю-пару дней до экзаменов
Мне бы твои мозги.
Аноним 23/11/25 Вск 20:48:02 #120 №326959663 
>>326954954 (OP)
>Смотрю пики - вообще нихуя не понимаю, что тут написано
Так ты и не должен. Я вот не понимаю нихуя что в нотной грамоте написано, а гении музыканты дрочат это годами и создают шедевры. Есть математический язык, есть концепции, которые он передаёт. У тебя какое-то искажение, что зная цифры и латинские буквы, ты должен воспринимать эти концепции. Видимо, жертва школьной программы, учителей, родителей - можешь подумать сам почему это тебя волнует.
Энивей, технарь ты или нет, будешь клоуном при пидорасах, если мы говорим про дефолтную корпоративную работу, куда идут многие прогеры, физики, математики. Тобой будут повелевать тупые, блатные, те, кто идёт по головам, кабанчики, и самое страшное - гуманитарии. А решать ты будешь никому нахуй ненужные задачи по оптимизации говна. В конечном счете любого рефлексирующего технаря посещает экзистенциальный кризис, выгорание от этой пидорской среды, некоторые уходят в нормальные сферы где непосредственно виден импакт в мир, либо уходят в лес. Учитывая развитие ии, большинство технарей просто сходят нахуй в какой-то момент, и их задачи сможет решать такой же, как ты несведущий в науках хитрый макака, задавая промпты. И делать он это будет быстрее чем технарь, потому что пока он вчитывается в выдачу ллмки и редактирует, макака уже отправляет готовое решение тупому начальнику и получает повышение.
Аноним 23/11/25 Вск 20:50:47 #121 №326959747 
>>326959642
>В егэ нет тестов по математике
Речь идёт о первой части. Раньше на математике там были варианты ответов как сейчас на физике. В тестовой части нужно только написать праивльный ответ без демонстрации решения как во второй.
Аноним 23/11/25 Вск 20:52:49 #122 №326959808 
>>326955523
5х1=5
5х0,9=4,5
5х0,5=2,5
5х0,2=1
5х0,1=0,5
5х0,01=0,05
5х0,000001=0,000005
5х(0+ε)=5xε
ε->0 => 5xε->0
Вообще тут с сигмой надо доказывать строго, но я не помню а вспоминать влом
Аноним 23/11/25 Вск 20:54:07 #123 №326959848 
>>326959808
какой сигма ты двачер петух обычный
Аноним 23/11/25 Вск 20:54:56 #124 №326959873 
>>326958443
>Математика, это такая же дисциплина как крутить гайки на заводе
Хуевое сравнение. Мой отец умеех очень хорошо крутить гайки на заводе, но хуй решит какое-нибудь уравнение.
>хуевый математик хуево разбирается в матане
Значит он не математик.
Аноним 23/11/25 Вск 20:55:31 #125 №326959892 
Тест.
Аноним 23/11/25 Вск 20:55:51 #126 №326959899 
soyu.jpg
>>326954954 (OP)
Повторяю уроки матеши ирл и ещё онлайн (дополнительно) смотреть без регистрации
Аноним 23/11/25 Вск 20:55:56 #127 №326959903 
>>326959892
Охуенно, галка слетела.
Аноним 23/11/25 Вск 20:56:59 #128 №326959938 
image
>>326955523
Это очень просто!
Вот доказательство:
Аноним 23/11/25 Вск 20:57:34 #129 №326959949 
image.png
Буду теперь с картинкой писать.
Аноним 23/11/25 Вск 21:00:35 #130 №326960022 
image.png
>>326959304
Не, не решу даже такое, я базу сдавал. Я помню когда-то такое решал в классе м.б. 11, но уже не помню что там делать надо.
Аноним 23/11/25 Вск 21:00:42 #131 №326960025 
>>326956856
>5×2=10: у тебя два пакета с пряниками, в каждом по пять, и того у тебя десять пряников.
>5×0=0 у тебя нуль пакетов с пряниками, в каждом по пять, и того у тебя нуль пряников.

Убедил. А почему, если пакет, где пять пряников разделить на ноль, то получится бесконечное количество пряников, больше Вселенной?
Аноним 23/11/25 Вск 21:07:22 #132 №326960248 
16235052768080.jpg
>>326954954 (OP)
>таких дегенератов
вас не учили математике вот и всё.
там нихуя сложного нету, но её просто не преподают, а зачитывают хуй знает какой тварью составленные методички, учитель и сама нихуя не вдупляет, сидит там за свои нищие 20 тыщ по 16 часов в день пашет, ей не до вас кек.
Аноним 23/11/25 Вск 21:08:50 #133 №326960303 
>>326960025
не получится, разделили пакет пряников на 0, значит никому пряники не достанутся, самим пряникам на то что их никому не отдадут, литерали похуй
Аноним 23/11/25 Вск 21:10:57 #134 №326960383 
>>326960248
А хуй знает, когда я учился у обычных училок, что-то я понимал, было дело. Но когда попал в физ-мат класс, там тупо давали для олимпиадников, а я не вдуплял. Всё-таки среднее образование на то и среднее.
Аноним 23/11/25 Вск 21:12:23 #135 №326960419 
Я бы и хотел вкатиться, но в школьные годы находились вещи интереснее типа в комп позадрачивать, погулять, с девками поотношаться. А сейчас уже слишком поздно. Вообще то нет, но в университете мои однокурсники что-то похожее на пики решают, а я отпал ещё на косинусах синусах, не смогу даже простейшее уравнение решить.
Но мне бы правда хотелось вкатиться, просто потому что изучение математики несёт в себе общую пользу для мозга, а мозг всегда нужно поддерживать в тонусе.
Ещё нельзя исключать генетический фактор. Возможно мне это просто не дано природой и я отсеялся на том, что на входе мне не было интересно.
Аноним 23/11/25 Вск 21:14:13 #136 №326960481 
image.png
>>326959441
>мне просто в кайф преподавание + это приносит норм деньги (2500 в час) + свободный график>
Да, хорошие деньги.
>+ свободный график
Это тоже плюс.
>а айтишка это, как правило, скучные задачи и полное отчуждение от твоего труда.
Найти сложнее, не?
>Лично я кайфовал, когда мой ученик, который не понимал почему из "а+б=с" следует "а=с-б" спрогрессировал до вычисления криволинейного интеграла и сдал экзамен
Ты реально? Не передергиваешь? Чувак не понимал настолько очевидной вещи, а потом стал вычислять криволинейный интеграл (сам не ебу что это)?
>Математика в универе дается не для того чтобы ты потом пиздел всем вокруг какой ты дохуя умный, а для того, чтобы ты просто узнал что есть вот такой вот инструмент.
А я о чем?
>Хочешь развиваться в соответсвующем направлении - дальше сам. А так это линза, через которую ты можешь воспринимать мир
ну, думаю, тут уже больше физика.
>Скорее всего из-за того, что у тебя нет понимания базовых вещей.
Каких именно?
> У 90% школьников проблемы начинаются с 7 класса.
Вооо, вот оно. Именно с 7 класса начались проблемы, до 6 класса 4 были.
> Именно там все темы концентрируются в одну - функции. Именно с этого момента требуется не просто понимание одной темы, которую тебе на неделе рассказали, а комплексное понимание всего происходящего и абстрактное мышление. Именно тогда большая часть школьников говорит что-то вроде "наверное, я гуманитарий", хотя на деле они просто не понимают математику
Да, тут уже и идет сегрегация по интелелкту. Есть тупые, которые ее не понимаю, а есть умняши, которые схватывают на лету все.
>Ровно как и любое фундаментальное образование. Физики, химики, биологи, медики
Да, но обычно люди с чистой математикой идут в программирование или финансы, либо ее преподают школьнкиам/студентам.
>У тебя немного примитивный взгляд на тот же тервер.
А ты чего ожидал? Я же дегенерат.
>Он нужен скорее для оценки рисков при планировании отпуска, для построения отношений, в том как следует откликаться на вакансии и все в таком духе
Даже в голову такого не приходило.
Аноним 23/11/25 Вск 21:14:35 #137 №326960495 
>>326955078
>там смешная бингамовская жидкость была

Это что значит?
Аноним 23/11/25 Вск 21:15:09 #138 №326960509 
image.png
>>326959466
Ну я не знаю.
Аноним 23/11/25 Вск 21:16:28 #139 №326960557 
>>326955523

Ты просто тупой.
Аноним 23/11/25 Вск 21:16:38 #140 №326960562 
>>326955078
>я кандидат физ.мат наук
И ты сидишь на дваче с дегенератами-малолетками
Успешный, хуле
Аноним 23/11/25 Вск 21:17:37 #141 №326960595 
>>326959873
Так я не сравниваю обычного крутителя гаек с обычным математиком. Работать инструментом тоже надо уметь. Станок, станку рознь. Кто-то и коллайдер изготавливал, кто то космические спутники собирает. Там квалификация нужна не меньше, чем у математика с мировым именем) ну а тот кто на обычном заводе работает, это как преподаватель матана в школе. Чтоб ты понимал в пед идут по остаточному принципу, те кто в другие вузы поступить не смогли. По мне так переписывать одни и теже уравнения уровня 1-2 курса универа мозгов не нужно сильно больше, чем сидеть и думать какую резьбу нарезать и каким герметиком соединение герметизировать. Более того, цена ошибки в краткосрочной перспективе у сантехника даже выше, чем у хренового преподавателя матана
Аноним 23/11/25 Вск 21:18:35 #142 №326960628 
>>326954954 (OP)
>инженеры, конструкторы
Редко зарабатывают много, обычно сидят на заводах всяких, математика им в принципе не нужна, максимум на школьном уровне

>программисты, финанситы
Программистам математика не нужна, кроме совсем небольшой прослойки программистов, которые занимаются специфичными вещами
Аноним 23/11/25 Вск 21:21:22 #143 №326960733 
>>326960303

Значит, наёбка вся эта математика. деление на 0 даёт бесконечность. А почему? А тут так ПРИНЯТО...
Аноним 23/11/25 Вск 21:22:14 #144 №326960774 
>>326959873
Ну да, ну да, ведь уровень познания в специальности, все, либо ничего) нет градации никакой и специализации. Либо все знаешь, либо нет) либо Перельман, либо не математик) все на самом деле на много проще, один математик дай бог вузовских программу освоит, чтобы в школе или универе преподавать. Другой ещё и в физ мат залезет, станет доктором наук, профессором, ещё на более высоком уровне будут для бизнеса задачки решать. Ну единиц с мировым именем может получится что то открыть и поучаствовать в международных проектах. А так, да любого математика возьми и он тебе любую задачу решит
[mailto:@RacistAnarcho] Аноним 23/11/25 Вск 21:22:25 #145 №326960779 
рыбн.gif
>>326958068
>Ну и шизофрения
математика? Согласен
Аноним 23/11/25 Вск 21:25:03 #146 №326960875 
>>326954954 (OP)
Так правило Лопиталя сравнительно простое в своей концепции.
Вспомним основные понятия.
Производная. Значение, которое показывает, "как быстро" и "куда" растёт функция в определённой точке. Например, функция f(x) = x + 1 всегда будет иметь постоянную производную 1. Мы всегда растём на 1.
Предел. Значение, до которого функция f(x) может дорасти при подстановке бесконечно большого или малого X. У некоторых функций предела нет, например f(x) = x + 1. У других, например синусоиды, предел есть.
Когда мы берём выражение, допустим, с 2 функциями, у которых пределов нет (т.е. обе стремятся к бесконечности или к 0 при подстановке любого бесконечно большого x), и при этом они делятся может возникнуть ситуация конфликта - мы предел получаем как или 0/0 или бесконечность/бесконечность, что некорректно.
Пример: lim(f(x) / g(x)) = 0/0. Что делать?
Мы можем попробовать взять значение в конкретной точке и посмотреть на лимиты производной. То есть взять lim(f'(x)
/ g'(x)). Это выражение с некой вероятностью даст нам конкретное число лимита производной в данной точке, без конфликтов.
А правило Лопиталя гласит: лимиты производной равны лимиту функции. Не может лимит при расте/убыванию быть иным, кроме как лимит собственной функции. Доказательство этого происходит через теорему Коши, доказанной различными методами
Аноним 23/11/25 Вск 21:27:09 #147 №326960957 
>>326960628
Во всех сферах хуйня такая, что 2-3 % зарабатывают дохуя, ещё где-то процентов 30-40 норм, остальные, это текучка кадров, люди приходят, уходят, студенты, без опыта и тд. Уникальных спецов не много, секретами своими они не торопятся делиться. Основная масса на опыте тоже работает себе. А вот новичков можно и по наебывать на зп. На одной и той же должности в инженерии можно и 500 к зарабатывать и 100 и 35. Тупо от места работы, опыта и умения выбивать за зависит
Аноним 23/11/25 Вск 21:27:20 #148 №326960972 
4b8e6a0112b07.jpg
Ну что вы, бэтмены, небось позабыли меня.
Аноним 23/11/25 Вск 21:29:27 #149 №326961074 
image.png
image.png
>>326959582
Так докажи обратное. Программировать Павла научил Николай.
>>326959663
>Так ты и не должен.
Должен после прочтения учебника, но нихуя не понимаю. Видео лишь немного дает разобраться, но все равно до конца не понимаю.
Да, тоже выглядит непонятно. Вообще те, кто владеют математикой - отличные композиторы, и наоборот. Моя бабка хорошо знала математику и преподавала фортепиано.
> а гении музыканты дрочат это годами и создают шедевры.
Это все классно, но много денег на этом уже не заработаешь.
> Есть математический язык, есть концепции, которые он передаёт.
И его важно знать, т.к это ВСЁ, буквально ВСЁ.
>Видимо, жертва школьной программы, учителей, родителей - можешь подумать сам почему это тебя волнует.
В школе учителя и родители доводили меня до слез своей математикой. Пиздили за двойки, а сколько бы я не пытался разобраться - ну никак не получалось.
Энивей, технарь ты или нет, будешь клоуном при пидорасах, если мы говорим про дефолтную корпоративную работу, куда идут многие прогеры, физики, математики.>
Ну знаешь, я бы не отказался проектировать ракеты в КБ или кодить программы в Яндексе за 300к в уютных офисах, другой вопрос, интересно ли мне это.
>Тобой будут повелевать тупые, блатные, те, кто идёт по головам, кабанчики, и самое страшное - гуманитарии
Вот поэтому лучше шарить в матане, можно легко из грязи в князи подняться. А е сли ты из блатной и (или) богатой семьи, то похуй вообще на кого учиться.
> А решать ты будешь никому нахуй ненужные задачи по оптимизации говна.
Как никому? Если такая задача есть, значит она кому-то, да нужна.
>В конечном счете любого рефлексирующего технаря посещает экзистенциальный кризис, выгорание от этой пидорской среды, некоторые уходят в нормальные сферы где непосредственно виден импакт в мир, либо уходят в лес.
А где легко? В окопе сидеть или на улице ебошить при -40 на вахте не лучше, намного хуже.
>Учитывая развитие ии, большинство технарей просто сходят нахуй в какой-то момент, и их задачи сможет решать такой же, как ты несведущий в науках хитрый макака, задавая промпты.
Так люди, которые будут разрабатывать этот ИИ все еще нужны, а это самые топовые математики так-то. Да и сам ИИ все еще не идеален.
> И делать он это будет быстрее чем технарь,
У технаря тупо мозг прокачен лучше, даже в бытовухе. Его не наебут с кредитом, со страховкой, ему легче построить бизнес, перекатиться в какую-то другую сферу, если не в айти, так в инженеры и т.д.
Аноним 23/11/25 Вск 21:31:33 #150 №326961139 
>>326960957
Нет, нихуя не во всех сферах
Программисты и в консалтинге к примеру почти все зарабатывают дохуя, зпшка джунов 100к, а джун это 1 год опыта, у мидлов уже 200к+, а мидл это всего лишь 3 года опыта
Нигде такого нет
Всякие инженеры-констуркторы зарабатывают в массе мало, как и учителя и преподы вузов и т.п.
Лишь очень малая доля зарабатывает среди них много, у прогеров и консалтеров наоборот лишь малая часть зарабатывает мало
Аноним 23/11/25 Вск 21:31:54 #151 №326961154 
>>326960733
Это в какой Вселенной деление на 0 дало бесконечность?
Аноним 23/11/25 Вск 21:34:42 #152 №326961280 
>>326959663
>физики, математики
Эти в НИИ и ВУЗы должны идти, а не в корпоративную работу

А прогеры, да, идут в корпоративную, но у них харплаты огромные, поэтому худе ныть. Если прогре не долбоёб, то за 10 лет там скопит сумму на всю жизнь хватающую и дальше спокойно будет заниматься "импактом в мир"
Но большинство кодеров ебланы, которые просирают деньги на всякую хуйню, типа баб, тачек и т.п.
Аноним 23/11/25 Вск 21:38:09 #153 №326961436 
>>326960022
Попробуй научиться решать такие уравнения
https://www.youtube.com/watch?v=ainO4-bca7Y
Аноним 23/11/25 Вск 21:45:43 #154 №326961708 
>>326960022
На всякий случай ещё это посмотри. Лучше перед уравнениями
https://www.youtube.com/watch?v=3Rr9DiE923E
Аноним 23/11/25 Вск 21:51:06 #155 №326961890 
image.png
>>326960248
>вас не учили математике вот и всё.
А может я просто дегенерат?
>там нихуя сложного нету
Это просто ты умный.
>но её просто не преподают, а зачитывают хуй знает какой тварью составленные методички, учитель и сама нихуя не вдупляет, сидит там за свои нищие 20 тыщ по 16 часов в день пашет, ей не до вас кек.
Были те, кто даже с такими преподами как-то на 4 вытягивали.
Аноним 23/11/25 Вск 21:53:17 #156 №326961967 
>>326961154

5/0.1=50
5/0.001=5000
5/0.0000000000.........=очень большое число
Аноним 23/11/25 Вск 21:54:16 #157 №326962009 
image.png
>>326960383
Да уж, я среднее с трудом осилил, а тут физмат класс. Там вообще, наверное, инопланетяне учатся, которых каким-то образом занесло на нашу Землю.
>>326960419
>Я бы и хотел вкатиться, но в школьные годы находились вещи интереснее типа в комп позадрачивать, погулять, с девками поотношаться.
У меня этого не было.
>А сейчас уже слишком поздно. Вообще то нет, но в университете мои однокурсники что-то похожее на пики решают, а я отпал ещё на косинусах синусах, не смогу даже простейшее уравнение решить.
То же самое.
>Но мне бы правда хотелось вкатиться, просто потому что изучение математики несёт в себе общую пользу для мозга, а мозг всегда нужно поддерживать в тонусе.
>Согласен.
>Ещё нельзя исключать генетический фактор. Возможно мне это просто не дано природой и я отсеялся на том, что на входе мне не было интересно.
Тоже думаю, что в этом дело. Должна быть генетическая предрасположенность.
Аноним 23/11/25 Вск 21:55:24 #158 №326962049 
чел это легко я сам начал месяц назад изучать я был тотальным слабоумцем, потом понял что это очень изи и ныне ржу от снобизма отличников-математиков в моем классе как они кичились своим умением в матеше, это очень легко и даже не страшно а наоборот, хочу сложнее и сложнее темы познавать
Аноним 23/11/25 Вск 21:56:12 #159 №326962073 
>>326961074
>2
Чё за менуэт?
Аноним 23/11/25 Вск 21:57:38 #160 №326962124 
image.png
>>326960562
Всегда так было. Двач борда технарей, тут таких как он - полно.
> Чтоб ты понимал в пед идут по остаточному принципу, те кто в другие вузы поступить не смогли.
У меня тетя - гений математики, но учится в педе.
>По мне так переписывать одни и теже уравнения уровня 1-2 курса универа мозгов не нужно сильно больше, чем сидеть и думать какую резьбу нарезать и каким герметиком соединение герметизировать.
Я так не считаю, думаю, что 1 намного сложнее. А второе рутинная, однообразная работа.
Аноним 23/11/25 Вск 21:58:38 #161 №326962151 
>>326960595
Забыл >>326962124
Аноним 23/11/25 Вск 21:59:12 #162 №326962170 
>>326961967
До 0 здесь не дойдёт при такой логике никогда. Следовательно, это не деление на 0.
Аноним 23/11/25 Вск 22:00:36 #163 №326962218 
>>326959399
А что по поводу Перельмана?
Аноним 23/11/25 Вск 22:00:38 #164 №326962221 
>>326960628
>Редко зарабатывают много
Ну меньше сотки не получают.
>математика им в принципе не нужна, максимум на школьном уровне
Но все проходят через высшую математику.
>Программистам математика не нужна, кроме совсем небольшой прослойки программистов, которые занимаются специфичными вещами
И чем программисты, которые занимаются специфическими вещами не программисты?
Аноним 23/11/25 Вск 22:03:30 #165 №326962322 
>>326960481
>Найти сложнее, не?
Да как сказать. Я прогу немного для себя учу, скорее как хобби. А клиенты ко мне сами идут уже. Только рекламу на авито настроил, да и все
>Ты реально? Не передергиваешь? Чувак не понимал настолько очевидной вещи, а потом стал вычислять криволинейный интеграл (сам не ебу что это)?
Не передергиваю. Ты и сам не понимаешь почему это так работает. Грубо говоря, ты смотришь на "а+б=с" как на операцию сложения, а нужно как "объект слева равен объекту справа. если ты с одинаковыми объектами будешь совершать одинаковые действия, то они все еще будут одинаковыми. то есть, от обоих объектов мы можем отнять б и получим а+б. слева от знака равно остается только а, справа б-с. и оба эти объекта все еще равны. то есть а=б-с" И вот на таких вот микро-моментах строится например решение уравнений. Именно из-за этой концепции легко понять, почему мы не можем просто так вычеркнуть что-то из дроби или перенести в другую сторону
>сегрегация по интелелкту. Есть тупые, которые ее не понимаю, а есть умняши, которые схватывают на лету все.
Это вопрос заинтересованности. Если реально по приколу копаться в чем-то то ты со временем неизбежно начнешь в этом разбираться

Если нужно, могу тебе пробное занятие провести, если свой контакт оставишь. Свой не добавлю сюда только потому что это рекламой посчитают и забанят нахуй (правильно сделают)
Аноним 23/11/25 Вск 22:05:01 #166 №326962372 
>>326955090
Это нет уж сложно на самом деле. Я когда-то код не понимал, а сейчас на ходу анализирую flow и могу сказать, что он делает.
А еще для меня когда-то казалось безумием, что человек может
почти не задумываясь делать такое "сложное" действие как переключение передач на механике.
Разум при должной практике быстро адаптируется к любой области.
Аноним 23/11/25 Вск 22:08:30 #167 №326962478 
image.png
>>326960774
Ну, в целом ты прав.
>>326960875
>Производная. Значение, которое показывает, "как быстро" и "куда" растёт функция в определённой точке. Например, функция f(x) = x + 1 всегда будет иметь постоянную производную 1. Мы всегда растём на 1.
Только это и понял.
>>326960972
Я обезьяна.
Аноним 23/11/25 Вск 22:09:20 #168 №326962503 
Если нет поражений мозга (нет тумана в голове, можешь концентрировать внимание, можешь не забвыать вещи как деменциозный дед, нет нарушения логики как у шизофреника), то материал школьной и вузовской программ вполне усваивается. Но да, могут быть проблемы с решением чего-то нового, нетривиального даже у здоровых.
Аноним 23/11/25 Вск 22:09:36 #169 №326962512 
>>326954954 (OP)
Что на третьем пике?
А где доказательства на первом и втором пике? Я вот не смогу правило Лопиталя доказать(но я и определение производной не помню). Про ряды Тейлора первый замечательный предел и говорить нечего.
Аноним 23/11/25 Вск 22:10:42 #170 №326962538 
176392464016248094.gif
>>326955271
Аноним 23/11/25 Вск 22:11:24 #171 №326962559 
>>326954954 (OP)
> Почему математики такие уберменьши? Смотрю пики - вообще нихуя не понимаю, что тут написано.
Слова из английских букв и некоторые символы.

Чтобы их понять, необходимо запомнить какие математические концепции они описывают и изцчить эти концепции
Аноним 23/11/25 Вск 22:12:22 #172 №326962585 
>>326955078
>численному решению уравнения губье стокса
>там совсем тупорылые и примитивные идеи
Ну не удивительно.
>превозносит всю эту хуйню рили только молекула ебаная
А ты откуда знаешь? Ты же никогда настоящей математикей не занимался. Дебильный счет без теоретической базы примитивных уравнений среды - не математика.
Аноним 23/11/25 Вск 22:12:23 #173 №326962587 
>>326962322
> и оба эти объекта все еще равны. то есть а=с-б
обосрался маленько. самофикс
Аноним 23/11/25 Вск 22:12:30 #174 №326962593 
image.png
>>326961436
>>326961708
Гляну из любопытства.
>>326962049
Кольца, поля, гомологии, топологии - это все знаешь, понимаешь?
>>326962073
Что? Какой еще менуэт?
Аноним 23/11/25 Вск 22:16:13 #175 №326962701 
>>326962593
>Гляну из любопытства.
Как продожение второго видео есть ещё это
https://www.youtube.com/watch?v=CdcVjxzcmwc
Аноним 23/11/25 Вск 22:17:02 #176 №326962730 
>>326962049
Не хочу тебя расстраивать, но в первую очередь математиков учат философии и правильному построению рассуждений.
Аноним 23/11/25 Вск 22:20:18 #177 №326962828 
>>326961154
Колёсной.
Аноним 23/11/25 Вск 22:25:21 #178 №326962999 
image.png
>>326962322
>Не передергиваю. Ты и сам не понимаешь почему это так работает. Грубо говоря, ты смотришь на "а+б=с" как на операцию сложения, а нужно как "объект слева равен объекту справа. если ты с одинаковыми объектами будешь совершать одинаковые действия, то они все еще будут одинаковыми.
Это я понимаю, на этом и строятся уравнения. Хотя в школе я путался с этим больше: минус на минус, плюс на плюс, плюс на минус, плюс на минус, на плюс.
>Это вопрос заинтересованности. Если реально по приколу копаться в чем-то то ты со временем неизбежно начнешь в этом разбираться
Долго копался, но тригонометрию как не понимал, так и не понимаю.
>Если нужно, могу тебе пробное занятие провести, если свой контакт оставишь. Свой не добавлю сюда только потому что это рекламой посчитают и забанят нахуй (правильно сделают)
Ну во-первых, я нищий студент со стипухой в 3к, а во-вторых, я учусь и времени кроме как выходных нет этим заниматься. НО! За предложение очень благодарю.
Аноним 23/11/25 Вск 22:27:57 #179 №326963073 
image.png
>>326962372
>Это нет уж сложно на самом деле.
Легко говорить, когда у тебя мозги нормальные.
>Я когда-то код не понимал, а сейчас на ходу анализирую flow и могу сказать, что он делает.
С информатикой проблем никогда не было, просто было неинтересно в школе. Но мы ни одному языку не учились, просто решали задачи на листочках.
>А еще для меня когда-то казалось безумием, что человек может
почти не задумываясь делать такое "сложное" действие как переключение передач на механике.
Почему это тебе казалось сложным?
>Разум при должной практике быстро адаптируется к любой области.
Даже не знаю что сказать.
Аноним 23/11/25 Вск 22:30:18 #180 №326963137 
pink-wojak-red-eyes.jpg
Хули ты всё ноешь. Возьми книгу какую-то нубскую и почитай, или там лекции ебаного савватеева. Ты же нихуя усилий не предпринимаешь даже. Если ты что-то не понял (перед этим приложив блять хоть какие-то усилия), это значит тебе хуево обьяснили, либо материал пока тебе не доступен, значит надо взять литературу подходящую именно тебе на твоем уровне (её как говна за баней), а потом взять материал посложнее и так повторять. Я убежден, что даже вузовскую математику может освоить любой вменяемый человек (не имбецил), потратив достаточно времени на это. Тратишь время -> получаешь результат. Кому-то для понимания темы надо побольше времени потратить, в зависимости от начального уровня и прочих факторов. Но время - необходимое условие. Самое простое, что ты можешь сделать - увеличить время, которое ты тратишь на обучение. И каким бы ты ни был отстающим, ты гарантированно станешь ориентироваться в предмете хорошо.
Аноним 23/11/25 Вск 22:32:14 #181 №326963191 
image.png
>>326962503
>Если нет поражений мозга
Не знаю.
>нет тумана в голове
Это как?
>можешь концентрировать внимание
Могу, без проблем.
>можешь не забвыать вещи как деменциозный дед
Могу за 4 часа 50 листов выучить, почти наизусть.
>нет нарушения логики как у шизофреника
Это как?
> то материал школьной и вузовской программ вполне усваивается.
Значит, все-таки у меня какое-то науршение имеется.
>Но да, могут быть проблемы с решением чего-то нового, нетривиального даже у здоровых.
Согласен, у нас училка по математике тупила над некоторыми задачами, но когда я не мог выполнить какое-то действие: "Пиздец ты тупой! Нихуя не знаешь! Это 8 класс! Кошмар, позор!" На следующем занятии сдал ей это, дома посмотрел как решать. Сейчас опять уже нихуя не помню как это делается, даже назвать действие/формулу не могу.
Аноним 23/11/25 Вск 22:36:17 #182 №326963297 
image.png
>>326962512
>Что на третьем пике?
Без понятия, говорят, что какие-то гомологии и топологии. Но это для сверхлюдей даже по меркам математики.
>>326962538
Блядь, какой пиздец, у меня слезы и кровь из глаз. От китайского не так хуево, спасибо.
>>326962559
>понять
Ключевое. Запомнить математику нереально. А чтобы понимать, необходимо абстрактное мышление с которым рождаются только.
>>326962701
Походу я сегодня лягу спать совсем поздно...
Аноним 23/11/25 Вск 22:41:42 #183 №326963463 
image.png
>>326963137
>Хули ты всё ноешь.
А зачем еще двач нужен? Кому мне поныть? Вон, тут аноны помощи и материала подкинули.
>Возьми книгу какую-то нубскую и почитай
В школе читал и нихуя не понимал.
>или там лекции ебаного савватеева
Давно смотрел.
>Ты же нихуя усилий не предпринимаешь даже.
В школьные годы предпринимал.
>Если ты что-то не понял (перед этим приложив блять хоть какие-то усилия), это значит тебе хуево обьяснили, либо материал пока тебе не доступен, значит надо взять литературу подходящую именно тебе на твоем уровне (её как говна за баней), а потом взять материал посложнее и так повторять.
Возможно. Но есть совсем такие вещи, вроде колец, гомологий, полей (как выше было сказано), которые понятны только небольшой прослойке людей.
>Тратишь время -> получаешь результат.
У меня в школьные, за редким исключением, не было так.
>Кому-то для понимания темы надо побольше времени потратить, в зависимости от начального уровня и прочих факторов.
А кому-то нужны месяцы. Тяжело будет конкурировать с теми, кто это все схватывает в считанные дни.
> Но время - необходимое условие.
Все верно.
>Самое простое, что ты можешь сделать - увеличить время, которое ты тратишь на обучение. И каким бы ты ни был отстающим, ты гарантированно станешь ориентироваться в предмете хорошо
Если ты отстающий, то тебя просто отчислят в том же вузе.
Аноним 23/11/25 Вск 22:47:34 #184 №326963654 
1763927253844.gif
1763927253846.jpg
А ничего удивительного нет что ты этого не понимаешь, это язык одной из наук, у инженеров например свой язык который не посвященный так же не поймет, так же как и у программистов, музыкантов... Ничего элитарного в этом нет как и в изучении самой математики, математика может изучается только под задачу если таковая имеется, условно нужно рассчитать форму крыла самолёта или частоту радиопередатчика, остальная "настоящая" математика доступна 0.001% и ты этих людей в жизни не видел потому что их просто единицы, и да это не те самые потные любители вархамера с красным крестом на портфеле.
Аноним 23/11/25 Вск 22:49:22 #185 №326963717 
4f0b43ca34d9e.jpg
>>326962478
Жаль.
Аноним 23/11/25 Вск 23:08:23 #186 №326964268 
>>326956063
Математика из натуральной философии вышла.
Концепцию "ученый" создал жид Ньютон, после которого уже и философию в ее привычном виде изнасиловали.
Аноним 23/11/25 Вск 23:10:06 #187 №326964308 
>>326963654
Нет ничего проще чем язык асемблер. "Язык" схем электрических принципиальных - это тоже базированная база.
А вот язык музыкантов - язык говноедов застрявших в 12 веке или еще дальше. Как можно в 2к25 записывать ноты в системе в которой искусственно нарушено отображение интервалов? И главное для чего? Чтобы удовлетворить извращенных поклонников архаики?
Кто не вкурсе между разными линиями нотного стана 1.5 или 2 тона. Так что если ты захочешь транспонировать запись, то это будет не просто паралельный сдвиг вверх или вниз (что совершенно логично), сдвиг будет не параллельный и изо всех щелей вылезут диезы и бемоли.
Как увлекательно - меняешь тональность и вся запись разъезжается к хуям! Как технарь не могу себя заставить пользоваться этой еботой. Проще снимать на слух, чем унижаться в такое дерьмо.
мимо радиоинженер
Аноним 23/11/25 Вск 23:13:51 #188 №326964407 
И я уверен, что таких дегенератов как я - подавляющее большинство в мире
Возможно ты ошибаешься
Аноним 23/11/25 Вск 23:15:07 #189 №326964443 
image.png
>>326963654
> Ничего элитарного в этом нет как и в изучении самой математики, математика может изучается только под задачу если таковая имеется
Ну почему, благодаря знанию математики, можно поступать в элитарные заведения, а потом работать на элитарных работах, достигать высот и хороших должностей.
> математика может изучается только под задачу если таковая имеется, условно нужно рассчитать форму крыла самолёта или частоту радиопередатчика
Математика вообще под многие задачи нужна, можно сказать, почти под все.
> остальная "настоящая" математика доступна 0.001% и ты этих людей в жизни не видел потому что их просто единицы, и да это не те самые потные любители вархамера с красным крестом на портфеле.
Я понял, что ты про Перельмана. Но из тех, кого я знаю лично знаю, и кто были буквально гении математики, - никто вархамером не увлекался и рюкзаки не носил. Увлекались футбольчиком, авто и непосредственно самой математикой.
Аноним 23/11/25 Вск 23:18:50 #190 №326964561 
image.png
image.png
image.png
image.png
>>326963717
Лучше быть обезьяной, чем ходячим трупом.
>>326964407
Почему? Если бы математика была легкой, то многие не испытывали с ней трудностей.
Аноним 23/11/25 Вск 23:23:16 #191 №326964720 
>>326963654
Принизил математиков и физиков до уровня инженеров и рвачей-программистов
Аноним 23/11/25 Вск 23:26:46 #192 №326964821 
>>326963717
Если не трудно, то можешь за лор этого мужика пояснить. В детстве порой видел его в метро на Невском проспекте. Он реально что-то умное предлагал или это типа счета древних шизов. Заранее спасибо.
Аноним 23/11/25 Вск 23:37:41 #193 №326965113 
>>326964821
Смотри списки лауреатов математических премий. Если его там нет, значит скорее всего он не математик.
Аноним 23/11/25 Вск 23:39:18 #194 №326965153 
Бамп
Аноним 23/11/25 Вск 23:39:45 #195 №326965166 
>>326961139
Ты описывает растущий рынок, которому не хватает кадров, к тому же не изолированный от мирового. Лётчики тоже гражданской авиации дохуя получают, потому что это мировая практика, как и спортсмены. Ну и плюс это опять же субъективный опыт, если работаешь в мск или на компании из мск, то там за близкие к Москве. Инженеров на удаленную сейчас с опытом меньше чем на 150-200 в мск и не нанимают, теже учителя в мск спокойно соточку делают, когда в регионах зп спокойно можно на 2 делить. От места работы тоже дофига зависит. Пока в одной фирме премии и бонусы, в другой хуй без соли доедают
Аноним 23/11/25 Вск 23:41:26 #196 №326965215 
>>326964720
Почему понизил? Это такие же пролы, ничем не лучше какого-нибудь системного программиста или сетевого инженера разница то в чем? Они ничего нового не придумывают, изучают готовые концепции а потом объединяют их в системы для достижения какой-либо цели. В математике что-то привносят те самые Перельманы которых несколько на всю страну, хоть 30 лет потрать на дрочь концепций а выдать из себя что-то реально прорывные не выйдет, так же как и Николой Тесла обычному электронщику не стать.
Аноним 23/11/25 Вск 23:42:17 #197 №326965243 
testnazombie03.jpg
1392808489508030061.jpg
images (9).jpeg
>>326964821
Чел поехавший доцент вуза, на старости лет решил что Ньютон обасрался со вторым законом и решил всем доказать это, так что на чумадане тест это не дифф уравнение.
Аноним 23/11/25 Вск 23:42:31 #198 №326965251 
Бамп
Аноним 23/11/25 Вск 23:44:27 #199 №326965305 
>>326965243
Как Джон Нэш на минималках?
Аноним 23/11/25 Вск 23:46:06 #200 №326965353 
>>326965113
Я не знаю как его зовут, поэтому и спросил. Как я посмотрю? Как в анекдоте ответ. Холмс и Ватсон на воздушном шаре унесло неизвестно куда. Опустились и спросили у местного, мол где мы? Вы в корзине воздушного шара. О Ватсон, перед нами математик. Как узналя? Ответ совершенно точный и полностью бесполезный.
Аноним 23/11/25 Вск 23:46:20 #201 №326965360 
>>326964443
> > Ничего элитарного в этом нет как и в изучении самой математики, математика может изучается только под задачу если таковая имеется
> Ну почему, благодаря знанию математики, можно поступать в элитарные заведения, а потом работать на элитарных работах, достигать высот и хороших должностей.
Ну сомнительно конечно но окей.
> > математика может изучается только под задачу если таковая имеется, условно нужно рассчитать форму крыла самолёта или частоту радиопередатчика
> Математика вообще под многие задачи нужна, можно сказать, почти под все.
Да, везде считать нужно, правда я бы наверно назвал физику ведущей в инженерных областях а не математику, та самая чистая математика вообще мало где нужна.
> > остальная "настоящая" математика доступна 0.001% и ты этих людей в жизни не видел потому что их просто единицы, и да это не те самые потные любители вархамера с красным крестом на портфеле.
> Я понял, что ты про Перельмана. Но из тех, кого я знаю лично знаю, и кто были буквально гении математики, - никто вархамером не увлекался и рюкзаки не носил. Увлекались футбольчиком, авто и непосредственно самой математикой.
Ну были наверно и есть, просто само по себе занятия математикой в себе мало полезного несёт поэтому чаще всего это сборище фриков которым реальная жизнь не очень то и интересна.
Аноним 23/11/25 Вск 23:46:37 #202 №326965369 
Бамп
Аноним 23/11/25 Вск 23:47:37 #203 №326965401 
>>326965243
Спасибо за ответ.
Аноним 23/11/25 Вск 23:50:30 #204 №326965491 
Бамп
Аноним 23/11/25 Вск 23:50:58 #205 №326965505 
Бамп
Аноним 23/11/25 Вск 23:51:22 #206 №326965517 
не знаю братух в вузе конечно дрочили листочек но имея под рукой матлаб и мэпл уже забыл всю эту шизу все делается нажатием пары кнопок главное понимать где найти информацию о том какие кнопки нажимать так и у тех кто листочки дрочит они такую же кнопку нажимают только дольше. ну а так да есть реальные спецы их 0.001 процент везде они науку двигают а есть такие как я результат их трудов использую на том уровне на котором могу
Аноним 23/11/25 Вск 23:52:00 #207 №326965539 
soyu.jpg
2-3 года.. подряд.. ну третий год назад-то наверно руссиш всё-таки был..
Аноним 23/11/25 Вск 23:53:16 #208 №326965569 
>>326962124
Люди среднее специальное не просто так изучают, там свои приколы, есть типовые вещи, которые любой васян зарешает, а есть нестандартные, где мозгами нужно шевелить и стандартного решения ни в книжках, ни на ютубе не найдешь. Более того скажу, начертить инженер может что угодно, а на практике получится с точностью до наоборот и все работает. И по рабочим профессиям как ни странно самые хуевые инструкции, мануалы и т.п., знания как че делать передаются от одного деда к другому и чем сложнее тех процесс, тем хуй ты че найдешь и почему так. Возможно одна из причин почему на Луну перестали летать, пару дедов померло и все теперь сомневаются, а все ли делали по чертежам)
Аноним 23/11/25 Вск 23:55:42 #209 №326965631 
>>326964308
> Нет ничего проще чем язык асемблер.
Одно дело изучить основные инструкции а другое написать стоящую и надёжную программу, там внезапно окажется что не все так радужно.
>"Язык" схем электрических принципиальных - это тоже базированная база.
Пока это просто усилитель звука...Советую посмотреть к примеру на СВЧ схемотехнику и проникнуться мастерством инженеров которые это разрабатывают.

> А вот язык музыкантов - язык говноедов застрявших в 12 веке или еще дальше. Как можно в 2к25 записывать ноты в системе в которой искусственно нарушено отображение интервалов? И главное для чего? Чтобы удовлетворить извращенных поклонников архаики?
Не знаю что там у них происходит но думаю ноты они пишут и читают не зря.
> Кто не вкурсе между разными линиями нотного стана 1.5 или 2 тона. Так что если ты захочешь транспонировать запись, то это будет не просто паралельный сдвиг вверх или вниз (что совершенно логично), сдвиг будет не параллельный и изо всех щелей вылезут диезы и бемоли.
> Как увлекательно - меняешь тональность и вся запись разъезжается к хуям! Как технарь не могу себя заставить пользоваться этой еботой. Проще снимать на слух, чем унижаться в такое дерьмо.
> мимо радиоинженер
Аноним 24/11/25 Пнд 00:05:36 #210 №326965921 
>>326965305
Лол, я думаю что если биографию этого чела подробнее изучить можно не хуже кинцо снять
Аноним 24/11/25 Пнд 00:08:09 #211 №326965980 
>>326956083
слушай посмотри в ютубе видос как симбиоз математики + философии дает ахуительный микс делающий из тебя интеллектуального бога, коим я и являюсь, и кста трансцедентальный идеализм Канта ты не поймешь пушто его книга самая сложная считается вне зависимости от того считается ли и в своей сфере, а вот я к пути понимания этой диаграммы которую ты привел мге токо время надо всосал
Аноним 24/11/25 Пнд 00:09:42 #212 №326966022 
>>326956664
тупица математику учат не из школы
Аноним 24/11/25 Пнд 00:14:31 #213 №326966121 
>>326956773
>>326962730
не хочу тебя расстраивать но моя конструкция та была сконструирована наобум
Аноним 24/11/25 Пнд 00:16:39 #214 №326966186 
>>326965980
Этот симбиоз сделает из тебя маргинала
Аноним 24/11/25 Пнд 00:19:01 #215 №326966239 
image.png
>>326965517
>но имея под рукой матлаб и мэпл
А если их не будет под рукой? А тебе что-то нужно рассчитать?
>>326965569
>Люди среднее специальное не просто так изучают
Люди средне-спецаильное изучаютполучают, чтобы съебать и больше не учиться в школе, либо у них нет возможности поступить на вышку (мало баллов егэ и нет денег на бюджет).
> а есть нестандартные, где мозгами нужно шевелить и стандартного решения ни в книжках, ни на ютубе не найдешь.
Например?
>Более того скажу, начертить инженер может что угодно, а на практике получится с точностью до наоборот и все работает.
Ты имеешь в виду, что птушники чертежи делают?
>нания как че делать передаются от одного деда к другому и чем сложнее тех процесс, тем хуй ты че найдешь и почему так.
Есть такое, но на какой работе не рассказывают что и к чему?
> Возможно одна из причин почему на Луну перестали летать, пару дедов померло и все теперь сомневаются, а все ли делали по чертежам)
Просто в этом нет целесообразности. Одного раза было достаточно.
Аноним 24/11/25 Пнд 00:21:23 #216 №326966285 
Сука я визжу с этого треда нахуй. Оп мощнейшая обезьяна бля
Аноним 24/11/25 Пнд 00:21:44 #217 №326966289 
>>326966239
ну а если листочка с ручкой нет как считать тогда? офк что то не серьёзное я могу посчитать и так но оно обычно нахуй не нужно а что то стоющее на листочке считать слишком долго.
Аноним 24/11/25 Пнд 00:27:04 #218 №326966411 
>>326955781
Квартира спроектирована проектировщиком, которому математика нахуй не нужна.
Аноним 24/11/25 Пнд 00:28:47 #219 №326966449 
IMG4370.jpeg
>>326955078
просто мат. нотация это муторная срань по большей части. и еще в школках обычно все вручную заставляют считать и поэтому фокус не на абстракциях и сути а на таблице умножения ебаной. всякие как раз таки обманчиво простые названия типа "предел" и тд. на на матане бля препод заливал что апории зенона можно через предел решить хотя смысл у них в том что невозможно какбы в конечное состояние прийти а мат. предел как раз таки саму точку в которой он вычисляется и не рассматривает вообще (определение коши если память не изменяет бля). никто блять не понимает че такое математика говорят что ето вещь в себе и база вселенной хотя на самом деле это просто язык который создан так чтобы им можно было описывать окружающие феномены и искать закономерности в данных (вручную без компов).
sage[mailto:sage] Аноним 24/11/25 Пнд 00:30:04 #220 №326966482 
>>326954954 (OP)
> Смотрю пики - вообще нихуя не понимаю, что тут написано.
На первой правило Лопиталя, там даже подписано.
На второй ряд Тейлора для некоторых стандартных функций, производные основных функций итд.
На третьей Последовательность Майера — Вьеториса для конуса над пространством X.
На четвертой тривиальный факт из алгебры и вычитсление всех возможных подгрупп группы перестановок.
Мимопограммист, закончил вузик в 2013
Аноним 24/11/25 Пнд 00:31:38 #221 №326966504 
>>326955523
Ща я тебе объясню. Вот ты подходишь к мамке и говришь "дай 100 рублей на пирожок в школе" а она тебе говорит "иди нахуй сынок, денег нет ничего не дам, соси хуй (на языке это обозначется 0 (читается как "нуль")). Ты повторяешь свою просьбу еще 4 раза (чтобы всего получилось 5) и каждый раз получаешь в ответ "иди нахуй соси хуй, то есть 0". Сколько денег тебе дала мамка на пирожок? Нихуя не дала, то есть ноль. Я сам учитель математики если что.
Аноним 24/11/25 Пнд 00:35:17 #222 №326966583 
>>326966504
а при чем тут умножение? тут пять раз прибавлялось по нулю
Аноним 24/11/25 Пнд 00:49:28 #223 №326966909 
>>326966583
А умножение - что такое?
Аноним 24/11/25 Пнд 00:52:33 #224 №326966970 
>>326966909
так ты учитель вроде. вот и объясни
Аноним 24/11/25 Пнд 00:54:32 #225 №326967012 
>>326966970
так все вась увидел что по определению умножение это многократное сложение. вопрос снят
Аноним 24/11/25 Пнд 01:11:39 #226 №326967406 
>>326966504
Так ты объясняешь про 05, а не про 50. Что 05=0 понятно, а почему 50=0? Как дать 100 рублей 0 раз, это ж не послать нахуй, так как это уже 0, а 100.
Аноним 24/11/25 Пнд 01:21:48 #227 №326967622 
>>326967406
про коммутативность слышал? 1 + 2 = 3, 2 + 1 = 3.тут также
Аноним 24/11/25 Пнд 01:24:15 #228 №326967667 
>>326967406
давай про 100 рублей.
по условиям ты их даёшь 0 раз КОМУ ТО т. е. у тебя твои 100 рублей остаются но у того кому ты их дал 0 раз они не появляются. если ты решишь давать сам себе 100 рублей 0 раз то у тебя условно будут 100 рублей исходные но ты их 0 раз дал те данных (переданых самому себе) рублей у тебя будет 0 тк сам себе ты их не давал (дал 0 раз)
Аноним 24/11/25 Пнд 02:05:23 #229 №326968426 
image.png
>>326966285
Да, это я.
>>326966289
>ну а если листочка с ручкой
В уме. Топовые математики так умеют.
>офк что то не серьёзное я могу посчитать и так но оно обычно нахуй не нужно а что то стоющее на листочке считать слишком долго.
А как тогда студенты решают задачи в вузах?
Аноним 24/11/25 Пнд 02:09:17 #230 №326968485 
image.png
>>326966482
>На первой правило Лопиталя, там даже подписано.
Ну читать я умею, но что там расписано - я вообще не понимаю. Набор цифр, букв, скобок и степеней. Стрелки какие-то еще, видимо, это предел или проивзодная.
>На второй ряд Тейлора для некоторых стандартных функций, производные основных функций итд.
Не знаю кто такой Тейлор. Про функции в курсе, да.
>На третьей Последовательность Майера — Вьеториса для конуса над пространством X.
Тоже вообще ни о чем не говорит.
>На четвертой тривиальный факт из алгебры и вычитсление всех возможных подгрупп группы перестановок.
То же самое, и что выше.
>Мимопограммист, закончил вузик в 2013
Тут аноны некоторые, которые бауменку закончили, сами не догоняют что там на 3 и 4 пиках. Какое-то безумие для сверхлюдей из мфти.
>Мимопограммист, закончил вузик в 2013
Ого давно. Не мфти случаем?
Аноним 24/11/25 Пнд 02:11:37 #231 №326968518 
image.png
>>326966504
>Сколько денег тебе дала мамка на пирожок? Нихуя не дала, то есть ноль. Я сам учитель математики если что.
Школьникам так же объясняешь материал?
Аноним 24/11/25 Пнд 02:18:48 #232 №326968620 
17632038041970.mp4
>>326957600
>Нейросеть не заменит реального человека.
Аноним 24/11/25 Пнд 02:23:29 #233 №326968682 
17635643042401.mp4
>>326962218
>А что по поводу Перельмана
ув. господин Перельман гниёт в суровой реальности на ровне с нами (представляете как это унизительно?).

Потому что является уникальным продуктом государственной деятельности.
Живет с мамкой в страхе, под круглосуточным наблюдением КГБ.
Чтобы не передавать секреты родины.

Бесплатно учился - бесплатно работай.
это девиз минобра вот уже 2 сотни лет.
Аноним 24/11/25 Пнд 02:45:50 #234 №326969022 
image.png
>>326968620
Так живое общение, эмоции, тактильность.
Аноним 24/11/25 Пнд 02:50:24 #235 №326969084 
>>326969022
>живое
окей, когда введут квоты на нейросети, отдай свою мне.
а сам общайся с дегенератами которых вырастили в орочьей яме на картошке.
Аноним 24/11/25 Пнд 03:29:46 #236 №326969543 
>>326957970
>теория вероятности школьного уровня в миллиард раз полезнее
а что там еще для жизни полезного есть? и можно ли это самому без наносека за 2500/час освоить? ну и лит-ру накидай.
с меня как обычно.
Аноним 24/11/25 Пнд 03:36:21 #237 №326969642 
image.png
>>326969084
Ну знаешь, мне было очень приятно пообщаться со многими анонами в этом треде, удивлен, что и мой тред кому-то тоже зашел >>326966285
Аноним 24/11/25 Пнд 03:39:07 #238 №326969676 
>>326956618
Где степень получал?

Мимо PhD по математике
Аноним 24/11/25 Пнд 03:40:58 #239 №326969705 
>>326956618
>и предыдущие знания не сильно сложнее чем предыдущие
Аноним 24/11/25 Пнд 04:37:19 #240 №326970285 
>>326969543
>а что там еще для жизни полезного есть?
именно из разделов математики это наверное самое полезное, что есть для обывателя. так-то поведенческая экономика штука годная, но там уже чисто выводы читать, а не формулы разглядывать. математика хороша тем, что она дает новые варианты как вообще можно смотреть на мир. а для этого нужно освоить всю школьную математику и первый курс матана + линейки. без преувеличения, этого уже хватит для того чтобы перестать считать разумными людей, которые смотрят на мир иначе. многое резко обретет смысл
>и можно ли это самому без наносека за 2500/час освоить?
можно, но заметно дольше. я бы рекомендовал одно занятие с профессионалом, который направит, что именно нужно делать. а потом раз в несколько месяцев сверяться, то ли ты делаешь или дрочишь какую-то рандомную срань
>ну и лит-ру накидай.
начни с лекций савватеева. у него есть "100 уроков математики"- вполне годно для старта
>с меня как обычно.
добротное нихуя? deal
Аноним 24/11/25 Пнд 04:42:25 #241 №326970347 
>>326970285
> без преувеличения, этого уже хватит для того чтобы перестать считать разумными людей, которые смотрят на мир иначе. многое резко обретет смысл
Это как?
Аноним 24/11/25 Пнд 04:56:04 #242 №326970481 
>>326954954 (OP)
Так это легкая хуйня, просто сложно записи разобрать если не понимаешь как работает язык.
Аноним 24/11/25 Пнд 05:05:04 #243 №326970557 
>>326970347
Например, ты начаниаешь понимать, что у любой проблемы есть структура. Вместо хаотичных и бесполезных действий ты любую проблему разбираешь на этапы автоматически. Правильно поставленный вопрос обычно оказывается половиной решения
Аноним 24/11/25 Пнд 05:10:03 #244 №326970598 
>>326955676
никто нихуя тебе доказывать не будет. Мир это про субъективизм и идеализм, все упирается в перспективу бытия. Математики и прочите материалисты хуй сосут
Аноним 24/11/25 Пнд 05:29:13 #245 №326970770 
>>326954954 (OP)
Савватеев не математик.
Аноним 24/11/25 Пнд 05:30:19 #246 №326970783 
>>326956618
>прикладной
Так это вообще не математика.
Аноним 24/11/25 Пнд 05:33:03 #247 №326970812 
>>326956665
3 гомологическая алгебра как будто бы, 4 азы алгебры, первый курс математической специальности.
Аноним 24/11/25 Пнд 05:39:09 #248 №326970875 
>>326954954 (OP)
Если математика реально работала можно было предсказывать все события до бокса мма и т.д., а люди неспособны предсказать завтрашний день, так что мотиматика хуета надутая.
Аноним 24/11/25 Пнд 05:58:36 #249 №326971096 
>>326954954 (OP)
Ну и нахуй ты мои фотки с моего треда спиздил сука?
Аноним 24/11/25 Пнд 06:45:01 #250 №326971692 
>>326954954 (OP)
если дрочить матан, то можно экзамен сдать
но от этого ты не станешь математиком
я все что мог решать НА ОТЛИЧНО в универе через года 2 забыл напрочь, т.к. это нигде не понадобилось
Аноним 24/11/25 Пнд 07:26:29 #251 №326972346 
>>326955500
>будешь гораздо полезнее математиков, и зарабатывать будешь больше
Куда более смешно читать твой высер в эпоху хайпа ИИ, где все нейронки - суть математика (линейная алгебра в основном) и таких спецов пылесосят.
Наверное ты из тех "математиков" как Саватеев, который перестал понимать математику когда она перешла в компьютерную эпоху.
А до этого можно было залететь в блокчейн и прочую криптографию.
Аноним 24/11/25 Пнд 08:29:30 #252 №326973404 
>>326970770
А кто он? Он профессор и доктор технических наук.
Аноним 24/11/25 Пнд 08:30:16 #253 №326973422 
>>326970783
А что это тогда?
Аноним 24/11/25 Пнд 08:32:18 #254 №326973446 
>>326971692
Ты разобрался, понял — этого уже достаточно.
Аноним 24/11/25 Пнд 08:39:01 #255 №326973548 
>>326971096
Ссылка на тред.
Аноним 24/11/25 Пнд 08:40:11 #256 №326973565 
>>326954954 (OP)
Это 1 курс университета. У тебя какое образование?
Аноним 24/11/25 Пнд 08:49:55 #257 №326973732 
>>326973565
Оп говорил, что у него не техническое.
Аноним 24/11/25 Пнд 08:53:29 #258 №326973817 
Те, кто орут, что математика это сложно никогда не пытались в физику........там вообще пиздец.
Аноним 24/11/25 Пнд 08:58:31 #259 №326973930 
>>326958428
>Без репетиторов и какой либо помощи начал штудировать
>С околонуля за пару месяцев я уже знал неплохо весь курс алгебры и физики с 5 по 11 класс, потом начал штудировать и задрачивать тестовые ЕГЭ примеры

Лол, я так же егэ сдал. В 10-11 в шкалку почти не ходил, т.к. хуярил в доту, тренил и бухалжил один
Готовиться, как и ходить в шкалкунемножк, начал гдет в феврале. К маю матан и физику уже знал лучше протыклассников, которые с 9 класса на репетиторах сидели. Матан сдал гдет на 85, физику на 80.
Никогда не забуду глаза преподов, когда они узнали, что я сдал лучше отличников. Одна из отличниц так и вовсе с первого раза физику не сдала, лол.
Потом поступил в мухосранский вузнгу из которого был отчислен с 3 курса, т.к. проебал весь семестр и пара преподов встали в позу.
Аноним 24/11/25 Пнд 08:59:06 #260 №326973951 
>>326973565
Да какая разница какое образование, если не дрочишь это дрочево на регулярной основе.
На 1-2 курсах в вузике сдавал эту шляпу, дифуры блядь какие-то там были, матрицы, больше и не вспомню даже названий и терминов. Уже как 10 лет работаю в стройке по специальности и в целом 12 лет спустя я даже примерно не вспомню что там такое было вообще.
Аноним 24/11/25 Пнд 08:59:36 #261 №326973959 
16891521998580.jpg
>>326954954 (OP)
>люди на дваче имеют 300к и более
>300к
>На дваче.
Аноним 24/11/25 Пнд 08:59:36 #262 №326973960 
>>326954954 (OP)
>математика
>300к/сек
Ошибаешься, анончик. В этой науке денег водится чуть меньше, чем нихуя. Не только в пахомии, такая ситуация во всем мире. Если ты любишь математику, относительно понимаешь ее в той степени, что способен к расчетам и анализу, то хороших денег за эти умения ты не увидишь никогда, потому что куда лучше платят тем, кто умеет найти этому прикладное применение. Да, можно заниматься исследованиями и получать крошечку с грантов, но даже ебаный говнокод на самом деле куда прибыльнее для бизнеса и для тебя писать.
мимо кфмн, работающий параллельно с докторантурой эмбдед кодомакакой, чтобы было на что кушать
Аноним 24/11/25 Пнд 09:01:43 #263 №326974005 
>>326955090
А ты думал что все топовые математики ерж просто так?
Аноним 24/11/25 Пнд 09:02:42 #264 №326974031 
>>326973951
Ты мог бы очень сильно упростить себе работу, если бы вспомнил диффуры и научился снова простенькие интегралы в уме брать или чуть сложнее в каде считать. Печально, что в университетах очень редко объясняют для чего инженеру нужен матан во всех его проявлениях
Аноним 24/11/25 Пнд 09:03:02 #265 №326974036 
>>326959747
Это когда такое было? Я в 14 году сдавал и там части А уже не было.
Если я не забыл, конечно
Аноним 24/11/25 Пнд 09:04:04 #266 №326974059 
>>326973960
Ебать ты лошара ебаный, я работаю математиком в банке за 100к баксов в год и то по сути хуй пинаю
Аноним 24/11/25 Пнд 09:04:19 #267 №326974064 
>>326955500
Если все будут класть плитку и варить железные залупы, то кто тогда будет двигать новучный прогресс?
Аноним 24/11/25 Пнд 09:05:17 #268 №326974088 
>>326974005
ИМХО это по большей части связано с тем, что в совочке был негласный бан на ерж в гуманитарных сферах, даже в институт было невозможно поступить, отсюда и такая оверрепрезентация
мимо ерж математик
Аноним 24/11/25 Пнд 09:06:29 #269 №326974117 
>>326954954 (OP)
Матанализ и линейную алгебру освоит даже обонго из племени койсан. Дело лишь во времени. Хочешь научиться? Иди в ютуб, забей математика 5 класс, математика 6 класс, алгебра 7 класс и так далее. Через год освоишь всю школьную математику. Затем забиваешь курс матанализа и за полгода осваиваешь.
Аноним 24/11/25 Пнд 09:06:52 #270 №326974123 
>>326974059
Я занимаюсь тем, что мне неиронично интересно. На кой хуй мне твои миллионы, если я счастлив от своего труда и его результатов?
Аноним 24/11/25 Пнд 09:07:19 #271 №326974128 
>>326955090
>Это какой-то инопланетный язык,
Это межпланетный язык. Законы математики едины.
Аноним 24/11/25 Пнд 09:07:26 #272 №326974133 
>>326956083
Там в слове coker ошибка. Вместо k должна быть с.
Аноним 24/11/25 Пнд 09:08:56 #273 №326974167 
>>326970557
Ты только что разукрупнение описал чтоль?
Разве не все это понимают?
Аноним 24/11/25 Пнд 09:09:14 #274 №326974172 
>>326974088
Математика симуляция науки. Читай "математики тоже шутят", но я не знаю чем они ещё занимаются. Тут мудрость антопологии: есть много и мало. Два понятия !Много и мало.
Жалкие глупцы вынуждены оп щупывать предметы чтобы сочтить число.
Но мы-то мудрые, можем слышать число.
Мы кальмары.. крутые..
Аноним 24/11/25 Пнд 09:09:40 #275 №326974182 
>>326974123
Да да рассказывай про то что ты счастлив и любишь свою работу, только вот по факту мы оба любимым делом занимаемся, но при этом ты решил хуй без соли доедать всю жизнь
Аноним 24/11/25 Пнд 09:10:07 #276 №326974189 
>>326974172
В чистой математике не может быть эмпирического опыта, математика не наука
Аноним 24/11/25 Пнд 09:11:40 #277 №326974205 
Математика это не сложно, если вдумчиво и шаг за шагом изучать. Гораздо сложнее изучать дисциплины по типу университетской физики, тервера, матстатистики, теорию электротехники и цепей, электронику, теории автоматического управления, основы нейросетей и т.п. когда математику не знаешь и не понимаешь. Математика не спроста зовётся царицей наук. И это я ещё в экономику не залезал. Понимал бы я это не в 30 лет, а в 18 - сейчас бы был нихуевым инженером, а не ебаным тестировщиком.
Аноним 24/11/25 Пнд 09:16:27 #278 №326974296 
>>326955271
>пик
Вообще элементарная хуйня решаемая любым умственно полноценным человеком старше 12 лет
Аноним 24/11/25 Пнд 09:18:56 #279 №326974344 
>>326955090
В математике нихуя сложного, учится точно так же, как и языки программирования. Единственный нюанс - это язык с максимально блядским синтаксисом. Штрихи, блядь, рандомные буквы в разных регистрах, обозначающие абсолютно разные вещи в зависимости от контекста, ёбаные закорючки из греческих/арабских/шумерских/аллахских нахуй алфавитов, в рот их ебать. Ещё и постоянно у математиков письмо уровня алкаша-трясуна, хуй разберёшь, что написано.

Если бы для математики придумали нормальную запись - математиков было бы как говна за баней (программистов).
Аноним 24/11/25 Пнд 09:30:22 #280 №326974571 
>>326974182
>хуй без соли
У меня семья относительно при деньгах, так что о том где жить и что покушать я никогда не переживал, а излишки не нужны
>>326974172
>Читай "математики тоже шутят"
Давно про что-то настолько кринжовое не слышал, анон. Может научпоп видосов или треп Савватеева еще предложишь навернуть?
Алсо у тебя достаточно странное представление о математике.
Аноним 24/11/25 Пнд 09:31:19 #281 №326974590 
>>326974571
Червь-приживала, все ясно
Аноним 24/11/25 Пнд 09:31:45 #282 №326974596 
>>326974205
>сложнее изучать дисциплины
Их сложнее изучать исключительно из-за того, что для этого нужны знания математики. Она первична, а перечисленные тобой дисциплины предполагают понимание базового матана
Аноним 24/11/25 Пнд 09:32:54 #283 №326974621 
просто смотрит.jpg
Аноним 24/11/25 Пнд 09:33:06 #284 №326974630 
>>326974571
>чтобы было на что кушать
>что покушать я никогда не переживал
Звучит как пиздеж. Возможно даже пиздеж самому себе.
Аноним 24/11/25 Пнд 09:35:56 #285 №326974698 
>>326974590
Это из-за чего тебя так порвало? Не все выросли в нищете и рвали жопу, чтобы в средний класс хотя бы попасть, анон. Да и родители мои не прям чтобы вот богатые, просто повезло немного с недвигой, доставшейся от дедов-бабок в наследство, на хлеб с маслом хватает, не более. Тебе приходится работать, чтобы была еда и крыша над головой, ты это как счастье воспринимаешь. Хотя есть много других вещей, которые доставляют еще сильнее, если нет этих забот
Аноним 24/11/25 Пнд 09:36:19 #286 №326974705 
Смотри, всё элементарно:
F(x) = A / b; это математика ,законодательный стиль
Ф = a / b; вотэфаапеппе!; это прога ,исполнительный стиль

Нельзя заниматься законодательством слишком долго. Это подобно игре в шахматы, но у вас не прокачен настолько мозг чтобы победить малыш Нэйро в шахматы..
Мы играим в шашку..
Или во что-то поу
мне всё-таки..
Аноним 24/11/25 Пнд 09:39:54 #287 №326974793 
>>326974630
Так про покушать образно было. Мне со сдачи бабкиной квартиры 90к ежемесячно падает, плюс зряплатка на кафедре и макакинг еще денег дают. В ДС2 на одного достаточно, чтобы жить без тряски. Мог бы даже не писать говнокод, но грантов сейчас нет и не придвидится
Аноним 24/11/25 Пнд 09:40:19 #288 №326974808 
>>326974793
>предвидится
Быстрофикс
Аноним 24/11/25 Пнд 10:35:30 #289 №326976085 
>>326974036
До 2010 года.
https://alexlarin.net/ege/040609/1.pdf
Аноним 24/11/25 Пнд 10:46:53 #290 №326976371 
>>326974031
Не знаю, мож это еще каким проектировщикам и надо, а я еще будучи студентом оказался в строительной бригаде гречневых петровичей и махал лопатой по пояс в бетоне я не шучу, когда заливали жесткое основание в двухпутном тоннеле между проспектом славы и международной реально так и было ну и дальше так по линии и пошел после защиты. Самое сложное что приходится считать - это разности отметок и иногда координаты, лол. Но с этим успешно справляется и автокад и маркшейдер, поэтом удифур здесь никаких не надо. Надо строить по чертежу чтоб не было пиздежу.
Аноним 24/11/25 Пнд 10:59:28 #291 №326976652 
>>326954954 (OP)
1 и 2 это вообще 10-11 класс, достаточно тривиально.
Аноним 24/11/25 Пнд 11:07:51 #292 №326976835 
>>326974596
Я ровным счётом про это же и написал

Просто когда тебе 18, ты поступил в универ, и тебе на первой паре вместо какого то экскурса сразу начинают хуячить матрицы просто потому что, а потом ряды, а потом пределы то ты собственно уже забиваешь хуй. А дальше хуже, что не предмет то тотальное непонимание "а почему так?" На первой же формуле. В одной только ТАУ диффуры, тфкп, те же ряды и преобразования Лапласа. Не знаешь матан - не знаешь любую инженерную дисциплину. Зато легко можно учить всякие c++, питоны, джавы и не осознавать, что это мина замедленного действия, которая аукнется сейчас, в годы загибания простой айтишки. Потому что языки программирования это всего лишь инструменты, программист это как укладыватель кирпича на стройке, это не инженер.
Аноним 24/11/25 Пнд 11:10:18 #293 №326976896 
>>326974705
Хуйню написал, ты даже не понимаешь что такое функция
Аноним 24/11/25 Пнд 11:14:13 #294 №326976995 
>>326976371
Ну тогда ты может и прав, я слабо представляю специфику твоей профессии, анон. Мой максимум - это расчеты формул от физиков за копеечку или уважение
>>326976835
По личному опыту могу сказать, что программист - это буквально пользователь прикладного решения, шлепатель форм за редким исключением. Кстати, изучение кодингда будто бы кажется тривиальной задачей из-за этого, если ты уже знаешь матан, в кодинге очень простая логика и нет прям уж совсем ебанутых абстракций
Аноним 24/11/25 Пнд 11:17:19 #295 №326977068 
>>326954954 (OP)
И много денег они этой писаниной непонятных циферок и символов зарабатывают?
Аноним 24/11/25 Пнд 11:17:33 #296 №326977077 
>>326976995
>нет прям уж совсем ебанутых абстракций

Тем временем Spring...
Аноним 24/11/25 Пнд 11:23:05 #297 №326977205 
>>326954954 (OP)
Ну первый пик это всякие пределы, раскрытие неопределенности "ноль делить на ноль". Типа смотришь, и там и там ноль, давай тогда продифференцируем малёха, хуяк-хуяк и обычное отношение получилось.



>>326955078
А щас сами решают, или в Матлабе хуярят?
Аноним 24/11/25 Пнд 11:36:32 #298 №326977619 
16891521998580.jpg
Чел связь матеша < —— > и музыка не присутствует..
Это дичья дроч.. я те объясню своё видение позже..
А пока для затравки два слова: сэмплы солы и рифы, таквот рифы это плюс-пинус тоже самое что и то что мы назвываем сэмплы. Но они могут быть заюзаны беспонту, а рифы тоже. Тут острота..
Кто знайт.. что это такое..
Тут 🍅113)
Аноним 24/11/25 Пнд 11:53:50 #299 №326978203 
>>326970285
спсбо
Аноним 24/11/25 Пнд 12:03:58 #300 №326978491 
>>326976995
Я за те 10 лет в стройке уже натаскался больше в административной работе, как заключить договор на выполнение смр, как его довести до конца, закрыть объемы, закрыть все деньги, потом следить за гарантией и всякое такое. От инженера у меня уже только корочка и осталась.
А все эти математики для меня как и раньше были темнейшим лесом, так и остались. Я даже в универе только начал что-то понимать, когда пошли узкоспециализированные дисциплины, где надо было считать параметры технологического цикла, а потом по полученным параметрам подбирать оборудование, которое обеспечивает необходимую производственную мощность.
А абстрактное говно это вообще не для меня, и если бы не умные азиаты в моей общаге, которые за долю малую готовы были сдавать вместо меня матаны, я бы скорее всего вылетел нахуй курса со второго еще.
Аноним 24/11/25 Пнд 12:17:26 #301 №326978891 
>>326974059
ебать, ты математик, на хуй, ёбанарот! а отжимом мобилок по вечерам не подрабатываешь?
Аноним 24/11/25 Пнд 12:56:30 #302 №326980079 
animo 44102.jpEg
76 мб на
Аноним 24/11/25 Пнд 13:19:19 #303 №326980756 
>>326980079
Что это?
Аноним 24/11/25 Пнд 14:05:54 #304 №326982225 
>>326963297
> Ключевое. Запомнить математику нереально. А чтобы понимать, необходимо абстрактное мышление с которым рождаются только.
Понимание = запоминание, просто запоминание каких то частей концепций га которых концепция основана
Аноним 24/11/25 Пнд 15:02:44 #305 №326983837 
Все, что написано здесь обезьяной, двачую. В школе проблемы начались в классе 7-8, и так я не нагнал нихуя. Учился на гуманитарке в вузе, сдавал базу. По всем предметам у меня было заебись кроме математики с физикой. По итогу когда вышел на рынок труда, оказалось, что вообще то было бы полезно знать математику на уровне хотя бы первых двух курсов технической вышки. Пытался сам проходить, прорешивал учебники за 9-10 класс, но было мало времени, реально очень тяжко выделить достаточно времени на изучение математики. Какие только способы ускорить процесс я не предпринимал. По итогу в тригонометрии я застопорился и все, аут. Объяснить нормально никто не мог, все советовали решать сканави, а это года на две три после работы. Короче к тому моменту мне уже математика не так сильно нужна была бы. До сих пор у меня комплексы, что я плохо знаю математику. Стыжусь этого. Не умею брать интегралы, не шарю в линейной алгебре и аналитической геометрии. Знаю базовые вещи, проценты там, арифметику, простые уравнения. Время безвозвратно упущено. Вывод - нужно в школе проходить все и не забрасывать. Сейчас очень сильно жалею, что было тяжело, а я никому не сказал и скрывал это. По итогу мучительно было в школу ходить, бывало даже меня физически тошнило на уроках математики, когда что-то сложное давали, потому что я не мог это решить.
Аноним 24/11/25 Пнд 15:06:09 #306 №326983927 
>>326983837
И самое главное добавить хотел, что я чувствую себя хуже и уязвимее тех, кто математику знает. Я просто понимаю, что они лучше меня в этих вопросах шарят, и когда возникает спорный момент в работе с цифрами я не могу нормально аргументировать и парировать, потому что могу запутаться и сесть в лужу
Аноним 24/11/25 Пнд 15:08:16 #307 №326983991 
>>326983927
На какой нахуй рынок труда ты вышел где нужна математика пиздабол.
Аноним 24/11/25 Пнд 15:12:53 #308 №326984144 
>>326983991
Я работал менеджером по закупкам, потом в коммерческий анализ, потом финансовым аналитиком. Работать тяжело, хотел быть дата аналитиком, но без матана я там всосал и решил не рисковать.
Аноним 24/11/25 Пнд 15:13:53 #309 №326984183 
>>326984144
Ну и нахуй ты в эту парашу устроился ебанько чтоли?
Аноним 24/11/25 Пнд 15:17:30 #310 №326984282 
>>326984183
Платили деньги и работа в офисе. Другого выбора нет, либо грузчиком, либо бариста. Нужно было как то строить карьеру
Аноним 24/11/25 Пнд 15:40:38 #311 №326984940 
>>326984282
А как тебя собесили на фин аналитика? Жопой?
Аноним 24/11/25 Пнд 16:41:02 #312 №326986891 
CrazyAleona.mp4
Ладно привет.
Кажется, что мне пора спать..
Аноним 24/11/25 Пнд 18:50:53 #313 №326990939 
>>326963297
Абстрактное мышление -- это про способность закрывать глаза на незанчимые детали, делать обобщения и способность работать с понятиями, а не только с конкретными вещами. Если понимаешь поговорки, можешь пройти психиатра, то у тебя есть абстрактное мышление.
Аноним 24/11/25 Пнд 19:24:35 #314 №326991953 
>>326974698
Порвало потому что мне противны люди, которые себя не могут обеспечить. А на счет остального у тебя сплошные проекции. И про нищету, и про родителей, и про еду с крышей. Прямо сейчас я работаю только для поддержания легально статуса ближайший год до получения гринки. Я могу ближайшие 7-8 лет жить в максимально комфортном для себя режиме только со своей крипты, как я это делал год до этого. Мне смешно с того что есть додики которые пытаются свою ущербность оправдать тем, что якобы любовь к математике денег не дает. Еще как дает, додиком просто быть не надо
Аноним 24/11/25 Пнд 19:27:39 #315 №326992059 
image.png
>>326954954 (OP)
>Умному человеку - соответствующая зарплата.
не факт, анончик.

У кого связи норм то и зарплата хорошая получается.
Потому что иначе у тебя как бы сказать...диссонанс
ты вроде и умный но бедный ибо в той сфере где ты работаешь работу не платят нихуя.

Я помню, был спецом по узкому профилю и таких спецов как я на все СНГ было примерно около 10 человек.
И что думаешь? Платили чуть больше мрота.
Я это все в рот ебал. пошел web3 учить.
Аноним 24/11/25 Пнд 19:53:45 #316 №326992926 
sticker.webp
17611182597870.jpg
wthgodfathermeme.png
[email protected]
>>326980756
Хызы этл просто цветастость мне каж..
Аноним 24/11/25 Пнд 21:15:24 #317 №326995313 
>>326992059
>Я помню, был спецом по узкому профилю и таких спецов как я на все СНГ было примерно около 10 человек.
Что за сфера?
Аноним 24/11/25 Пнд 21:29:29 #318 №326995714 
Бамп
Аноним 24/11/25 Пнд 21:35:45 #319 №326995861 
17637183287740.jpg
>>326954954 (OP)
>Смотрю пики - вообще нихуя не понимаю, что тут написано. Китайские иероглифы и того понятней выглядят для меня.
Да ничего там сложного нет, просто математический "язык" состоит из довольно-таки большого количества визуального мусора, который у неподготовленного человека сливается в одну кашу из буковок да черточек. Позанимавшись с недельку - начнешь там видеть вполне осмысленные конструкции.
Аноним 24/11/25 Пнд 21:43:34 #320 №326996112 
Бамп
Аноним 24/11/25 Пнд 21:45:06 #321 №326996159 
>>326995861
>Да ничего там сложного нет
Это уже 100 человек написали. Почему мне тогда сложно?
>Позанимавшись с недельку - начнешь там видеть вполне осмысленные конструкции.
В школе не пропустил ни одного укрока математики, делал все домашки. Почему так и не разобрался? Может быть это не всем дано от природы?
Аноним 24/11/25 Пнд 21:50:08 #322 №326996302 
Бамп
Аноним 24/11/25 Пнд 21:52:21 #323 №326996374 
computer-nerd-meme-15c33.jpg
>>326996159
>математики
Так на ОП-пиках матан. Может быть, у тебя был класс заборостроительной направленности, и вы там за пределы базовой алгебры не вышли.
>Почему так и не разобрался? Может быть это не всем дано от природы?
Думаешь, каким-нибудь айтишникам от природы дано в коде разбираться, и они родились с умением читать код? Или музыканты, по-твоему, сольфеджио понимают, только имея природный дар? Нет, они этому долго учились - учили язык, с помощью которого переносят сложные концепты своей деятельности на бумагу (ну или на экран, это уже частности). Программисты - синтаксисом описывают логические конструкции, композиторы - нотами описывают задушевный переход, а математики - кучей сокращений, цифр и замысловатых значков передают красоту чисел. Вот и ты учись, если хочешь разбираться в этом, можешь скачать учебник для 10-11 классов и начать с него, раз уж хорошо помнишь шкальную программу.
Аноним 24/11/25 Пнд 21:52:46 #324 №326996390 
bcb28d47-6f6f-448c-bafb-4d104941bc62.jpg
Untitled.png
hq720.jpg
1730595836animals-pibig-info-p-kot-i-bokal-vina-zhivotnie-vkontakte-v2.jpg
>>326996159
>делал все домашки
Лоховство.. ием..
Аноним 24/11/25 Пнд 22:01:43 #325 №326996654 
>>326996374
>Так на ОП-пиках матан.
Да.
>Может быть, у тебя был класс заборостроительной направленности, и вы там за пределы базовой алгебры не вышли.
Все было: линейная алгебра, матанализ, логарифмы, тригонометрия, пределы, проивзодные и т.д. Все очень сложно и непонятно.
>Думаешь, каким-нибудь айтишникам от природы дано в коде разбираться, и они родились с умением читать код?
Им дано математическое, абстрактное мышление, которое помогает в программировании.
>Или музыканты, по-твоему, сольфеджио понимают, только имея природный дар?
Все музыканты - никогда не имели проблем с математикой. Это все взаимосвязано.
> Нет, они этому долго учились - учили язык, с помощью которого переносят сложные концепты своей деятельности на бумагу (ну или на экран, это уже частности).
Кто-то долго, а кто-то быстро. Все от интеллекта зависит.
>Программисты - синтаксисом описывают логические конструкции, композиторы - нотами описывают задушевный переход, а математики - кучей сокращений, цифр и замысловатых значков передают красоту чисел.
И все это взаимосвязано, все эти люди очень легко в этом всем разбирутся. У меня есть знакомый, который окончил музыкальную школу, закончил физтех и сейчас работает программистом 300к/наносеком.
>Вот и ты учись, если хочешь разбираться в этом, можешь скачать учебник для 10-11 классов и начать с него, раз уж хорошо помнишь шкальную программу.
Зачем? Я все равно не потяну конкуренцию с теми, кому это дано от природы и теми, кто занимался этим с детства.
Аноним 24/11/25 Пнд 22:02:27 #326 №326996683 
>>326954954 (OP)
Перефразируя классика, математическое мышление оно как анус — разрабатывать надо.
Мимо 41 лвл читал подобные оп-пикам простыни как нехуй делать в 17, и всё забыл без практики к своим 19.
Аноним 24/11/25 Пнд 22:08:47 #327 №326996861 
>>326996683
>Перефразируя классика, математическое мышление оно как анус — разрабатывать надо.
Но оно того стоит.
>Мимо 41 лвл читал подобные оп-пикам простыни как нехуй делать в 17, и всё забыл без практики к своим 19.
Аноним 24/11/25 Пнд 22:09:20 #328 №326996879 
>>326996683
>Мимо 41 лвл читал подобные оп-пикам простыни как нехуй делать в 17, и всё забыл без практики к своим 19.
Кем работаешь сейчас со своим даром?
Аноним 24/11/25 Пнд 22:09:51 #329 №326996890 
>>326954954 (OP)
Ни хрена непонятно по итогу, потому что практика выводить формулы самостоятельно выкинута из оборота на старте. Это как фразы на языке заучивать но на нём не разговаривать.
Аноним 24/11/25 Пнд 22:10:33 #330 №326996914 
>>326996879
Сисадмин/девопс/sre.
Аноним 24/11/25 Пнд 22:26:08 #331 №326997321 
>>326996914
И чем ты занимаешься? Какая зп? Город?
Аноним 24/11/25 Пнд 22:26:55 #332 №326997339 
>>326996890
На физике учат выводить.
Аноним 24/11/25 Пнд 22:30:36 #333 №326997424 
Бамп
Аноним 24/11/25 Пнд 22:36:08 #334 №326997581 
>>326997321
Занимаюсь сисадминством/sre. З/п небольшая, но мне хватает, ключевое это отсутствие стресса и переработок. Город мухосрань 120к жителей в Канаде. На момент отъезда из РФ несколько лет назад оклад был 250к.
Аноним 24/11/25 Пнд 22:37:16 #335 №326997612 
>>326997581
>На момент отъезда из РФ несколько лет назад оклад был 250к.
Что так много?
Аноним 24/11/25 Пнд 22:42:10 #336 №326997746 
>>326997339
Это математика в базе
Аноним 24/11/25 Пнд 22:42:31 #337 №326997760 
Бамп
Аноним 24/11/25 Пнд 22:51:28 #338 №326998001 
>>326997612
Я хороший специалист и нетоксичный человек.

Последнее рабочее место в РФ было лучшим за мою жизнь, люди осознанно подбирались в команду по принципу немудачества, атмосфера была здоровая и без корпоративной хуиты. Это довольно редко встречается не только в РФ, но и по всей планете.
Аноним 24/11/25 Пнд 22:52:16 #339 №326998023 
>>326998001
В Канаде уровень жизни проскл после РФ?
Аноним 24/11/25 Пнд 22:59:01 #340 №326998206 
Бамп
Аноним 24/11/25 Пнд 23:16:41 #341 №326998654 
176401463594243203.jpg
>>326998023
Поначалу немного просел. Но качество жизни моментально выросло очень драматически. Я тут за две недели начал сам собой улыбаться на улицах — был этим шокирован, когда осознал. На второй год отучился нервничать при виде полиции. Воздух гораздо чище, чем в дс, даже несмотря на то, что город промышленный. Океан, скалы, хвойные леса, каеф.
Аноним 24/11/25 Пнд 23:36:45 #342 №326999242 
>>326998654
За сколько снимаешь жилье?
Аноним 24/11/25 Пнд 23:43:06 #343 №326999427 
Бамп
Аноним 25/11/25 Втр 00:27:36 #344 №327000673 
Бамп
Аноним 25/11/25 Втр 00:34:53 #345 №327000853 
Бамп
Аноним 25/11/25 Втр 00:59:31 #346 №327001390 
176402154179992071.jpg
>>326999242
1350 канадских долларов за трёху (2 спальни, жилая комната, объединённая с кухней) около 70 м², плюс электричество (около 80-100 в месяц ы зависимости от сезона).
Аноним 25/11/25 Втр 01:02:10 #347 №327001451 
>>327001390
> 80м²
Опечатался.
Аноним 25/11/25 Втр 01:24:45 #348 №327001964 
>>327001390
А свое жилье?
Аноним 25/11/25 Втр 04:11:30 #349 №327004356 
>>327001964
Ещё не купил, потихоньку присматриваю.
Аноним 25/11/25 Втр 06:24:16 #350 №327005702 
>>326996654
>Я все равно не потяну конкуренцию с теми, кому это дано от природы и теми, кто занимался этим с детства.
Никогда не понимал, откуда у двачеров этот максимализм вперемешку с категоричностью. Нахрена, когда что-то начинаешь, метиться сразу на топов? Разумеется, это демотивирует. Немного поучить, и начать в чем-то разбираться на уровне начинающего - это значительно лучше, чем вообще ничего не делать, и сидеть ныть, что с профи невозможно конкурировать.
Аноним 25/11/25 Втр 07:01:42 #351 №327006084 
>>326966239
Бро, чуть сложнее типовух все прорабы начинают бегать и визжать, а чем это варить, а как это собрать. Многие уходят потому, что не хотят в офисе сидеть всю жизнь. У кого то родня в этой сфере уже работает и нах им это программирование не нужно. Да и далеко не все конструкторы имеют вышку, многие также техникум заканчивают и на завод. А завод заводу рознь. Вообще не понимаю этой дрочи на высшее образование. Когда 2/3 пиздуют после выпуска тупо в продажи. А так даже если не вдаваться в сборку космических аппаратов, самолётов и судов. Любой отделочник работающий на себя зарабатывает намного больше офисного в одном и том же регионе, причем существенно
Аноним 25/11/25 Втр 07:12:47 #352 №327006216 
>>326954954 (OP)
доска - хуйня для задротов с уника. норм математики ебашут техническую документацию и оформляют всё в pdf файлах на компе
Аноним 25/11/25 Втр 07:15:10 #353 №327006251 
>>326955090
на деле если это реализовывать в коде, то все эти вычисления будут представлены в виде циклов математических операций (или матричных умножений и т.д.). то есть на бумаге обычно пишут одной ебанутой формулой, как это представлено. а реализация в виде кода развёртывает всю эту порнуху
Аноним 25/11/25 Втр 07:16:18 #354 №327006263 
>>326955523
такую хуйню доказывают на большой войне - там "обнуляют". что это значит? умножают на ноль. вот эти военные покруче физиков показывают, что значит умножить на ноль
Аноним 25/11/25 Втр 07:22:33 #355 №327006330 
Лично для меня проблема математики в том, что ее нотации слабо связаны между собой. Потому что никакой универсальной основы за ними не стоит.

То есть математика - это не единый язык с разными выговорами и словами-арго, а дикая помесь диалектов, вроде старофранцузского, или вообще даже языковое попурри, когда терминами из одной области нельзя объяснить другую.

Ну, а про херовое преподавание математики в школе есть эссе Пенроуза "Новый ум короля".
Аноним 25/11/25 Втр 07:24:22 #356 №327006355 
>>327006330
>никакой универсальной основы за ними не стоит
ничего универсального не бывает по определению
ну кроме конкретно тебя
Аноним 25/11/25 Втр 07:27:40 #357 №327006393 
>>327006330
да. это заебывает. особенно, когда на этой хуйне приходится общаться
Аноним 25/11/25 Втр 07:28:05 #358 №327006402 
>>327006355
братан ты че обиделся?
Аноним 25/11/25 Втр 07:30:32 #359 №327006440 
>>327006355
>ничего универсального не бывает по определению

По какому определению?
Аноним 25/11/25 Втр 10:05:13 #360 №327009151 
kmqI-HV5aCFY7HxsASzpPzm7vPduwygFnILNuw4UvEvuCsAtzOn0gwplYmdnqnk9RKyerjLprCcwkLyR3snuzk2.jpg
17370537122690.png
17174858291321578.jpg
c58937bb3a6e6951e8c6f612bd5fbbbd.jpg
>>327006440
Которое ещё не написано! Ещё не соткано!
Аноним 25/11/25 Втр 12:55:16 #361 №327013494 
>>327009151
>Которое ещё не написано! Ещё не соткано!

Я пришел к теореме, которая дает такой вывод, еще лет семь тому назад.

Переспросил чисто pro forma, вдруг чего.
comments powered by Disqus