МИКРА Короче, отправили на комсу по микре, выслали проверенную работу, не хватило 7 баллов, есть до чего доебаться? темы: 1. частичное равновесие и экономическая политика 2. экономика обмена, ящик эджуорта, теоремы благосостояния 3. монополия, ценовая дискриминация
>>331118456 (OP) Ну ты и лошара пиздец. Лень вспоминать эту хуету для первокурсников, ничего сложнее 2+2 посчитать сейчас не смогу Мимо 4 курс экономики
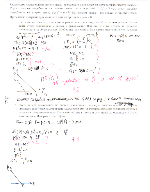
Короче, отправили на комсу по микре, выслали проверенную работу, не хватило 7 баллов, есть до чего доебаться?
темы:
1. частичное равновесие и экономическая политика
2. экономика обмена, ящик эджуорта, теоремы благосостояния
3. монополия, ценовая дискриминация