Сохранен 1277
https://2ch.su/math/res/23175.html
В ближайшие дни Архивач временно работает без основного хранилища ранее сохранённых картинок/видео пока мы проводим работы по техническому обслуживанию. Сохранение всего вновь поступающего контента продолжается. Но затем всё обязательно вернётся в полном объёме!

МАТЕМАТИКА ДЛЯ НАЧИНАЮЩИХ 33

 Аноним 14/08/17 Пнд 09:39:38 #1 №23175 
image.png
В этом треде мы изучаем математику. Если ты школьник или студент, и у тебя есть трудности с задачей, то здесь тебе помогут её решить или хотя бы скажут, в каком направлении двигаться для её решения. Чем более чётко и конкретно ты опишешь суть своих затруднений, тем выше твой шанс на содержательный ответ.

Архив тредов (там же списки и ссылки):
https://pastebin.com/qhs0WNbY
Аноним 14/08/17 Пнд 09:41:55 #2 №23177 
Как опровергнуть аксиому выбора? Что можно почитать на эту тему
Аноним 14/08/17 Пнд 09:47:53 #3 №23178 DELETED
Как доказать лемму Цорна без аксиомы выбора? Что можно почитать на эту тему
Аноним 14/08/17 Пнд 11:17:50 #4 №23184 
>>23178
Библию
Аноним 14/08/17 Пнд 11:55:30 #5 №23188 DELETED
>>23184
Читал. Ничего про аксиомы выбора не было.
Аноним 14/08/17 Пнд 12:13:23 #6 №23189 
Не умею упрощать квадратные (и не только) корни. Помогите.
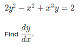
Аноним 14/08/17 Пнд 12:43:56 #7 №23196 
image.png
Помогите, плиз, с разобраться пикрил.
Знаю, что в результате получится f(x) = 0, f(x) = x - 1, f(x) = 1 - x, но не знаю, как к этому прийти. :c
Аноним 14/08/17 Пнд 12:44:48 #8 №23197 
>>23188
Прочитай ещё раз.
Аноним 14/08/17 Пнд 13:00:13 #9 №23198 
>>23196
Решение на сайте имо
Аноним 14/08/17 Пнд 13:00:45 #10 №23199 
>>23196
ебаноид недоделанный, я же тебе в предыдущем треде ответил
читать ветку нужно было >>22703
Аноним 14/08/17 Пнд 13:00:58 #11 №23200 DELETED
>>23198
Страницу можно?
Аноним 14/08/17 Пнд 13:01:15 #12 №23201 DELETED
>>23200
>>23197
Аноним 14/08/17 Пнд 13:11:53 #13 №23203 
>>23199
благодарю
Аноним 14/08/17 Пнд 13:43:55 #14 №23205 
Найти хотя бы одну функцию (в общем виде) u=f(k), такую что:
1. D(u) ∈ (0; 1)
2. R(k) ∈ R
3. ∃! t : u`(t) = 0
Аноним 14/08/17 Пнд 13:45:11 #15 №23206 
>>23205
Опечатка.
Найти хотя бы одну функцию (в общем виде) u=f(k), такую что:
1. R(u) ∈ (0; 1)
2. D(k) ∈ R
3. ∃! t : u`(t) = 0
Аноним 14/08/17 Пнд 14:08:35 #16 №23208 DELETED
>>23177
Коиндукцией.
Аноним 14/08/17 Пнд 14:24:44 #17 №23210 
>>23189
Сложно.
Аноним 14/08/17 Пнд 15:27:11 #18 №23212 
>>23206
1/2 Exp[-x^2]
Аноним 14/08/17 Пнд 16:01:04 #19 №23213 DELETED
Как доказать, что все гомотопические группы S^n тривиальны?
Аноним 14/08/17 Пнд 18:00:33 #20 №23215 
>>23213
Спроси у маляра, который жонглёр. Он сейчас где-то в Индии тусуется.
Аноним 14/08/17 Пнд 18:34:28 #21 №23219 
Как показать, что образ гомоморфизма не обязательно нормальная подгруппа без конкретных примеров? Придумал ϕ:H↪G, где H не является нормально подгруппой G, но конкретность данного решения меня бесит...
Аноним 14/08/17 Пнд 19:58:22 #22 №23222 
>>23219
Напрасно: чтобы доказать, что чего-то не бывает, надо так и делать -- предъявлять пример, когда не бывает
Аноним 14/08/17 Пнд 21:27:08 #23 №23223 
>>23175 (OP)
Так как раскладывать функцию в ряд? Вот функция логарифма натурального. Как её разложить в ряд? Я из примеров из книжекнихуя не понял.
Аноним 14/08/17 Пнд 21:55:06 #24 №23224 
>>23189
Уже мозги кипят, не знаю как подступиться к этому, словно какие-то заклинания, которую не пойми как зазубрить.
Аноним 14/08/17 Пнд 22:58:47 #25 №23225 
Тяжело даются логарифмы в плане осмысления. Где можно почитать про доказательства операций над логарифмами?
Аноним 14/08/17 Пнд 23:23:33 #26 №23226 
>>23225
Прям совсем строго - только в курсе матана после не малого формализма. Чтобы понять логарифмы, порешай чуть-чуть заданий из Сканави в соответствующей теме. Там есть пара страниц со вступительной информацией.
Аноним 15/08/17 Втр 08:59:32 #27 №23228 DELETED
>>23219
Это на самом деле зависит от верности исключённого третьего. Если оно верно, то образ гомоморфизма всегда является нормальной подгруппой.
Аноним 15/08/17 Втр 09:28:56 #28 №23229 
>>23228
Исключенное третье уже конструктивно опровергнуто. Луркай на архиве
Аноним 15/08/17 Втр 10:01:02 #29 №23230 DELETED
>>23229
>опровергнуто
Недоказуемость не есть опровержение.
Аноним 15/08/17 Втр 10:13:22 #30 №23232 
>>23230
Ну, это понятно. Я про то, что индукция и исключающее третье доказано, что не верно.
Аноним 15/08/17 Втр 13:49:51 #31 №23239 DELETED
>>23232
А, то есть арифметика Пеано противоречива? Я догадывался об этом уже давно. Ничего удивительного.
Аноним 15/08/17 Втр 14:36:00 #32 №23241 
Как же надоело зубрить математику...
sage[mailto:sage] Аноним 15/08/17 Втр 14:37:33 #33 №23242 
>>23241
> зубрить
> математику
Аноним 15/08/17 Втр 15:10:06 #34 №23243 
С чего начать изучать диффуры и интегралы?
Аноним 15/08/17 Втр 17:13:44 #35 №23246 
>>23243
Дифуры с книжки арнольда. Интегралы с курса Зорича
Аноним 15/08/17 Втр 17:36:02 #36 №23247 
>>23246
мне кажется, что книга Арнольда слишком жестокая для человека, окончивший 9й класс, и который хочет заняться диффурами
Аноним 15/08/17 Втр 17:59:53 #37 №23248 
>>23242
А что делать, если ты не слишком сообразительный? Я же школьную еще не закончил.
Аноним 15/08/17 Втр 18:24:32 #38 №23250 
>>23247
с другой стороны, надо же ему как-то осознать, что диффуры и интегралы это не просто набор алгоритмов, как переменные разделить или по частям ебануть. Пусть хоть мельком увидит, как бывает
Аноним 15/08/17 Втр 18:46:38 #39 №23251 
А у меня вот вопрос к математикам: вы помните все эти теоремы, которыми забиты учебники или вы по-надобности можете их самостоятельно выводить?
Аноним 15/08/17 Втр 18:50:23 #40 №23252 
>>23247
Мне кажется, диффуры слишком жесткие для человека, окончившего 9 классов, и не умеющего находить интегралы. Серьезно, для понимания нужен матан первого курса
Аноним 15/08/17 Втр 18:51:17 #41 №23253 
>>23247
все, понял. Ты перепутал диффуры и дифференциалы
Аноним 15/08/17 Втр 19:03:35 #42 №23254 
>>23253
в чём отличия?
Аноним 15/08/17 Втр 19:07:16 #43 №23255 
>>23252
нет, просто я уже прошёл курс тригонометрии, логарифмов, мне хотелось бы пойти дальше, к диффурам и интегралам. смысл задерживать до 1 курса, если есть желание?
Аноним 15/08/17 Втр 19:24:30 #44 №23256 
>>23255
Иди, но для дифуров у тебя мало знаний, а для матана как раз
Аноним 15/08/17 Втр 19:28:47 #45 №23257 
>>23256
по-твоему откуда брать знания для дифуров? -_-
я ведь для этого сюда и обратился, чтобы мне посоветовали
Аноним 15/08/17 Втр 19:31:49 #46 №23258 
>>23257
Для диффуров -- из матана. Их обычно считают разными предметами
Аноним 15/08/17 Втр 19:33:00 #47 №23259 
>>23258
из матана - это обширное понятие. конкретизируй, а то мне кажется, что меня здесь возненавидят.
Аноним 15/08/17 Втр 19:37:48 #48 №23260 
>>23259
Диффуры = Дифференциальный уравнения - уравнения с производными
Матан = Математический анализ - пределы, производные, интегралы
Аноним 15/08/17 Втр 20:34:55 #49 №23261 
Снимок экрана от 2017-08-15 22-32-15.png
Аноны, объясните, что за магия происходит при дифференцировании квадратичной функции? Насколько я понимаю, должно быть что-то типа dq(x) = d(x, Ax) = (dx, Ax) + (x, dAx). Как получается то, что получается на пике?
Аноним 15/08/17 Втр 20:55:23 #50 №23262 
Как быстро, лениво и для не слишком сообразительных освоить школьную математику, особенно геометрию?
Аноним 15/08/17 Втр 21:06:08 #51 №23263 
>>23175 (OP)
Нужно найти фокус произвольного куска параболы. Как это сделать?
Аноним 15/08/17 Втр 21:09:13 #52 №23264 
>>23262
Никак
Аноним 15/08/17 Втр 21:11:55 #53 №23265 
>>23262
Доказано, что это невозможно
Аноним 15/08/17 Втр 21:12:30 #54 №23266 
>>23263
Экстраполяцией. /thread
Аноним 15/08/17 Втр 21:16:52 #55 №23267 
>>23265
А если с помощью аксиомы выбора попробовать?
Аноним 15/08/17 Втр 21:18:12 #56 №23268 
>>23267
Ну тогда без индукции не обойтись, а это уже не геометрия, а математика.
Аноним 15/08/17 Втр 21:34:49 #57 №23271 
>>23268
Ты хотел сказать религия?
Аноним 15/08/17 Втр 21:40:30 #58 №23272 
>>23266
Опиши мне как.
Аноним 15/08/17 Втр 21:42:24 #59 №23273 DELETED
>>23268
Индукция доказывается тривиально.
Аноним 15/08/17 Втр 21:54:26 #60 №23274 
Как заставить себя учить математику?

Вопрос надо не стоит. Конечно же, надо и математика используется везде.
Аноним 15/08/17 Втр 22:01:08 #61 №23275 
01e4de9ea6f9fbL[1].jpg
>>23274
Никак, оставайся в говне.
Аноним 15/08/17 Втр 22:02:43 #62 №23276 
>>23261
Бамп. Как правильно дифференцировать скалярное произведение? Почему получается Adx, а не dAx?
Аноним 15/08/17 Втр 22:07:06 #63 №23277 
>>23274
Через лемму Цорна
Аноним 15/08/17 Втр 22:10:24 #64 №23278 
>>23272
Опиши мне задачу, как она есть
Аноним 15/08/17 Втр 22:14:10 #65 №23279 DELETED
>>23278
Задача - доказать аксиомы выбора не используя ничего кроме евклидовой геометрии.
Аноним 15/08/17 Втр 22:16:47 #66 №23280 
>>23279
Тащемто такое можно только трюком проделать. Гугли: трансиндукция
Аноним 15/08/17 Втр 22:18:58 #67 №23281 DELETED
Как доказать, что в каждой категории есть объект натуральных чисел?
Аноним 15/08/17 Втр 22:21:37 #68 №23282 
>>23281
У тебя в задачнике, видимо, опечатка. Правильнее задуматься, как доказать, что в каждой категории нет объекта натуральных чисел
Аноним 15/08/17 Втр 22:53:36 #69 №23284 
>>23261
>>23276
Кажется, я совсем поехал. Дифференциал линейного оператора — это и есть этот самый линейный оператор: dAx = Adx, ибо A(x+h) - A(x) = A(x) + A(h) - A(x) = A(h). Всё верно, аноны?
Аноним 15/08/17 Втр 23:58:16 #70 №23285 DELETED
>>23282
Разве?
Аноним 16/08/17 Срд 00:00:18 #71 №23286 
>>23285
Где-то доказано, что я не прав?
Аноним 16/08/17 Срд 00:13:31 #72 №23288 
1719105218495396152946645224121938745306939n.jpg
>>23175 (OP)
Двач, поясни за абсолютное число.

Правильно, что |x| - это может быть одновременно нуль, положительное число и отрицательное число.

То есть, если задаче пишут: отметьте на оси х, |x| = 2, то отметиться -2 и +2 на ней. Или, отметьте точки |x| больше и равно 5, то точки будут: от -5 до 0, и от 0 до 5?

пикрандом
Аноним 16/08/17 Срд 00:18:51 #73 №23289 
31538343012ca2703dc1bb.jpg
31569145351b539314032b.jpg
316844148053b5a2bab52b.jpg
3168443173511b046202db.jpg
>>23288
>отметьте точки |x| больше и равно 5
Опечатался - меньше.
Аноним 16/08/17 Срд 00:46:14 #74 №23290 
oooo.PNG
Если выразить заданное условие как предикат, то при P(1) и, соответственно, n=1, выражение приобретёт значение 0, делимость которого на три мне непонятна и не относится к теме задачи, значит, построение доказательства по индуктивному методу невозможно. Так ведь?
Аноним 16/08/17 Срд 00:49:05 #75 №23291 
>>23290
Сформулирую немного по-другому свой вопрос: корректно ли считать, что "0 делится на Х", если результатом выражения является 0, или нет?
Аноним 16/08/17 Срд 00:50:46 #76 №23292 
>>23291
Ноль кратен любому числу по определению делимости, значит, корректно.
Сам написал, сам ответил. Извините, я просто умственно неполноценный
Аноним 16/08/17 Срд 01:11:38 #77 №23293 DELETED
>>23290
Очевидно, что да. Следует из доказательства аксиомы выбора Гёделем в 30х.
Аноним 16/08/17 Срд 01:14:46 #78 №23294 DELETED
>>23291
Да. Генцен доказал это ещё в двадцатых.
Аноним 16/08/17 Срд 02:22:44 #79 №23295 
я ссаный гумус и мне нужно название и желательно хайрез фото учебника матана (матана ли?), который проходят в 1-2 семестрах на технических специальностях, CS, вся хуйня. по сюжету персонаж должен всё лето дрочить этот учебник. в сосничестве меня триггерил мордкович до пены изо рта, нужен примерно такой эффект. спасибо
Аноним 16/08/17 Срд 02:41:06 #80 №23296 
>>23295
1. Смотришь на оп-пик.
2. Выбираешь любую книжку.
3. Идёшь на libgen.io
4. Скачиваешь.
5. Делаешь скриншот.
Аноним 16/08/17 Срд 04:01:17 #81 №23298 DELETED
Пора ли начинать банить за загаживание треда постами навроде >>23293 этого?
Аноним 16/08/17 Срд 04:06:43 #82 №23299 DELETED
>>23298
Да.
Аноним 16/08/17 Срд 04:17:36 #83 №23300 
y''+a^2y=e^2x
y(2) = 6
При каких a эта система имеет единственное непродолжаемое решение?
Я так понимаю, это не задача Коши, т.к. нужно еще начальное условие на первую производную.
Вопросы следующие.
Работает ли здесь теорема о единственности разрешения любой задачи Коши, при некоторых условиях? Здесь вроде как все непрерывно, поэтому можно сказать, что решения всегда будут и их всегда будет бесконечное кол-во, т.к. можно поставить бесконечное кол-во задач Коши. Применимы ли здесь эти рассуждения?
Начнем решать в лоб.
Решение имеет вид С1
e^(2x), т.к. 2 - точно не решение ур-я b^2+(a^2)*b = 0
Подставляем, находим C1=1/(2+a^2), отсюда по начальному условию находим a. Но тогда это прямо противоречит моим рассуждениям о задаче Коши, т.к. только в этом случае есть хоть какое-то решение.
Помогите.
Аноним 16/08/17 Срд 09:24:48 #84 №23302 DELETED
>>23298
Да пофорсит и успокоится.
Аноним 16/08/17 Срд 10:02:54 #85 №23304 
>>23288
>|x| - это может быть одновременно нуль, положительное число и отрицательное число.
То как ты сформулировал - нет. Все числа либо положительные, либо отрицательные, либо 0.

В примерах задач все так

Аноним 16/08/17 Срд 10:53:49 #86 №23305 
>>23278
Нужно сделать параболический солнечный коллектор диаметром один метр с фокусом находящимся на расстоянии 9.7 метров от ближайшей к директрисе точки параболы
Аноним 16/08/17 Срд 11:06:11 #87 №23306 
>>23304
Спасибо.

А если модуль будет с минусом |-x|, например |-5|, то при задаче, отметьте на оси х модуль |-5| будет = 5, и отметиться от -5 до 0 и от 0 до 5? Или только слева от нуля, с минусом?
Аноним 16/08/17 Срд 11:53:03 #88 №23307 
>>23306
Модуль - это число. Когда говорят отметить модуль, подразумевают, отметить точку, соответствующую этому числу. Поэтому отмечай только точку 5. Если тебя просят отметить точки |x| < 5, тебе надо отметить все такие точки, что их модуль меньше 5. Это, конечно, интервал (-5, 5)
Аноним 16/08/17 Срд 13:52:04 #89 №23309 
>>23307
А модуль над кольцом?
Аноним 16/08/17 Срд 14:05:44 #90 №23310 
>>23300
Сделал пастбин для удобства чтения
https://pastebin.com/THrBrZP3
Аноним 16/08/17 Срд 15:13:08 #91 №23311 
Вечер в тред, матананы!
Решил угареть по физике, но понимаю, что без матемакики никуда.
Хотел у вас вопросить, какой минимум математики хочу повториь/заполнить пробелы нужен для общей физики понимаю, что я не первый, кто может интересоваться, но в жопе засвербило, прям пиздец. начальная школьная физика, вроде не так мудрена, но вот взглянув на старшие классы и дальше, увидев там обилие математики , немного приуныл от осознания, что чего-то не помню, чего-то не знаю ?
Желательно в литературе, чтобы было куда нырять с места в карьер.
Аноним 16/08/17 Срд 15:21:34 #92 №23312 DELETED
>>23311
Для начала учись доказывать аксиому выбора. Без этого сегодня в физике никак.
Аноним 16/08/17 Срд 15:26:59 #93 №23313 DELETED
>>23311
Для теории поля очень понадобится индукция. Для интереса можешь посмотреть трансфинитную индукцию
Аноним 16/08/17 Срд 15:29:47 #94 №23314 
>>23311
Зельдович, Яглом. "Высшая математика для начинающих физиков и техников". Название говорит само за себя. Зельдович - гениальный советский физик, Яглом тоже известный человек.
Аноним 16/08/17 Срд 15:30:17 #95 №23315 DELETED
>>23312
>>23313
Хватит. Пожалуйста.
Аноним 16/08/17 Срд 15:34:35 #96 №23316 DELETED
Почему моДер не чистит?
Аноним 16/08/17 Срд 15:35:06 #97 №23317 
>>23312
>>23313
Ценю, то что написано, но это рановато пока что.
Я спросил про мат. литературу, которая поможет мне понимании тех или иных вещей, по этому попросил список литературы, чтобы школьную программу старших классов и первых-вторых курсов вузов по математике.
Аноним 16/08/17 Срд 15:36:42 #98 №23318 
>>23314
Ох! не видел ранне, благодарю!
Аноним 16/08/17 Срд 15:39:12 #99 №23319 DELETED
>>23317
Я лично с этого начинал, тебе тоже могу посоветовать.
Kurt Gödel, 1931, On the Axiom of Choice and its various proofs. Vol. I.
Аноним 16/08/17 Срд 15:47:55 #100 №23320 DELETED
>>23314
>гениальный советский
Не бывает такого.
Аноним 16/08/17 Срд 15:57:55 #101 №23322 
Репетитор?
Аноним 16/08/17 Срд 16:40:39 #102 №23323 DELETED
>>23319
умри
Аноним 16/08/17 Срд 16:44:57 #103 №23324 DELETED
>>23323
Что?
Аноним 16/08/17 Срд 16:45:25 #104 №23325 DELETED
>>23323
+++
Аноним 16/08/17 Срд 17:15:34 #105 №23327 DELETED
>>23319
Зарепорчен, скрыт проклят и заставлен решать несобственные повторные интегралы по контуру.
Аноним 16/08/17 Срд 17:54:53 #106 №23328 DELETED
>>23320
Да ты ох как неправ!
Аноним 16/08/17 Срд 18:21:47 #107 №23329 
>>23296
спасибо
sage[mailto:sage] Аноним 16/08/17 Срд 19:30:46 #108 №23332 
>>23310
Анон, хелп, здесь же куча спецов по дифурам.
Аноним 16/08/17 Срд 19:57:16 #109 №23339 
>>23338
Чуть больше счетного числа, но еще не континуум
Аноним 16/08/17 Срд 20:51:31 #110 №23342 
Как учить математику?
Аноним 16/08/17 Срд 21:02:50 #111 №23343 
>>23342
Читаешь учебник, смотришь лекции, делаешь упражнения.
Аноним 16/08/17 Срд 22:07:57 #112 №23345 
>>23342
> Principles of Learning a Mathematical Discipline

> If you have not had the prerequisites in the last two years, retake a prerequisite. The belief that it will come back quickly has scuttled thousands of careers.

> Study every day – if you study less than three days a week, you are wasting your time completely.

> Break up your study: do problems, rest and let it sink in, do problems; work in a comfortable environment.

> Never miss lecture.

> Remember, even if you are able to survive by cramming for exams, the math you learn will only go into short term memory. Eventually, you will reach a level where you can no longer survive by cramming, and your study habits will kill you.
Аноним 16/08/17 Срд 22:09:57 #113 №23346 DELETED
>>23342
Сначала учишься доказывать вещи по индукции. Говорят это очень полезно, много всего можно доказать.
Аноним 16/08/17 Срд 22:14:06 #114 №23347 
>>23175 (OP)
Посоны, хочу задрочить матан прямо пиздец, но увы, мерзкая учительница в школе скатила меня из отличника в трочники, а ещё более мерзкая преподша в универе вообще убила нахуй желание и я отчислился из-за ебучего вышмата. Теперь я поумнел и хочу перепоступить, для этого надо учить эту мерзкую математику, поясните как вкатиться полному ньюфагу, застрявшему на уровне 7 класса
Аноним 16/08/17 Срд 22:14:46 #115 №23348 
>>23345
Можно по-русски пожалуйста
Аноним 16/08/17 Срд 22:18:27 #116 №23349 DELETED
Как доказать, что существует уникальное отображение φ : ℝ → ∅?
Существование я ещё хоть как-то представляю, но вот уникальность вообще никак.
Аноним 16/08/17 Срд 22:29:56 #117 №23350 
>>23347
Трахни сына этой учительницы
Аноним 16/08/17 Срд 22:32:34 #118 №23351 
>>23349
А что такое уникальное отображение, что-то такого понятия не встречал.
Аноним 16/08/17 Срд 22:33:35 #119 №23352 
>>23350
Модульный дед, ты ебанулся там?
Аноним 16/08/17 Срд 22:39:02 #120 №23354 
>>23352
Нет
https://2ch.hk/news/res/1288793.html
Аноним 16/08/17 Срд 23:37:08 #121 №23355 DELETED
Как доказать, что пустое множество существует?
Аноним 16/08/17 Срд 23:46:44 #122 №23356 
>>23355
Удали все элементы из непустого
Аноним 16/08/17 Срд 23:50:27 #123 №23357 
>>23356
Это неконструктивно
Аноним 16/08/17 Срд 23:52:28 #124 №23358 
>>23357
Удали из конечного
Аноним 16/08/17 Срд 23:54:46 #125 №23359 
>>23358
Все равно аксиому выбора придется использовать
Аноним 16/08/17 Срд 23:57:48 #126 №23360 DELETED
>>23356
>>23359
В моей аксиоматике можно спокойно доказать, что аксиома выбора неверна.
Аноним 16/08/17 Срд 23:58:46 #127 №23361 
>>23360
Запости её сюда
https://2ch.hk/math/res/21605.html
Аноним 16/08/17 Срд 23:59:01 #128 №23362 
>>23360
Доказано, что такой непротиворечивой аксиоматики нет. Ищи ошибку
Аноним 17/08/17 Чтв 00:05:29 #129 №23363 DELETED
>>23361
Для чего?
>>23362
Доказано, что аксиома выбора независима от уёбищной ZF. Про мою систему Гёдель и Коэн ничего не доказывали.
Если исключённое третье не верно, то из этого легко следует, что и аксиома выбора неверна.
Аноним 17/08/17 Чтв 02:38:16 #130 №23364 DELETED
Как построить элемент пустого множества?
Аноним 17/08/17 Чтв 08:29:20 #131 №23365 
Такое чувство что доска находится под мощнейшим тролингом девятикласника, который пытается тролировать аксиоматикой.
Аноним 17/08/17 Чтв 08:30:33 #132 №23366 
сетка Багуа - копия - копия (2).jpg
Не могу найти формулу н челна последовательности для шестого задания и ответы с 11 по 22 не сходятся с ответами учебника.
Поясните что и почему.
Аноним 17/08/17 Чтв 09:13:29 #133 №23367 
>>23291
Там и без индукции все просто. Вынести n за скобки, расписать разность квадратов. Получится (n-1)n(n+1). Из трех последовательно идущих натуральных чисел хоть одно делится на 3.
Аноним 17/08/17 Чтв 09:32:53 #134 №23368 
>>23366
В шестом каждое число = 1 + 2 + 3 + 4...

В 21 сходится к нулю, в 22 расходится к бесконечности. Возьми лучше задачник с решениями, русофоб.
Аноним 17/08/17 Чтв 09:37:21 #135 №23369 
прогрессия.png
>>23366
В шестом арифметическая прогрессия второго порядка. Смотри пикрел, составляй систему уравнений и находи коэффициенты
Аноним 17/08/17 Чтв 10:42:32 #136 №23370 
>>23366
>>23367
>>23368
>>23369
Модульный дед, тебя не заебало с самим собой пиздеть?
Аноним 17/08/17 Чтв 11:26:19 #137 №23372 
Скажите, каким уравнением описывается круг? Не окружность, а именно круг, т.е. каждая точка внутри окружности?
Аноним 17/08/17 Чтв 11:34:53 #138 №23373 
>>23372
x^2+y^2<r^2
Аноним 17/08/17 Чтв 11:52:55 #139 №23374 
>>23366
>Не могу найти формулу н челна последовательности для шестого задания
a(n)=n+Sum(n-1), где Sum(n-1) - сумма первых (n-1) чисел ( как ты помнишь Sum(n)=(n x (n+1))/2 )

Кажись так.
Аноним 17/08/17 Чтв 12:22:53 #140 №23375 
>>23370
> дед
Кстати, почему?
Аноним 17/08/17 Чтв 13:22:50 #141 №23376 
>>23368
>>23369
>>23374
Хорошо.
9 сходится на бесконечность
10 к одному
11 к минус бесонечности
12 на минус плюс бесконечность и предела не имеет
13 к нулю
14 к бесконечности
15 к бесконесности
16 к бесконечности
17 к бесконечности
18 к одному
19 к одному
20 к 3/2
21 к нулю
22 к бесконечности

Все правильно?
Аноним 17/08/17 Чтв 13:28:29 #142 №23377 
>>23376
>11 к минус бесонечности
к 1

sage[mailto:sage] Аноним 17/08/17 Чтв 13:31:40 #143 №23378 
>>23372
>каким уравнением описывается круг
неравнество. Уравнением, мне кажется, описать не получится.
Аноним 17/08/17 Чтв 13:46:43 #144 №23379 
>>23376
>11 к минус бесконечности
С чего ты взял? К 1 же.
Аноним 17/08/17 Чтв 13:49:05 #145 №23380 
>>23372
https://math.stackexchange.com/questions/29578/is-there-a-way-to-represent-the-interior-of-a-circle-with-a-curve

>>23376
Бля, ты наугад ебошишь? Это надо доказывать по определению. У тебя несколько неверных ответов. Если ты просто выписываешь первые несколько членов и пытаешься угадать, ты что-то делаешь не так
Аноним 17/08/17 Чтв 13:51:35 #146 №23381 
>>23377
>>23379
Как так?
Делим все члены на n, получаем 1-n/1-(~0)
Аноним 17/08/17 Чтв 13:55:06 #147 №23382 
>>23381
Сначала нужно преобразовать к виду

x 1 lim (1) 1
lim ---- = lim ------------ = --------------------- = ----- = 1
x+1 1+( 1/x) lim (1) + lim (1/x) 1+0
Аноним 17/08/17 Чтв 13:57:39 #148 №23383 
Какие американские школьные учебники по математике являются самыми лучшими сегодня?
Аноним 17/08/17 Чтв 14:08:36 #149 №23384 
1.gif
>>23382
Вот скотина, всё съехало. Короче, вот пик.
Аноним 17/08/17 Чтв 14:14:05 #150 №23385 
>>23384
в знаменателе первая 1 идёт, а не x , сорри за ошибку.
Аноним 17/08/17 Чтв 14:37:23 #151 №23386 
>>23385
И да
>>23376
>18 к одному
Почему? Там же к 1/2 .
Аноним 17/08/17 Чтв 14:48:13 #152 №23387 
>>23386
Это как так преобразовать надо? Я тупо в квадрат все возвел.
Аноним 17/08/17 Чтв 15:00:08 #153 №23388 
>>23387
Да, нужно умножить на (sqrt(x2+x) + x)/(sqrt(x2+x) + x), тут sqrt - квадратный корень из (x^2-x).
Аноним 17/08/17 Чтв 18:09:37 #154 №23390 
>>23388
А если тупо в лоб посчитать тоже около 0.5 получится...
Аноним 17/08/17 Чтв 18:12:13 #155 №23391 
>>23390
Да, для больших чисел получается около 0.5.
Магия блядь
Аноним 17/08/17 Чтв 18:29:45 #156 №23392 
>>23391
Если ты еще не понял, насколько велики твои проблемы, в №19 должно быть = 1/е, где е - это https://ru.wikipedia.org/wiki/E_(%D1%87%D0%B8%D1%81%D0%BB%D0%BE)
Аноним 17/08/17 Чтв 18:39:03 #157 №23393 
Снимок.PNG
Помогите умственно отсталому с дискретной математикой. Чисто абстрактно не могу понять, что такое класс эквивалентности.
Вот есть у меня множество А, пусть там будут "петухи". Я задаю на него эквивалентное отношение по такому-то предикату (допустим, "петух x зашкварил петуха y") - пусть это будет множество упорядоченных пар xRy.
Отношение xRy эквивалентное по определению - оно:
1) Рефлексивно (петух x шкварит сам себя тем, что прикасается к себе)
2) Симметрично (верно и обратное -- петух y также шкварит петуха x, когда они друг-друга трогают)
3) Транзитивно (x трогал y, а y трогал z: получается, x зашкварил петуха z своими хуиными молекулами через петуха y)
Известно, что отношение эквивалентности на множестве А задаёт на нём разбиение. Я не понимаю, как оно так получается. Что имеем: множество "петухи" A и его эквивалентное отношение "шкварные петухи" извините за тавтологию. Вопрос:
1) Класс эквивалентности является чем? Отдельным подмножеством xRy? Что это за z на ОП-пике, зачем он? Разбиение zRx соответствует разбиению xRy из моего примера? Классы эквивалентности являются блоками разбиения? Реально просто не понимаю, что такое Е(x) даже с формальной точки зрения.
Аноним 17/08/17 Чтв 18:43:17 #158 №23394 DELETED
>>23393
Это зависит от твоих конкретных аксиом, более конкретно это зависит от верности или неверности аксиомы выбора.
Аноним 17/08/17 Чтв 18:43:49 #159 №23395 DELETED
>>23394
За що...
Аноним 17/08/17 Чтв 18:46:50 #160 №23396 DELETED
>>23395
Что, прости? Не понимаю твоего поста.
Аноним 17/08/17 Чтв 18:47:48 #161 №23397 DELETED
>>23396
Лучше бы помог мне. Какие-то аксиомы выбора говоришь, сразу видно, умный человек
Аноним 17/08/17 Чтв 18:48:50 #162 №23399 DELETED
>>23397
Я и пытаюсь тебе помочь, ответ на твой вопрос зависит от статуса аксиомы выбора в твоей системе.
Аноним 17/08/17 Чтв 18:56:38 #163 №23400 DELETED
>>23394
Тут же очевидно, что у него аксиома выбора неверна. Без этого невозможно определить классы эквивалентности.
Аноним 17/08/17 Чтв 19:00:31 #164 №23401 DELETED
>>23393
>Класс эквивалентности является чем? Отдельным подмножеством xRy?
Это независимо от любой непротиворечивой теории множеств.
Можешь добавить аксиому, что он является отдельным подмножеством xRy.
Аноним 17/08/17 Чтв 19:01:02 #165 №23402 DELETED
>>23399
Доказал с помощью трансиндукции. Что дальше, как решать?
Аноним 17/08/17 Чтв 19:01:50 #166 №23403 DELETED
>>23402
Что конкретно ты доказал?
Аноним 17/08/17 Чтв 19:02:58 #167 №23404 DELETED
Известно, что аксиома выбора и её отрицание ведут к противоречию. Почему же её до сих пор кто-то использует?
Аноним 17/08/17 Чтв 19:09:39 #168 №23405 DELETED
Как доказать, что в любой категории имеется начальный или терминальный объект?
Аноним 17/08/17 Чтв 19:15:30 #169 №23406 DELETED
>>23405
Это неверно. Контрпример - категория с одним объектом и двумя стрелками.

Где этот чертов модератор.
Аноним 17/08/17 Чтв 19:26:26 #170 №23407 
>>23393
Классы эквивалентности петухов - это такие подмножества твоего курятника, среди которых все петухи перешкварили друг друга. Ты подобрал неудачный пример про "петух х зашкварил петуха у". Давай так "петух х одинаково зашкварен как и петух у". То есть если xRy, они либо оба зашкварены, либо оба нет. Теперь внимательно проверь определение эквивалентности. Если a и b одинаково зашкварены, и b и с одинаково зашкварены, то a и c одинаково зашкварены. Так же с симметричностью и транзитивностью. Теперь в твоем курятнике есть два подмножества. Одно состоит из зашкваренных петухов, другое из незашкваренных. Это и есть классы эквивалентности
Аноним 17/08/17 Чтв 19:26:53 #171 №23408 
>>23393
p.s. надо отдельно доказать, что ты вообще можешь выбирать какого-то петуха из множества
Аноним 17/08/17 Чтв 19:30:42 #172 №23409 DELETED
>>23406
Почему неверно то?
Аноним 17/08/17 Чтв 19:32:45 #173 №23410 DELETED
>>23408
Этот вроде прав.
Аноним 17/08/17 Чтв 19:34:32 #174 №23412 DELETED
Как доказать, что в любом топосе существует нулевой объект?
Аноним 17/08/17 Чтв 19:35:06 #175 №23413 DELETED
>>23412
Теория категорий - это не математика.
Аноним 17/08/17 Чтв 19:35:43 #176 №23414 DELETED
>>23413
Это на самом деле является плюсом.
Аноним 17/08/17 Чтв 19:39:10 #177 №23415 DELETED
Какой самый эффективный способ сконструировать бесконечное количество элементов пустого множества?
Аноним 17/08/17 Чтв 19:43:24 #178 №23416 DELETED
>>23415
Взять защечное пространство и рассмотреть в нем объект залупа.
Аноним 17/08/17 Чтв 19:44:23 #179 №23417 DELETED
Как можно показать что существует инъекция из множества вещественных чисел в множество целых чисел? И можно ли это вообще показать?
Аноним 17/08/17 Чтв 19:45:02 #180 №23418 DELETED
>>23416
Что за "объект залупа"? Объект пространства петель?
Аноним 17/08/17 Чтв 19:46:34 #181 №23419 DELETED
Как доказать, что пустого множества не существует?
Аноним 17/08/17 Чтв 19:48:51 #182 №23420 DELETED
Можно ли доказать в ZFC, что существуют непустые множества такие, что их декартово произведение пустое?
Аноним 17/08/17 Чтв 20:55:07 #183 №23421 DELETED
>>23417
Они не изоморфны
Аноним 17/08/17 Чтв 20:56:30 #184 №23422 DELETED
>>23421
И?
Аноним 17/08/17 Чтв 21:09:46 #185 №23423 DELETED
>>23417
Можно, но это самосбывающееся пророчество
Аноним 17/08/17 Чтв 21:19:52 #186 №23425 DELETED
>>23423
Почему?
Аноним 17/08/17 Чтв 21:49:25 #187 №23427 DELETED
Можно ли доказать аксиому выбора финитарными методами?
Аноним 17/08/17 Чтв 22:06:37 #188 №23428 DELETED
>>23427
Можно, но там через жопу
Аноним 17/08/17 Чтв 22:17:38 #189 №23429 DELETED
>>23418
Да.
Аноним 17/08/17 Чтв 22:19:49 #190 №23430 DELETED
Блять, что за буйство семенов итт?
"Можно ли посрать не снимая свитера?
Можно, но там все через жопу."

"Как доказать что тян не умеют срать?
Они не изоморфны"

Ну что за хуйня?
Аноним 17/08/17 Чтв 22:29:34 #191 №23434 DELETED
>>23177
Опровергнул тебе за щеку, проффесор. АХаххах
Аноним 17/08/17 Чтв 23:56:38 #192 №23437 
Поясните за пустое множество в нивной теории множеств. На лекции сказали, что если к множеству добавить пустое множество, то он не изменится. Но ведь в множестве окажется на 1 элемент больше. Ну и что, что этр пустое множество. Или ещё говорили, что если множество состоит только из пустых множеств, то оно пустое и не важно сколько в нём пустых множеств. И при этом на википедии есть такой пример Ø ≠ {Ø}. Почему множество, которое содержит пустое множество не редуцируется до пустого множества как это бы происходило с множеством из одного элемента из которого бы изъяли этот элемент?
Аноним 17/08/17 Чтв 23:57:36 #193 №23438 DELETED
>>23437
Ну это зависит от многих вещей. Если у тебя есть некая функция выбора, то тут всё очевидно.
Аноним 18/08/17 Птн 00:03:47 #194 №23439 DELETED
>>23438
Про функцию выбора что-то говорили, но я не понимаю, что это значит.
Аноним 18/08/17 Птн 00:09:03 #195 №23440 DELETED
>>23439
Попробуй сам доказать, что такая "функция выбора" существует всегда. Довольно несложно, но зато очень хорошее упражнение.
Аноним 18/08/17 Птн 00:11:07 #196 №23441 DELETED
>>23440
Я букв таких не знаю. Что такое функция выбора?
Аноним 18/08/17 Птн 00:13:52 #197 №23442 DELETED
>>23441
Её существование следует из теоремы выбора.
Аноним 18/08/17 Птн 00:17:03 #198 №23443 DELETED
>>23442
Что такое теорема выбора? листал призентацию и кажется нашёл определение функции, но не понял его. Объясни
Аноним 18/08/17 Птн 00:18:58 #199 №23444 DELETED
>>23443
Теорема выбора (точнее выражение эквивалентное ей) говорит, что декартово произведение любых непустых множеств тоже непустое.
Попробуй доказать это. На твоём первом слайде уже имеется неплохая подсказка насчёт того, как это делать.
Аноним 18/08/17 Птн 00:20:36 #200 №23445 DELETED
Подскажите как доказывать что существует нетривиальный гамаморфизм φ : G → H, где G и H произвольные группы.
Аноним 18/08/17 Птн 00:25:33 #201 №23446 DELETED
>>23444
Погуглил, что такое декартово произведение множеств. Это вроде очевидно. Если в каждом множемтве есть хоть 1 элемент, то и ы произведении будет минимум 1 элемент. Не знаю как математично доказатб и что с этим делать что понять что такое функция выбора и пустое множество.
Аноним 18/08/17 Птн 00:46:08 #202 №23447 
>>23223
гугли ряд тейлора, ну берем мы производную считаем, тут нужно уметь это делать, и подставляем в формулу ряда
Аноним 18/08/17 Птн 01:03:15 #203 №23448 DELETED
Как доказать, что любые две группы изоморфны?
Аноним 18/08/17 Птн 01:09:42 #204 №23449 DELETED
Как доказать существование гамалогии?
Аноним 18/08/17 Птн 01:19:22 #205 №23450 DELETED
Как доказать, что я еблан?
Аноним 18/08/17 Птн 02:59:40 #206 №23454 DELETED
А вообще можно ли доказать, что любая абелева группа тривиальна?
Аноним 18/08/17 Птн 03:05:37 #207 №23455 DELETED
>>23454
Подскажите плиз.
Аноним 18/08/17 Птн 06:15:47 #208 №23456 
>>23437
Ты неправильно понял лектора. Речь о том, что M∪Ø = M для любого M.

>множество, которое содержит пустое множество не редуцируется до пустого множества
Мешок, в котором лежит синий мешок, - не то же самое, что синий мешок.
Аноним 18/08/17 Птн 09:20:21 #209 №23457 
>>23456
Он говорил, что не важно сколько пустых множеств в множестве. Он говорил, что сколько бы пустых множеств мы не добавляли в пустое мнодество оно всё равно будет равно пустому. То есть множество в котором 2 пустых множество равно пустому множеству, но почему-то множество в котором 1 пустое множество не равно пустому.
Аноним 18/08/17 Птн 09:26:09 #210 №23458 
>>23437
Это небольшая тонкость, которая возникает при переходе к нормальной теории множеств. Сначала забудь, что ты знал из школы. Теперь пойми, что для объектов/множеств определены два значка:
∈ - Принадлежит
⊂ - Включается
Это две разные вещи (а именно бинарные отношения). Теперь введем краткую запись:
а, б, с ∈ N <=> N = {a, б, с} (если в N больше нет элементов)
{а, б, с} ⊂ N <=> N = {а, б, с} (если в N больше нет элементов.
Видишь, во втором случае мы имели дело с множеством, а в первом с несколькими элементами. Если во втором случае использовать знак принадлежности, получим:
{а, б, с} ∈ N <=> N = {{а, б, с}}

Если непонятно, перечитай еще раз, внимательно обратив внимание на наличие скобочек. Если все равно не понял, открывай любой учебник по теории множеств или порешай задачи из твоего учебника. Там часто бывает введение про множества
Аноним 18/08/17 Птн 09:30:39 #211 №23459 
>>23458
А если а б или с равно пустому множеству, то это считается за элемент?
Аноним 18/08/17 Птн 09:44:35 #212 №23460 
>>23459
Пусть M, N - пустые. То есть M = N = Ø
Теперь добавляем:
Ø ∈ M => M = {Ø}
M ∈ N => N = {{Ø}}

Пусть A = B = Ø - пустые
Теперь добавляем:
Ø ⊂ A => A = Ø
A ⊂ B => B = Ø

За элемент можно считать, что угодно
Вряд ли тебе стоит париться над этим.
Аноним 18/08/17 Птн 09:52:37 #213 №23463 
http://schizomatrix.tk
Вот попробуйте найти в этой шизоматрице по дню рождения успешного математика, которому так не высвечивается успех.
Аноним 18/08/17 Птн 09:59:04 #214 №23464 
>>23460
Это ты про наивную теорю множеств пояснил?
Аноним 18/08/17 Птн 10:07:55 #215 №23465 
>>23459
Любое множество равно пустому множеству.
Аноним 18/08/17 Птн 10:12:13 #216 №23466 
>>23464
Это верно и для наивной, и для не наивной. Просто в ненаивной об этом справедливо не запариваются
Аноним 18/08/17 Птн 10:41:33 #217 №23467 
>>23466
Спасибо.
Аноним 18/08/17 Птн 12:21:57 #218 №23468 
>>23457
Пустое множество -- такая же логическая абстракция, как и число, и справедливо может считаться элементом множества, поскольку множество это совокупность абстракций, мыслимая как некая единая абстракция per se. Тебе лекцию читал дурачок просто.
Мимофеласаф
Аноним 18/08/17 Птн 12:31:38 #219 №23469 
>>23468
Дополню это наблюдение примером.
Допустим, есть множество A = {∅}. |A| = 0.
Но, есть множество B = { {∅} }. |B| = 1.
Это так, потому что в множество А входит пустое множество, но множество Б включает в себя другое множество. Для нас не имеет значения, - B мог бы быть { {1, 2, 3} }, например, и его мощность так же равнялась бы единице, потому что подмножество {1, 2, 3} является элементом множества Б, а мы интерпретируем подмножество как элемент множества вне зависимости от того, что это подмножество включает в себя внутри, даже пустое множество.
Аноним 18/08/17 Птн 12:34:12 #220 №23470 
Мощность A = {∅, ∅, ∅} была бы равна 0, потому что это тавтология с логической точки зрения, но A = { {∅}, {∅}, {∅} } уже равна трём. Как-то так, короче.
Аноним 18/08/17 Птн 12:53:29 #221 №23471 
>>23469
Тогда в чём разница {∅} и ∅ если у обоих размер 0?
Аноним 18/08/17 Птн 12:55:58 #222 №23472 
>>23471
Безотносительно надмножества - ни в чём.
Аноним 18/08/17 Птн 13:12:34 #223 №23473 
>>23472
А попроще. Ведь они не равны.
Аноним 18/08/17 Птн 13:16:13 #224 №23474 
>>23460
> Ø ⊂ A => A = Ø
Братан, ну за такие предъявы у нас во дворе бьют лопатой по ебалу.
Аноним 18/08/17 Птн 13:20:58 #225 №23475 
>>23469
> Допустим, есть множество A = {∅}. |A| = 0.
> Но, есть множество B = { {∅} }. |B| = 1.
> Это так, потому что в множество А входит пустое множество, но множество Б включает в себя другое множество.

По твоему же первому утверждению видно, что А - пустое, ты сам это сказал. То есть множество, включающее в себя пустое множество, пусто. Следовательно, твое В включает лишь пустое множество, как ты сам написал, а значит пусто. Двойку тебе по логике, школьный недофилософ.

Алсо, беги скорей в /пх, пока тебя тут не забанили.
Аноним 18/08/17 Птн 13:38:24 #226 №23476 
>>23475
>Следовательно, твое В включает лишь пустое множество, как ты сам написал, а значит пусто
То, что это множество пусто, не значит, что включающее его множество тоже пусто, понимаш.
Когда мы берём множество P само по себе, оно пусто. Когда мы берём его как элемент другого множества, то то другое множество Q имеет один элемент -- пустое множество P.
Аноним 18/08/17 Птн 13:41:56 #227 №23477 
>>23475
Как бы оно внутри себя не имеет элементов, но при этом само является элементом для другого множества.
Аноним 18/08/17 Птн 14:01:15 #228 №23478 
>>23476
>>23477
> Допустим, есть множество A = {∅}. |A| = 0.
Перечитывай, пока не поймешь. Не лезь рассуждать о том, в чем не шаришь. Пришел задавать вопросы - задавай.
Аноним 18/08/17 Птн 14:03:20 #229 №23479 
>>23478
>Не лезь рассуждать о том, в чем не шаришь.
Хороший совет.
Аноним 18/08/17 Птн 14:25:11 #230 №23480 
>>23478
>Пришел задавать вопросы - задавай.
Почему формула пифагора, а также формула вычисления расстояния между двумя точками, остается справедливой в простраснтвах с любой размерностью?
Аноним 18/08/17 Птн 14:28:51 #231 №23481 
>>23457
Потому что пустое множесто по сути это понятие отсутствия чего либо. Отсутствие отсутствия не дает наличия, смекаешь.
Аноним 18/08/17 Птн 14:31:05 #232 №23482 
>>23470
Ты дебил что ли?
Мы добавляем к рандомному набору пустоту. Нихуя не изменилось.
А если добавить к рандомному набору три набора пустоты то изменится очень многое.
Аноним 18/08/17 Птн 14:31:44 #233 №23483 
>>23480
В математике - по определению. Мы буквально так определяем евклидово пространство, что в нем есть вот такая формула расстояния.

Почему наш физический мир очень похож на евклидовое пространство - вопрос к физике, я хз

>>23474
Здесь, конечно, слишком вольное следствие. Это все я написал с учетом строк выше, про то, что в А больше нет элементов
Аноним 18/08/17 Птн 14:33:05 #234 №23484 
>>23483
Ну все-таки не физический мир похож на евклидово пространство, а the other way around.
Аноним 18/08/17 Птн 14:33:45 #235 №23485 
>>23483
Значит то в чем нарушается формула вывода расстояний уже не эувклидовое пространство?

И разве эвклид не вывел свое личное пространство рисуя палочки на песке в реальном мире?
Аноним 18/08/17 Птн 14:37:34 #236 №23487 
Еще вопрос, почему мы уверенны что функция куба весте растущая?
Может на каком то числе где то в районе плюс бесконечности она к хуям уходит на минус бесконечность.
Аноним 18/08/17 Птн 14:38:26 #237 №23488 
>>23485
Математики генерализировали-генерализировали, генерализировали-генерализировали, да не догенерализировали.

С палочками на песке одна формула, с шариками в пространстве - чуть другая, но похожая. Хм, а что если нам вывести общую формулу для пространств любой размерности, которая бы сохраняла привычные нам свойства уже известнвх нам формул, а сами эти уже известные формулы являлись бы ее частными случаями? Хм!
Аноним 18/08/17 Птн 14:39:00 #238 №23489 
>>23487
Потому что индукция.
Аноним 18/08/17 Птн 14:44:00 #239 №23490 
>>23488
Но почему именно квадрат? Почему не куб в трех измерениях, охуллионная степень в бесконечномерном варианте?

>>23489
> индукция
Работает только на конечном числе случаев и на их основании делает выводы.
Аноним 18/08/17 Птн 14:45:34 #240 №23491 
>>23489
Вчаснасти, где доказательтво того что доказательство остается верным для при переходе от n к n+1?
Аноним 18/08/17 Птн 14:58:22 #241 №23495 
>>23490
> индукция
>Работает только на конечном числе случаев и на >их основании делает выводы.
На самом деле работает на счетном числе случаев, а на несчетном есть трансфинитная индукция
Аноним 18/08/17 Птн 15:00:26 #242 №23496 
>>23487
Ты спрашиваешь формальное доказательство монотонности функции х3? Если вкратце, оно основывается на определении возведения чисел в степень. В нормальных учебниках матана расписано подробно
Аноним 18/08/17 Птн 16:52:28 #243 №23499 
>>23490
Потому что оно основано на свойствах реального мира, а он работает именно так, написали ведь уже. Можно определить другую дистанцию, без квадратов, если хочется.

Или: потому что расстояние нам нужно неотрицательное, и чтобы от перестановки точек местами расстояние не менялось. Посиди и попридумывай такие функции расстояния, которые отвечали бы этому критерию.

>>23491
Ну давай ты уже возьмешь учебник матана за 10 класс и почитаешь, что такое доказательство по индукции, мммкей?
Аноним 18/08/17 Птн 20:50:47 #244 №23501 
Посоветуйте школьнику мне литературу, чтобы начать нормально разбираться в математике. Чтоб правила/формулы описывали, ну и какой-нибудь сборник задач хороший.
sage[mailto:sage] Аноним 18/08/17 Птн 21:23:51 #245 №23502 
>>23501
Вам в школе выдали все что нужно.
Аноним 18/08/17 Птн 21:54:27 #246 №23503 
>>23502
Но мне хотелось бы изучить что-нибудь более прикладное, чем школьную херню. Тут выше писали про доказательство аксиому выбора, есть что почитать?
sage[mailto:sage] Аноним 18/08/17 Птн 22:05:39 #247 №23505 
Модер вообще собирается чистить? Этот >>23503 пидор уже все засрал.
Аноним 19/08/17 Суб 03:14:09 #248 №23510 
>>23505
Возможно, это разные пидоры?
Аноним 19/08/17 Суб 04:38:53 #249 №23511 
Как вообще доказывать существование гамалогии?
Аноним 19/08/17 Суб 07:09:00 #250 №23512 
>>23501
http://pastebin.com/raw/wS08Rd8Y
Выбирай любые книги.
Аноним 19/08/17 Суб 10:30:05 #251 №23514 
>>23510
>>23503
Семен плес
Аноним 19/08/17 Суб 13:08:52 #252 №23517 
Screenshot2017-08-19-15-07-32~01.png
>>23514
Аноним 19/08/17 Суб 14:47:39 #253 №23526 
Screenshot2017-08-19-14-39-50.jpg
Дали определение лимита последователтности, что это такое а, где для любого эпсилон верно что внутри интервала а плюс эпсил и а минус эпсил бесконечное количество точек, а за интервалом конечное. Ещё выражение похожее на то, что на пике нарисавали. Потом говорили про монотоные последователтности и супремумы. В конце сказали про фундаментальные последователтности и что-то про коши. Дали список книг, но не в одной из них я не нашёл такого. Поясните из какого раздела математики это было и что почетать чтобы понять то что пытались объяснить?
Аноним 19/08/17 Суб 15:02:10 #254 №23527 
>>23526
Абсолютно любое начало матана. Обсуждение учебников матана в соседнем тренде, но мой простой вариант для знакомства - Ильин
Аноним 20/08/17 Вск 13:39:26 #255 №23630 
>>23526
Ну, блядь, а - предел последовательности х, если любой интервал, содержащий а, содержит почти все х.
Почти все = все, кроме конечного числа
Фундаментальная последовательность(последовательность Коши), это последовательность рациональных чисел, для которой для любого e>0 найдется отрезок длины e, содержащий почти все члены последовательности.
Читай Шварца, чтобы не быть баттхертом.
Аноним 20/08/17 Вск 14:08:59 #256 №23631 
Ну вы баттхерты, развели здесь.
>>23470
Кароче нахуй, смотри. Множество это чёта типа коробки, которой мы можем задать только 1 вопрос -Лежит ли в тебе %хуйня_нейм%? По научнаму это звучит как -Множество задано, если про любой элемент можно сказать, лежит ли он в множестве или нет. От сюда 1 важное следствие, которое часто умалчивается, и где ты сделал ошибку. Т.к. коробка отвечает только есть/нет, то мы не берем во внимание количества чего-то. Например {1,1,1}={1}.
Допустим ты нашел коробку, и она на все твои вопросы ответила, что не содержит %хуйня_нейм%. То есть коробка пуста. То такое множество называется пустым. Если эту коробку положить в другую коробку, назовём её F, то на вопрос, содержит ли F пустое множество F ответит "Ага". Поэтому F не пусто.
Не нужно думать про пустоту и прочую хуергу.
Добавлю про подмножества, где-то несколько месяцев назад 1типочек тут не понимал.
1) Пустое множество является подмножеством любого множества.
Чтобы это понять нужно на определение подмножества посмотреть с другой стороны. Его можно переформулировать вот так: А является подмножеством В, если в А нет элемента, который не принадлежал бы В. Из этого определения легко понятно, что пустое множество это подмножество любого множества, потому что в нем нет элемента, который не принадлежал бы любому множеству.
Надеюсь всё ясно. Я пошёл варить кукурузу.
Аноним 20/08/17 Вск 14:34:15 #257 №23632 
>>23470
Одно из свойств множества в том, что все эл-ты разные.
Аноним 20/08/17 Вск 15:12:34 #258 №23633 
Сварил кукурузку. Вкусная очень.
>>23393
>Класс эквивалентности является чем? Отдельным подмножеством xRy?
Нет. Класс эквивалентности множества А есть подмножество этого множества. z - просто рандомный элемент из А. Запись означает - класс эквивалентности х это множество E таких z из А, что zRx.
Аноним 20/08/17 Вск 18:55:35 #259 №23635 
>>23631
>если про любой элемент можно сказать, лежит ли он в множестве или нет
Рассмотрим множество цифр, встречающихся в десятичной записи числа пи таким образом, что им точно предшествует подстрока 7776644123. Невозможно сказать, принадлежит ли цифра 4 этому множеству. Но множество, тем не менее, задано.
Аноним 21/08/17 Пнд 02:57:10 #260 №23640 
атака курины зомби.png
Короче, Специальная Относительности.

1) Чел стоит на месте, мимо пролетает свет со скоростью света.

2) Чел быстро движется в космическом корабле, мимо в том же направлении пролетает свет со скоростью света (а не меньше, как ожидалось).

3) Чел стоит на месте и смотрит вперёд, берёт фонарик и светит себе за спину. Мимо, со спины прилетает свет (параллельно лучу из фонарика). Через мгновение чел провожает его взглядом.

Скорость света относительно луча из фонарика равна скорости света.
Но луч из фонарика сам движется со скоростью света в противоположном направлении.
А оносительная скорость (друг относительно друга) равна скорости света, а не двум скоростям света, как должно было бы быть.

Но как это возможно? Да проще простого:
одна из скоростей света равна нулю.
И когда один свет пролетает мимо другого, то один из них всегда встаёт, либо скорость их обоих падает в два раза.

Ткань пространства-времени порвалась.
Вселенную распидорасило.
Конец.
Аноним 21/08/17 Пнд 07:40:57 #261 №23645 
>>23635
>Невозможно сказать, принадлежит ли цифра 4 этому множеству
Возможно. Принадлежит.
Аноним 21/08/17 Пнд 10:41:18 #262 №23647 
>>23175 (OP)
Сап, не понимаю суть лагорифмов, и вообще почему они обязательно должны быть положительными ?
Аноним 21/08/17 Пнд 12:46:43 #263 №23650 
Непер.jpg
>>23647
>почему они обязательно должны быть положительными
ЯСКОЗАЛ, РЯЯЯЯ!!!!!!
Аноним 21/08/17 Пнд 12:48:41 #264 №23651 
>>23650
Ну не трали.
sage[mailto:sage] Аноним 21/08/17 Пнд 13:55:14 #265 №23652 
nauchit-sobaku-skreshchivat-lapy.jpg
>>23647
>почему они обязательно должны быть положительными
>лагорифм
Мы с тобой об одних логарифмах думаем?
Аноним 21/08/17 Пнд 13:56:45 #266 №23653 DELETED
Сап, не понимаю суть гамалогий, и вообще почему они обязательно должны быть тривиальными ?
Horen 21/08/17 Пнд 15:47:19 #267 №23687 DELETED
Вопрос к знающим, тут такие были.
Хочу переметнуться в HoTT. Мои знания математики: шире, чем у тебя.
Но я вдруг понял, что за HoTT будущее. С чего начать? Должен ли быть бэкграунд в cs? Какой-нибудь haskell или agda знать обязательно? А coq?
Моя цель в конечном счете - доказательство недоказанного из раздела многообразий Фано.
Horen 21/08/17 Пнд 15:58:55 #268 №23688 DELETED
>>23647
Логарифм это индекс по модулю некоторой небесконечной группы кольца вычетаний, при этом все члены к-го, кроме задаваемой степени, входят в небесконечную абелеву мультипликативную группу.
Аноним 21/08/17 Пнд 16:01:43 #269 №23689 DELETED
>>23687
>Должен ли быть бэкграунд в cs? Какой-нибудь haskell или agda знать обязательно? А coq?

Нет, но если хочешь узнать, как связаны теория типов и языки программирования, то есть серия книг от Benjamin C. Pierce.
>С чего начать?
С книги HoTT или Мартина Лёфа.
Аноним 21/08/17 Пнд 16:14:55 #270 №23690 
А правда, что если граф связный и ацикличный (т.е. "дерево"), то он обязательно антитранзитивный?
А ещё: получается, для связного неориентального графа остовое дерево можно представить таким образом: граф представляется как G=(N, E), где N - множество вершин, а E - множество рёбер. При этом E можно представить как отношение на N. Если из этого отношения убрать все транзитивные хуйни, получится отношение, которое является остовым деревом для G.
Я почему это говорю-то всё: когда мы хотим дополнить отношение до транзитивности, мы так и говорим. А когда мы хотим убрать все xRz, принадлежащие R, при наличии в R пар xRy и yRz -- это как называется? Дополнить до антитранзитивности?
Аноним 21/08/17 Пнд 16:24:07 #271 №23691 DELETED
>>23687
>Какой-нибудь haskell или agda знать обязательно? А coq?
Haskell противоречивое дерьмо, особого смысла нет изучать. Агду или coq по пути выучишь.
Аноним 21/08/17 Пнд 16:55:28 #272 №23692 
Нужна везде возрастающая функция имеющая асимптотой число 80 на бесконечности.
Как такую функцию с помощью показательной сделать?
Аноним 21/08/17 Пнд 17:13:39 #273 №23694 
Вот почитал когда-то эссе какого-то математика, мол в школе детей учат красить заборы, а не рисовать и все в таком духе. Есть книшки которые он бы одобрил?
Аноним 21/08/17 Пнд 17:17:00 #274 №23695 
>>23692
y(x) = 80 + x^(-1)
sage[mailto:sage] Аноним 21/08/17 Пнд 17:19:49 #275 №23696 
>>23695
>y(x) = 80 + x^(-1)
Я, конечно, извиняюсь, но это гипербола, поднятая на 80, она мало того, что не монотонная, так еще и те промежутки, где она монотонна - она убывает.
>>23692
y = x, x<1
y=80 - (1/x), x >= 1
Аноним 21/08/17 Пнд 17:28:02 #276 №23698 
>>23696
Двачую, теперь верно. Не так прочитал
Аноним 21/08/17 Пнд 18:33:35 #277 №23700 
>>23647
Что ты имеешь ввиду под >положительными?
Аноним 21/08/17 Пнд 22:16:46 #278 №23703 
image.png
>>23175 (OP)
Я придумал только что можно считать через один справа или сверху и будет +1 -1 - таким образом могу заполнить нижний ряд:
2 2 x 1 1 2
Еще заметил закономерность, что через 4 после единицы идет единица - но это бесполезный факт
Аноним 21/08/17 Пнд 22:36:10 #279 №23704 DELETED
Кто-нибудь может по гамалогии подсказать?
Аноним 21/08/17 Пнд 22:37:47 #280 №23705 
Где реальное доказательство, что энергия квантуется?
Аноним 22/08/17 Втр 03:52:01 #281 №23709 
>>23700
То что основание логорифма должно быть строго больше нуля. Я понимаю почему оно не равно единице, а вот понять почему оно должно быть только положительным не могу
Аноним 22/08/17 Втр 06:26:57 #282 №23711 
>>23709
Основание логарифма может быть меньше нуля, но без комплексных чисел далеко не все логарифмы можно будет найти. В реальных числах к примеру нельзя найти log_{-2}(2).
Аноним 22/08/17 Втр 13:22:35 #283 №23715 
>>23705
В /sci/. Очевидно же.
Аноним 22/08/17 Втр 14:06:21 #284 №23716 
>>23715
самому слабо? физики не знаешь? как жэ ты так физмат?
Аноним 22/08/17 Втр 15:33:08 #285 №23717 
>>23716
Ты приходишь в /math/ и требуешь доказать, что энергия квантуется. Но ты делаешь это без уважения.
Аноним 22/08/17 Втр 18:27:23 #286 №23719 
нужно за два года выучить физику 9-11 класс, с чего начать и чем закончить?
Аноним 22/08/17 Втр 18:53:27 #287 №23720 
>>23705
Но энергия не квантуется.
Аноним 22/08/17 Втр 18:54:51 #288 №23721 
>>23711
А как с комплексными числами работать? Там же если степень нечетная корни из минус эдиници вылезать будут.
Аноним 22/08/17 Втр 19:43:50 #289 №23722 
>>23719
Элементарный учебник физики Ландсберг 3 тома
Репетитор Касаткина 2 части
В 11 классе апнулся с 40 до 92
Аноним 22/08/17 Втр 19:44:10 #290 №23723 
>>23722
по егэ
починка
Аноним 22/08/17 Втр 21:05:24 #291 №23728 
Посните за последовательность коши. Эта та последовательность, у которой разность между верхним пределом и нижним постоянно уменьшается. Типа на пике верхний предел опускается, и нижний возрастает. Из-за этого последовательность сходится. Но то если верхний предел растёт? И при этом и нижний предел растёт, но чуть быстрее. Расстояние между ними со уменьшается, но ничто не мешает им расти бесконечно. Тогда предел у последовательности бесконечность и она не сходится. Такое возможно? Почему?
Поясните за О нотацию. Говорят, что O(2^2n)=O(n^2). Я подозреваю, что тут ошибка, но боюсь ошибиться. Это так или можно доказать?
Аноним 22/08/17 Втр 21:05:53 #292 №23729 
Снимок экрана от 2017-08-22 20:57:46.png
>>23728
пик забыл
Аноним 22/08/17 Втр 22:37:55 #293 №23734 
>>23728
В математике принято оперировать конкретными определениями. Определения есть у последовательности, сходящейся по критерию Коши, верхнего предела и верхней точной грани. Ты все люто намешал. У О-нотации тоже есть определения.

>Эта та последовательность, у которой разность между верхним пределом и нижним постоянно уменьшается
нет

Ты хотел сказать не "верхний предел", а верхняя точная грань, но это все равно не тоже самое, что и критерий Коши.

>Такое возможно? Почему?
Да, потому что ты не так понял критерий Коши.

>Это так или можно доказать?
Если я правильно понял запись, это не так. Мб ты что-то не так написал. Можно доказать по определению
Аноним 22/08/17 Втр 22:40:28 #294 №23735 
>>23734
Поясни про растущую вверх последовательность коши.
Записал я правильно. Там ещё 2^n квадратичной назвали. Скорее всего ошибка.
Аноним 22/08/17 Втр 22:43:43 #295 №23736 
>>23735
Бля чел, вот такая хуйня в каждом посте. Я не могу пояснить короче чем определение из вики, и не могу привести пример понятней, чем в любом учебнике. Можешь разобраться с этим за полчаса, если знаешь определение предела, а можешь ждать здесь месяц, пока поймешь, что никто это не разжует для тебя
Аноним 22/08/17 Втр 22:45:18 #296 №23737 
>>23736
Я же частный случай спрашиваю. В общих чертах понимаю.
Аноним 22/08/17 Втр 23:02:52 #297 №23738 
1503113060075.jpg
Анон, а ты тоже оргазмируешь, когда прикасаешься к математической книге?
Аноним 23/08/17 Срд 01:17:05 #298 №23739 
>>23738
Зависит от книги, но обычно да.
Аноним 23/08/17 Срд 09:42:02 #299 №23745 
>>23738
Нет, ибо мне надо читать элементарщину.
Аноним 23/08/17 Срд 15:58:45 #300 №23756 
>>23738
Нет, у меня все книги - электронные.
Аноним 23/08/17 Срд 16:08:00 #301 №23757 
>>23738
моар
Аноним 23/08/17 Срд 16:11:42 #302 №23758 
>>23757
Это с текущего мат. треда на 4chan. Там почти всегда на оп-пиках 2д тян с мат. книгами
Аноним 23/08/17 Срд 16:18:45 #303 №23760 
>>23758
там же мат-треда нет, только /sci/
Аноним 23/08/17 Срд 16:25:07 #304 №23762 
>>23760
Мат-борды нет, а тред есть, как раз на /sci/.
Аноним 23/08/17 Срд 19:08:44 #305 №23768 
Что такое дифференциал?
На викисрачие написано, что это - линейная часть приращения, но что такое "линейная часть"? Зачем под интегралом пишут дифферинциал? училка в шкальне сказала, что его там ставят чтобы указать, какую переменную интегрируют
Аноним 23/08/17 Срд 19:58:16 #306 №23770 
>>23762
пиздишь, не нашёл
Аноним 23/08/17 Срд 20:02:20 #307 №23771 
>>23770
В поиск вбивай mg, это Math General означает
http://boards.4chan.org/sci/thread/9113829
Аноним 23/08/17 Срд 20:05:55 #308 №23773 
>>23768
Дифференциал - это прямой образ гладкого отображения относительно функтора взятия касательного пространства. То, что стоит под знаком интеграла, - это не дифференциал, а дифференциальная форма. Формулировки вроде "линейная часть приращения" имхо довольно вредные (мне они сильно помешали разобраться в своё время), хотя и не совсем бессмысленные. Если ты школьник, то тебе такая наверное сойдёт, но тогда знай, что здесь ты чего-то сильно не понимаешь
Аноним 23/08/17 Срд 20:09:44 #309 №23774 
>>23768
Линейная часть приращения - это когда ты функцию раскладываешь в ряд тейлора и берёшь линейный член (т.е. забиваешь на все степени переменной выше двух включительно). Линейная часть приращения - эта линейная функция, которая приближает твою исходную функцию наилучшим образом (в фиксированной точке). Подобно тому как касательная наилучшим образом приближает кривую (в фиксированной точке)
Аноним 23/08/17 Срд 20:43:23 #310 №23776 
>>23771
Кстати, может нам /инт уровня /матх запилить? Или им там всем будет похуй, как думаешь?
Аноним 23/08/17 Срд 20:46:12 #311 №23777 
>>23776
>инт
парень, который просил моар Что за инт?
Аноним 23/08/17 Срд 20:48:08 #312 №23778 
>>23777
Интернасьональ.
Аноним 23/08/17 Срд 20:49:02 #313 №23779 
>>23778
он нахуй никому не нужен
Аноним 23/08/17 Срд 20:50:42 #314 №23780 
>>23779
Мнение человека, который пять секунд назад узнал, что это такое, очень важно для нас.
Аноним 23/08/17 Срд 20:52:47 #315 №23781 
Геометрия...
Аноним 23/08/17 Срд 20:59:05 #316 №23782 
>>23780
так и будет, проверяй
Аноним 23/08/17 Срд 22:10:32 #317 №23786 
>>23773
>>23774
Спасибо, буду разбираться
Аноним 24/08/17 Чтв 01:43:03 #318 №23792 
>>23776
Что?
Аноним 24/08/17 Чтв 01:44:13 #319 №23793 
Как доказывать, что копроизведение любых двух групп тривиально?
Аноним 24/08/17 Чтв 01:51:31 #320 №23794 
>>23792
Тредик для наших друзей с загнивающего запада.
Аноним 24/08/17 Чтв 08:24:29 #321 №23795 
>>23793
Оно не тривиально
Аноним 24/08/17 Чтв 13:49:21 #322 №23797 
>>23795
Почему? Это ведь следует из существования гамалогии.
Аноним 24/08/17 Чтв 14:49:03 #323 №23799 
>>23797
Гомологий не существует.
Аноним 24/08/17 Чтв 14:50:39 #324 №23800 
>>23799
Доказательство?
Аноним 24/08/17 Чтв 14:53:51 #325 №23801 
Как отличить математика от маняматика?
Аноним 24/08/17 Чтв 14:54:40 #326 №23802 
>>23799
Я их лично видел. Как это "не существует"?
Аноним 24/08/17 Чтв 15:17:41 #327 №23803 
>>23800
А ты докажи, что существуют!
Аноним 24/08/17 Чтв 15:17:53 #328 №23804 
>>23801
Умение доказывать аксиому выбора и существование гамалогий.
Аноним 24/08/17 Чтв 15:19:52 #329 №23805 
>>23803
Ну это тривиально. Следует из универсального свойства когамалогий.
Аноним 24/08/17 Чтв 15:23:08 #330 №23806 
Можно ли доказать, что все гамалогии тривиальны?
Аноним 24/08/17 Чтв 15:39:02 #331 №23807 
Как доказывать, что абелевых групп не существует?
Аноним 24/08/17 Чтв 15:54:02 #332 №23808 
Есть семь разных предметов и куча коробок трех разных цветов. Количество всех возможных комбинаций коробок с предметами находится простым перемножением количества тех и других?
Аноним 24/08/17 Чтв 15:56:18 #333 №23809 
>>23808
Находится простым применением аксиомы выбора очевидным образом.
Аноним 24/08/17 Чтв 16:58:33 #334 №23810 
image.png
Задача из теста на знание школьной математики:
https://meduza.io/quiz/pomnite-li-vy-shkolnuyu-programmu-po-matematike
Все остальное там несложно (на уровне арифметики и линейных уравнений), а вот здесь непонятно, откуда берутся 55 градусов?
Аноним 24/08/17 Чтв 17:04:59 #335 №23811 
Есть ли какая-нибудь доступная литература по теории категорий, лучше всего для школьников? Хочу писать на Haskell, а математику почти не знаю.
Аноним 24/08/17 Чтв 17:14:53 #336 №23813 
>>23811
И нахуя тебе для него теория категорий?
Аноним 24/08/17 Чтв 17:15:58 #337 №23814 
>>23813
Я монады не понимаю.
Аноним 24/08/17 Чтв 17:17:13 #338 №23815 
>>23811
> Хочу писать на Haskell, а математику почти не знаю
А категории тут при чём?
Аноним 24/08/17 Чтв 17:17:23 #339 №23816 
>>23814
И почему ты думаешь, что ты поймёшь их с точки зрения теории категорий?
Если есть желание и ты не совсем отбитый, то через недельку уже поймёшь.
Аноним 24/08/17 Чтв 17:29:04 #340 №23818 
>>23816
Я открываю статьи/учебники по хаскелю, и натыкаюсь на кучу непонятных терминов, какие-то комбинаторы неподвижной точки, трансформаторы, эндофункторы, анаморфизмы, изоморфизмы...
Вот и хотелось бы наконец понять и разобраться, о чем идет речь.
У нас в вузе на факультете прикладной информатики ничего из этого не было.
Аноним 24/08/17 Чтв 17:37:08 #341 №23819 
>>23815
Ну вот, например:
>Делаешь пандорический захват, лифтишь в монаду, потом строишь рекурсивную схему (здесь подойдёт зигохистоморфный препроморфизм) как монадический трансформер из категории эндофункторов, и метациклически вычисляешь результат. Любой второкурсник справится. А если делать на анафорических лямбдах — так задачка вообще на пять минут.
Не знаю, о каких второкурсниках идет о речь, о студентах Беркли? Мне знакомый препод не смог объяснить ничего в этой "задачке".
Аноним 24/08/17 Чтв 17:43:42 #342 №23820 
>>23811
Не знаю теорию категории, но слова которые ты перечислил узнал из "Топосы. Категорный анализ". Также кто-то советовал "Теория категорий работающему математику"
Аноним 24/08/17 Чтв 17:57:50 #343 №23822 
>>23811
Самое доступное что знаю - Category Theory, Steve Awodey. Наверняка что-то ещё более доступное есть.
Советую про теорию типов узнать, она тебе больше пригодится. Да и она очень сильно связана с теорией категорий.
>>23818
>комбинаторы неподвижной точки
Это уже из лямбда-исчисления больше.
В любом нормальном учебнике объясняются термины, которые ты перечислил.
Аноним 24/08/17 Чтв 18:01:02 #344 №23823 
>>23822
Есть Tom Leinster, "Basic category theory". Можно невозбранно найти на архиве.
Аноним 25/08/17 Птн 03:34:38 #345 №23827 
111.png
С чего мы решили, что эти индуктивные множества то же самое, что натуральные числа? Они что обладают теми же свойствами или как?
Аноним 25/08/17 Птн 05:23:07 #346 №23828 
>>23827
Они являются моделью того, что мы интуитивно подразумеваем под натуральными числами.
Аноним 25/08/17 Птн 07:05:20 #347 №23829 
Какой самый эффективный метод доказательства существования гамалогии?
Аноним 25/08/17 Птн 08:55:28 #348 №23830 
>>23829
Спросить у мамы
Аноним 25/08/17 Птн 09:26:15 #349 №23831 
>>23830
Что именно спросить?
Аноним 25/08/17 Птн 11:15:23 #350 №23832 
>>23829
Ручками показываешь, что существует одна гамалогия, потом показываешь, что для n гамалогий существует еще одна отличная от них. Доказываешь и применяешь аксиому индукции. Профит
Аноним 25/08/17 Птн 11:31:40 #351 №23833 
>>23832
Ну так гамалогия может и отрицательная быть. Тут уже аксиома индукции по целым числам нужна, а для этого нужна аксиома выбора насколько я помню.
Аноним 25/08/17 Птн 11:53:17 #352 №23834 
Как доказывать существование гамалогии финитарными методами?
Аноним 25/08/17 Птн 12:47:16 #353 №23835 
Как доказать, что любой цепной комплекс является точным?
Аноним 25/08/17 Птн 14:50:32 #354 №23836 
image.png
|x+4=x|
x=-2
|-2+4=-2|
|2=-2|
2=2
Что здесь не так?
Аноним 25/08/17 Птн 14:52:43 #355 №23837 
>>23836
>|x+4=x|
>|-2+4=-2|
>|2=-2|
Растановка модуля.
Аноним 25/08/17 Птн 14:53:57 #356 №23838 
>>23836
Ты не доказал, что натуральные числа существуют
Аноним 25/08/17 Птн 15:15:09 #357 №23839 
>>23836
Ну это совсем какая-то фигня. С делением на ноль лучше попробуй подобное.
Аноним 25/08/17 Птн 15:20:48 #358 №23840 
петух.jpg
>>23827
>>23838
О, N-петух. Натуральные числа существуют, поскольку являются конструктивным объектом и у них есть правила построения. И я тебе это сто раз писал.
Аноним 25/08/17 Птн 15:22:51 #359 №23841 
>>23840
А аксиома выбора существует? Возможно ли её доказать?
Аноним 25/08/17 Птн 15:24:28 #360 №23842 
Как вообще доказывают существование гамалогии? Вообще никак не могу.
Аноним 25/08/17 Птн 15:43:23 #361 №23843 
>>23841
От обратного
Аноним 25/08/17 Птн 17:14:14 #362 №23844 
>>23841
Доказательство - это вычисление. У Воеводского в НоТТ это как раз открытая проблема, с аксиомой выбора доказательство есть, а вычислимого нету. Собственно, все что нужно знать о т.н. "неконструктивной математике" - заткнули дыры в вычислимости невычислимыми верованиями, типа "и так сойдет" и веруют, что проблемы нет, но все вылезает наружу при первой же попытке воспользоваться.
Аноним 25/08/17 Птн 23:39:54 #363 №23845 
>>23828
То есть мы можем определить для них все то же самое, что и для натуральных чисел? Сложение там со всеми свойствами и т.п.
>>23840
Ты меня с кем-то перепутал. Я нюфаня в математике.
Аноним 25/08/17 Птн 23:48:38 #364 №23846 
Если моя бабушка по папиной линии - украинка, то какая доля украинской крови во мне?
Аноним 25/08/17 Птн 23:54:45 #365 №23847 
>>23846
Если в роду остальных родственников никогда не было украинской крови, а бабушка состояла полностью из украинской крови, то ты минихряк: 25%
Аноним 26/08/17 Суб 00:02:45 #366 №23848 
>>23793
Копро-изведение это все посты ИТТ, начинающиеся с "как доказывать, что..."
Аноним 26/08/17 Суб 00:27:44 #367 №23849 
>>23846
Если ты кун, то у вас с ней нет общего набора хромосом. Разве что некоторые мутации могут общими.

так что примерно 0%

Если тян - сложно сказать.




Аноним 26/08/17 Суб 02:48:18 #368 №23851 
>>23845
Ну, да, типа того.
Аноним 26/08/17 Суб 03:49:08 #369 №23852 
Screenshot1.png
Что от меня хотят?
Аноним 26/08/17 Суб 08:02:00 #370 №23853 
Посоветуйте сборник задач и упражнений по математическому анализу. Его кажется, еще какой-то Демидович создал.
Аноним 26/08/17 Суб 09:57:52 #371 №23854 
>>23853
Зачем тебе задачники по этой конченной хуйне?
Аноним 26/08/17 Суб 10:36:48 #372 №23855 
изображение.png
Сегодня шёл домой с РАБоты и придумал задачу.
1. Коммутативность: ab=ba
2. Ассоциативность: (ab)c=a(bc)
(неверное)Предположение: если структура обладает коммутативностью, то она и ассоциативна.
abc=bac=bca
Найдите ошибку.
Аноним 26/08/17 Суб 12:32:37 #373 №23856 
>>23855
Опускать скобки можно только в ассоциативных структурах. В первом равенстве ты исходишь из предположения, что pqr значит (pq)r, во втором равенстве из предположения, что pqr значит p(qr).
Аноним 26/08/17 Суб 13:02:51 #374 №23857 
>>23855
>Предположение: если структура обладает коммутативностью, то она и ассоциативна.
На самом деле ты уже предположил, что она ассоциативна. Так что твоё доказательство тривиально верно.
Аноним 26/08/17 Суб 14:06:30 #375 №23858 
>>23820
>>23822
>>23823
Спасибо, аноны, посмотрю. А что из перечисленного из лямбда-исчисления?
В детстве читал по нему книжку какого-то советского профессора (Лаврова, кажется), но она была специально для школьников и начинающих программистов. Там лямбда-выражения приравнивались к анонимным функциям, которые могут быть параметрами других функций (высшего порядка), рассказывалось, как на языке Lisp запрограммировать операции над числами через 10 цифр и символы, как на нем моделировать бесконечную машину Тьюринга, ООП как в Smalltalk и т.д. Терминов практически не было.
Аноним 26/08/17 Суб 14:16:01 #376 №23859 
>>23847
Может быть какой угодно, в зависимости от доминантных/рецессивных генов. Считать такие проценты - глупость для расистов, даже евреи при въезде в Израиль их не вычисляют.
Аноним 26/08/17 Суб 14:39:44 #377 №23860 
>>23858
>А что из перечисленного из лямбда-исчисления?
Fixed point комбинаторы. Да и в принципе всё перечисленное сильно связано с лямбда-исчислением и теорией типов, так как они сильно связаны с теорией категорий.
Аноним 26/08/17 Суб 15:17:37 #378 №23861 DELETED
А что такое гамалогия?
Аноним 26/08/17 Суб 15:38:52 #379 №23862 
>>23856
Да, молодца.
>>23857
Нет.
Аноним 26/08/17 Суб 16:10:59 #380 №23863 
>>23862
>Да
>Нет
У этих двух постов одинаковый смысл.
Аноним 26/08/17 Суб 16:35:23 #381 №23864 
>>23852
Доказать по индукции приведенные утверждения. Ассоциативность сложения и умножения, "дистрибутивность" модуля и т.п.
Аноним 26/08/17 Суб 16:36:37 #382 №23866 
>>23864
А трансиндукцией можно?
Аноним 26/08/17 Суб 16:36:46 #383 №23867 
>>23858
Intro2fp-ru.pdf наверни, например.
Аноним 26/08/17 Суб 16:40:50 #384 №23868 
>>23866
Тебе не надоело?
Аноним 26/08/17 Суб 17:13:24 #385 №23869 
>>23868
Что?
Аноним 26/08/17 Суб 18:55:20 #386 №23871 
111.png
>>23864
Как мне это тут использовать? Тут даже числа не натуральные
Аноним 26/08/17 Суб 19:09:36 #387 №23872 
>>23871
Используй трансфинитную индукцию, она и на вещественных работает.
Аноним 26/08/17 Суб 19:20:38 #388 №23873 
>>23872
Но от меня требуют, чтобы я доказал обычной индукцией. Я хочу сделать то, что требует от меня автор.
Аноним 26/08/17 Суб 19:23:56 #389 №23874 
>>23852
От тебя хотят, чтобы ты выбрал книжку попроще, если не можешь понять это. Хотя Зорич не требует никаких знаний, он предполагает, что ты хороший матшкольник, который уже знаком, например, с индукцией.
Аноним 26/08/17 Суб 19:27:21 #390 №23875 DELETED
>>23873
Обычная индукция эквивалента трансфинитной индукции если у тебя аксиома выбора верна.
Аноним 26/08/17 Суб 19:28:40 #391 №23876 
111.png
>>23874
Тогда может мне следует подтянуть какие-то темы из школьной математики? Прочитать пикрелейтед? Это поможет?
Аноним 26/08/17 Суб 19:36:45 #392 №23877 
>>23876
Первой не хватит, но пролистай ее. Она не сложная. Вторую сейчас посмотрел, по-моему слишком специализированная. Сложно и узко. Я бы на твоем месте, если ты нулевой, потратил месяц на школьные олимпиады (без геомы). Зорич после этого не пойдет как по маслу, но у тебя будет хороший кругозор. Попробуй "ленинградские математические кружки". А дальше сам смотри, чего не хватает
Аноним 26/08/17 Суб 19:41:55 #393 №23878 
>>23877
> ты нулевой
Не нулевой, в школе вроде проблем с математикой не было, все легко понимал. Но школа у нас была хуевая, поэтому учили очень ограниченно.
Ладно, спасибо за помощь. Поступлю как ты сказал.
Аноним 26/08/17 Суб 19:43:44 #394 №23879 
>>23878
>в школе вроде проблем с математикой не было, все легко понимал
Это далеко не показатель. Я вот в школе ничего не понимал.
Аноним 26/08/17 Суб 19:56:46 #395 №23880 
>>23878
Если ты впервые сталкиваешься с заданием 7-8 класса на индукцию, то я смело назову тебя нулевым. Конечно, по меркам матшкольника, а не птушников
Аноним 26/08/17 Суб 19:59:37 #396 №23881 
>>23880
>матшкольника
Что такое "матшкольник"?
Аноним 26/08/17 Суб 20:03:42 #397 №23882 
>>23881
https://www.youtube.com/watch?v=v0DdPAnn1UI
Аноним 26/08/17 Суб 21:04:43 #398 №23883 DELETED
Может ли 2Z являться гамалогией?
Аноним 26/08/17 Суб 21:26:49 #399 №23886 DELETED
>>23883
Бамп.
sageАноним 26/08/17 Суб 21:44:45 #400 №23887 DELETED
>>23886
sage
Аноним 26/08/17 Суб 22:04:15 #401 №23888 DELETED
>>23887
Поможешь?
sageАноним 26/08/17 Суб 22:24:42 #402 №23889 DELETED
>>23888
С гомологиями понятно. Понимаешь как существование 2Z доказать?
Аноним 26/08/17 Суб 22:27:00 #403 №23890 DELETED
>>23889
Что с ними понятно? Подскажи, может ли 2Z быть гамалогией? Существование пусть будет аксиомой.
Аноним 27/08/17 Вск 01:38:56 #404 №23901 
y''+ (a^2)y = tg(x)
При каких а существует единственное непродолжаемое решение с областью определения (-1;3/2).
Я так понимаю, что раз все функции на этом промежутке непрерывны => мы можем поставить сколько угодно задач Коши и каждая будет решаться. И ответ ни при каких. Мне кажется слишком простое решение, чтобы быть правдой.
Аноним 27/08/17 Вск 12:47:40 #405 №23913 DELETED
Серьёзно, подскажите может ли 2ℤ являться гамалогией?
Аноним 27/08/17 Вск 16:41:40 #406 №23919 DELETED
За что мой пост удаляют? Подскажите может ли 2ℤ являться гамалогией?
Аноним 27/08/17 Вск 17:18:27 #407 №23920 DELETED
Кто такие пучкисты и "модульный дед"?
Аноним 27/08/17 Вск 18:57:12 #408 №23922 DELETED
>>23920
Кто такие титушки
Аноним 27/08/17 Вск 21:51:40 #409 №23932 DELETED
>>23920
> дед
Почему?
Аноним 28/08/17 Пнд 13:19:18 #410 №23943 DELETED
>>23932
Ну я у вас и спрашиваю? В чем суть этих форсов?
Аноним 28/08/17 Пнд 14:09:35 #411 №23944 
>>23175 (OP)
Не могу понимать очень многие алгоритмы, немного сложнее, чем пузырьковая сортировка, из-за того, что математику успешно проебал в школе, как и все предметы, вообщем-то.
Может кто посоветовать книжки по развитию алгоритмическому мышлению(понятное дело, что развивать очень хорошо можно, если ты решаешь задачи, но тут тоже нужно знание математики) и еще, если можно учебники по физики.
Ну и что бы доказать, что я не ленивое хуйло, я действительно искал такие учебники.
По математики я нашёл учебник Сканави. Но он мне показался слишком сухим, а по физики - Фейнмановские лекции, но тут объясняется для тех, кто уже что-то понимает в физики, может есть что попроще?
Аноним 28/08/17 Пнд 14:10:56 #412 №23945 
>>23944
физике*
Аноним 28/08/17 Пнд 15:44:08 #413 №23946 DELETED
>>23943
Каких форсов? Ты в каком-то чатике ещё сидишь? Извини, такой хуйнёй не страдаю и не понимаю.
Аноним 28/08/17 Пнд 15:44:37 #414 №23947 
14167313502960.jpg
Math, хочу с энтри левела разобраться в том что такое мат. индукция и научиться доказывать различные вещи с ее помощью. Посоветуй, что почитать на тему.
Аноним 28/08/17 Пнд 15:46:31 #415 №23948 DELETED
>>23947
Советую почитать Генцена и Гёделя. Я думаю лучше них в этом деле пока ещё никого не было, да и пишут довольно доступно для начинающего.
Аноним 28/08/17 Пнд 15:50:33 #416 №23949 
1363202814937.jpg
>>23948
А конкретно в каких книгах про индукцию и доказательство?
Аноним 28/08/17 Пнд 15:54:01 #417 №23950 
>>23949
Это тралл местный

Попробуй вот это
https://www.mccme.ru/free-books/shen/shen-induction.pdf
Аноним 28/08/17 Пнд 15:57:52 #418 №23951 DELETED
>>23949
Считаю вот это самым лучшым для твоих целей:
Генцен - "A treatise on transfinite induction and its applications".
Гёдель - "On the inductive nature of proofs of the axiom of choice".
Аноним 28/08/17 Пнд 15:58:10 #419 №23952 DELETED
>>23950
В каком смысле? Я действительно посоветовал то, что считаю хорошим.
Аноним 28/08/17 Пнд 16:01:05 #420 №23953 
>>23951
>>23952
Ты поехавший абсолютно
Аноним 28/08/17 Пнд 16:01:19 #421 №23954 DELETED
>>23953
Почему ты так думаешь?
Аноним 28/08/17 Пнд 16:02:14 #422 №23955 
>>23944
А мне никто не поможет? Или слишком избитый вопрос, что бы на него отвечать?
Аноним 28/08/17 Пнд 16:03:37 #423 №23956 DELETED
>>23955
Не он, но вроде тут хороший совет >>23951
Переводы на русский должны быть тоже.
Аноним 28/08/17 Пнд 16:04:17 #424 №23957 
>>23955
Читай школьные учебники
Аноним 28/08/17 Пнд 16:10:13 #425 №23958 DELETED
>>23957
Пустая трата времени.
Аноним 28/08/17 Пнд 16:12:05 #426 №23959 DELETED
>>23953
Привет, я же знаю что ты это видишь. Ответь на >>23954
Аноним 28/08/17 Пнд 16:18:06 #427 №23960 
Параллельные линии это тоже в некотором роде абстракция (мол идеально не сделаешь в реальной жизни) или у меня что-то с восприятием?
Аноним 28/08/17 Пнд 16:18:17 #428 №23961 
>>23958
Для нулевых самое то. Если быстро пробежаться по этому материалу, то он не усвоится и останется тебе только быть клоуном как >>23959
Аноним 28/08/17 Пнд 16:18:55 #429 №23962 DELETED
>>23960
Через лет 500 спроси, когда мы уже наконец узнаем больше о нашем реальном мире.
Аноним 28/08/17 Пнд 16:19:22 #430 №23963 DELETED
>>23961
>Для нулевых самое то.
Ааа, я вижу тебе это очень знакомо. Ну хорошо, в таком случае не буду спорить.
Аноним 28/08/17 Пнд 16:19:50 #431 №23964 
В реальной жизни и линий нет
Аноним 28/08/17 Пнд 16:20:16 #432 №23965 
>>23961
>>23964
Аноним 28/08/17 Пнд 16:20:23 #433 №23966 DELETED
>>23961
А почему он клоун?
Аноним 28/08/17 Пнд 16:23:36 #434 №23968 
>>23962
>>23964
Ну вы меня и запутали. Просто когда я смотрю на параллельные линии, мне они кажутся совсем чуточку не параллельными. Но вроде же можно как-то перенести на координатную плоскость и тогда понять. Креститься надо?
Аноним 28/08/17 Пнд 16:25:40 #435 №23969 
>>23968
Где ты на них смотришь? Линии должны быть бесконечными в обе стороны. У тебя такие?
Аноним 28/08/17 Пнд 16:31:30 #436 №23970 DELETED
>>23964
Докажи это.
Аноним 28/08/17 Пнд 16:31:52 #437 №23971 
>>23966
Я бы ответил, но боюсь, что ты и есть он. Не хочу кормить тролля. Просто почитай тред и сам поймёшь.
Аноним 28/08/17 Пнд 16:32:04 #438 №23972 
14209768042200.jpg
>>23951
Спасибо, но я не могу найти ни одной из этих книг. Осмелюсь предположить, что это не названия книг, а что-то другое, типа названий глав в книгах?
Аноним 28/08/17 Пнд 16:32:42 #439 №23973 DELETED
>>23971
Так я и почитал, все равно не совсем понимаю, о чём ты.
Аноним 28/08/17 Пнд 18:55:10 #440 №23974 
Список книг в виде пополняемого репозитория:
https://github.com/uburuntu/mm_books
Аноним 28/08/17 Пнд 19:00:55 #441 №23976 
>>23974
>Книжная годнота для математиков
Но я не математик((0(
Аноним 28/08/17 Пнд 19:55:45 #442 №23977 
>>23877
>ленинградские математические кружки
Решаю задачи нулевого цикла и возникают проблемы с их решением. Я совсем тупой и мне стоит забить на математику или они не должны легко решаться?
Аноним 28/08/17 Пнд 19:58:42 #443 №23978 
>>23977
Для тех, кто раньше не занимался математикой, не должны. Там почти везде (кроме нулевого цикла) есть решения, так что разберешься
Аноним 28/08/17 Пнд 20:30:42 #444 №23980 
Поясните за книгу Куранта "Что такое математика". Что оно должна дать? Что там рассказывается? Есть от нее польза? Что думаете о ней?
Аноним 28/08/17 Пнд 20:43:29 #445 №23984 
>“Математический анализ в 57 школе“
Но это разве не методичка для учителя, а не учебник?
Аноним 28/08/17 Пнд 21:47:23 #446 №23985 
>>23984
Они эти задачки с преподом разбирали 1 на 1. Для соло обучения вещь сомнительная.
Аноним 28/08/17 Пнд 22:11:27 #447 №23986 
>>23901
Бамп вопросу.
Аноним 28/08/17 Пнд 22:59:33 #448 №23989 
>>23985
Соло тяжко и больше риск выдохнуться без поддержки, забредя в очередной тупик. Ну если ты родился более-менее математически одаренным и не с двузначным IQ, тогда может и легко будет в одиночку поглощать сложные книги.
Аноним 28/08/17 Пнд 23:03:27 #449 №23991 
>>23990
Понятия не имею, но под "двузначным IQ" я имел в виду заметную туповатость, которую прозреваю у себя.
Аноним 28/08/17 Пнд 23:16:13 #450 №23993 DELETED
Как доказывать существование гамалогии?
Аноним 28/08/17 Пнд 23:18:43 #451 №23994 DELETED
>>23993
По индукции.
Аноним 29/08/17 Втр 13:06:27 #452 №23999 
>>23991
>Понятия не имею
Для начала бы и просто представления, были бы неплохи.
Аноним 29/08/17 Втр 15:37:59 #453 №24001 
Я знаю, что тут есть погромисты. Озвучьте список дисциплин, которые вы считаете необходимыми к изучению для всякого уважающего себя погромиста, пожалуйста. Мне на ум приходит только дискретная математика: множества, графы, матрицы, комбинаторика, алгоритмы, булева алгебра, предикатная логика, вот это вот всё.
Аноним 29/08/17 Втр 16:29:05 #454 №24002 
>>24001
Обычному программисту достаточно арифметики, начал алгебры, и немного комбинаторики.
Аноним 29/08/17 Втр 17:25:21 #455 №24003 
>>23985
Её хоть кто-то открывал? Основные темы там не такие уж экстраординарные, самое интересное в доп. листках.
>>23947
Шень. Начала теории множеств.
sage[mailto:sage] Аноним 29/08/17 Втр 21:10:46 #456 №24005 
>>23901
Еще бамп вопросу.
Аноним 29/08/17 Втр 21:17:22 #457 №24006 
>>24005
Бампаю под сагой, это я молодец.
Аноним 29/08/17 Втр 21:37:49 #458 №24007 
>>24002
Но ведь это сильно зависит от области работы. Один драйвера пишет для железяк, другой machine learning мутит, третий игры делает, четвёртый сайты за доширак.
Аноним 29/08/17 Втр 21:47:18 #459 №24008 
15039567134640.jpg
>>23175 (OP)
Посоны, ебусь уже сутки, но не могу найти решения, даже придумать его не могу, не понимаю, что требуется. Может кто даст советов мудрых?
Вес теста 115кг с влажностью в 24% Сколько нужно добавить в тесто муки с вл-тью 13%, чтобы получить в итоге тесто с влажностью в 22%
Решения не прошу, но наводящий вопрос или совет, очень бы помог.
Если я буду добавлять муку, то как блядь уменьшится влажность, если она будет увеличиваться?
Аноним 29/08/17 Втр 22:04:20 #460 №24009 
>>24008
Она будет уменьшаться, потому что проценты выражают пропорциональное отношение. Если в кучу влажной хуйни добавить кучу менее влажной хуйни, то en masse получится менее влажная хуйня.
Аноним 29/08/17 Втр 22:19:21 #461 №24010 
>>24008
Пусть x - масса сухой муки, y - масса воды. Тогда масса теста есть z = x+y, ибо тесто состоит из воды и муки.

Влажность определим как y/z. Если масса теста 115 кг и влажность теста 24%, то в этом тесте 27.6 кг воды.

Аналогично определим влажность влажной муки. Её добавим мы x килограммов.

Тебе требуется найти такое x, что (0.13x + 27.6)/(115+x) = 0.22.
Аноним 29/08/17 Втр 22:26:19 #462 №24011 
>>24010
Это очень хороший ответ. Спасибо анон, добра тебе. Пойду решать, теперь стало понятнее.
Аноним 30/08/17 Срд 12:51:34 #463 №24020 
Посоны, не могу придумать тему для курсача.
Хочу чего-нибудь не слишком сложного, но чтобы можно было рисовать красивые дохуямерные графики и вот это всё.
Объём небольшой, так что здоровенные темы не предлагать.
Аноним 30/08/17 Срд 14:39:27 #464 №24022 
>>24020
Рассчёт ящика
Аноним 30/08/17 Срд 14:57:26 #465 №24024 
>>24022
xddddd
Аноним 30/08/17 Срд 16:23:43 #466 №24025 
ЧТо скажите про Конкретную математику?
Аноним 30/08/17 Срд 20:07:23 #467 №24028 DELETED
Я тут уже несколько дней мучаюсь. Подскажите пожалуйста, может ли группа 2ℤ является гамалогией?
Аноним 30/08/17 Срд 22:01:21 #468 №24036 
>>24028
Ничего, послезавтра пойдешь в школу и там тебе объяснят
Аноним 31/08/17 Чтв 11:46:55 #469 №24051 
>>23976
Теперь там
> Книжная годнота по математике
:|
Аноним 31/08/17 Чтв 11:50:55 #470 №24052 DELETED
>>24036
Боюсь этого не произойдёт. Подскажешь?
Аноним 31/08/17 Чтв 18:10:01 #471 №24061 
Завтра в школу, а я ничего кроме мемов /math не выучил. Что делать?
Аноним 31/08/17 Чтв 18:38:36 #472 №24063 
>>24061
Мемить гомологии и аксиому выбора, чтобы потралевать училку
Аноним 31/08/17 Чтв 18:51:59 #473 №24064 
>>23901
И снова бамп ОДУ.
Аноним 31/08/17 Чтв 18:54:58 #474 №24065 DELETED
Тут вообще адекватные люди есть?
Аноним 31/08/17 Чтв 19:50:38 #475 №24067 
>>24065
Если задашь адекватный вопрос, то получишь адекватный ответ. Или нет. Зависит от степени лени местных. Чужие домашки они делать не любят, а спорить об основаниях любят.
Аноним 31/08/17 Чтв 20:05:10 #476 №24069 DELETED
>>24067
А как узнать, адекватный ли вопрос?
Аноним 31/08/17 Чтв 20:25:59 #477 №24073 
>>24069
Задать его.
Аноним 31/08/17 Чтв 20:31:09 #478 №24074 DELETED
>>24073
Ну например задал, и дальше что?
Аноним 31/08/17 Чтв 20:56:24 #479 №24076 
Раньше у вас здесь вроде бы FAQ был, но сейчас хз че. Короче хотел бы узнать с какой книги начинать изучение математики, вот допустим я человек который умеет только цифры складывать простейшими операциями и корень из числа вычислять, на этом всё. Вроде бы когда-то давно советовали эту книгу - http://www.ozon.ru/context/detail/id/139124756/ , хотелось бы получить отзыв от сторожил данного треда. С чего всё таки начать?
Аноним 31/08/17 Чтв 21:09:02 #480 №24078 
>>24076
Сначала тогда изучи арифметику и геометрию. Ну, а алгебра потом.
Аноним 31/08/17 Чтв 21:09:47 #481 №24079 DELETED
>>24076
>сторожил данного треда
И с чего ты взял что этот совет будет хорошим?
Аноним 31/08/17 Чтв 21:14:25 #482 №24080 
>>24074
Это был неадекватный вопрос. Вот тебе экспертное заключение. Всё просто.
Аноним 31/08/17 Чтв 21:18:16 #483 №24081 
>>24076
Вычислять без калькулятора корень из числа геморройно. Значит, ты уже много знаешь.
Аноним 31/08/17 Чтв 21:33:40 #484 №24082 
>>24078
Ну мне бы именно литературу. Грубо говоря с какой книжки начать?
Аноним 31/08/17 Чтв 21:48:29 #485 №24084 DELETED
>>24080
А чем неадекватный вопрос отличается от адекватного?
Аноним 31/08/17 Чтв 22:06:39 #486 №24085 
>>24082
Алгебра 7 класс. Можешь начать с Гельфанда/Шеня, но там задачки сложнее, есть вероятность застрять и расплакаться.
Аноним 31/08/17 Чтв 22:35:21 #487 №24088 
>>24082
Киселев "Арифметика".
Аноним 31/08/17 Чтв 23:48:25 #488 №24091 
Неужели мой вопрос >>23901 неадекватен?
Аноним 31/08/17 Чтв 23:52:30 #489 №24092 
75f6071c3f3a0c8848dbb4074b12c50286b2b1e444b22ff9db08c3e9e3f[...].png
>>24091
Просто в нём нет гамалогий.Тут никто не умеет решать такое
логл матановая капча
Аноним 01/09/17 Птн 00:14:35 #490 №24096 
>>24092
Я помню тут было много парней, которые шарили в ОДУ. Да и раз тут постоянный срач между матанщиками и гамологами(или кто там с кем срется, но я точно помню, что здесь куча адептов Арнольда) то в чем проблема решить подобное? Или я не в том треде пишу?
Аноним 01/09/17 Птн 00:19:53 #491 №24098 
>>24085
Спасибо, Гельфанд у меня был как раз и в прошлый раз мне его советовали. Надеюсь освоить за неделю, реально ли? (там вроде 200 страничек). Имею 6-7 часов свободного времени в день.
Аноним 01/09/17 Птн 00:29:11 #492 №24099 
>>24098
Попробуй, расскажешь через неделю.
Аноним 01/09/17 Птн 00:35:40 #493 №24102 
>>24076
Фак же в шапке по ссылке.
Аноним 01/09/17 Птн 00:37:12 #494 №24103 
>>24099
Ну так это реально или же нет?
Аноним 01/09/17 Птн 00:37:54 #495 №24105 
>>24101
Есть же специальный тред https://2ch.hk/math/res/21605.html
Аноним 01/09/17 Птн 00:40:54 #496 №24107 
>>24106
Больше некуда, пиши туда.
Аноним 01/09/17 Птн 00:42:09 #497 №24109 
>>24099
Книга Гельфанда какая-то странная, написано что она покрывает материал до 9го класса, и при этом там всего 140 страниц учитывая предисловие и тексты задач. Там вообще хоть что-то объясняется или это не учебник а некий справочник?
Аноним 01/09/17 Птн 00:51:46 #498 №24112 
>>24109
Объясняется. Видно же, что в начале даже учат яблоки считать. Школьную программу за 9 классов полностью точно не покрывает.
Аноним 01/09/17 Птн 00:56:33 #499 №24114 
>>24112
Я просто искал какой-нибудь учебник который полностью покроет 9 классов, чтобы можно было за месяц примерно вспомнить весь материал и дальше уже заниматься чем-то другим.
Аноним 01/09/17 Птн 06:13:11 #500 №24117 
>>24096
>то в чем проблема решить подобное?
Я хз как решить, другие тоже, наверное, раз молчат.
Аноним 01/09/17 Птн 11:59:47 #501 №24121 
>>24081
Нихуя.
Мимонаходил корни из трехзначных чисел на школьных контрольных на бумажке.
Аноним 01/09/17 Птн 17:03:00 #502 №24134 
1adfc02df046c056a7e9a52a5e9b8f8ef6b8b02d.jpg
>>24109
Это не совсем самодостаточный учебник. а дополнительное учебное пособие с обилием задачек, чтобы освежить и подкрепить основную программу, которую должны дать в школе. Неужели это не очевидно?
Аноним 01/09/17 Птн 17:42:59 #503 №24137 
>>24112
Дорофеев-Потапов-Розов покрывает за 11. Аленицын-Бутиков-Кондраттев тоже, только он еще и всю школьную физику заодно.
Аноним 01/09/17 Птн 17:45:23 #504 №24138 
>>24076
Начни с Гашкова.
Аноним 01/09/17 Птн 17:49:54 #505 №24139 
>>23974
>P. Grillet: "Abstract algebra". Очень лаконичный и понятный учебник. Надо знать элементарную теорию чисел, про индукцию, про множества и функции. >Линейной алгебры нету
Бля, да вы охуели, дети. Зачем составлять фак, если ты не понимаешь материала? Есть там линейная алгебра, разуй глаза, блядь. Более того, не существует graduate textbooks по алгебре, где бы не было линейной алгебры. От слова вообще.
Аноним 01/09/17 Птн 17:53:51 #506 №24140 
>>24139
>>23974
Напоминаю специалистам, что линейная алгебра бывает разной. Если вы видите в названии слово "конечномерный", eg: Конечномерный анализ, конечномерные алгеры и тд – как это ни странно, перед вами книга по линейной алгебре. Рекомендую посмотреть определение Банахова пространства. Если же книга называется "алгебра", но вот про матрицы и векторные пространства там что-то ничего не написано: не отчаивайтесь и открывайте главу про свободные модули. Она там есть, точно.
Аноним 01/09/17 Птн 20:13:17 #507 №24142 
>>24134
Ну я вроде и спрашивал об этом. Есть ли какой-то учебник который затрагивает 6-9 класс по которому можно заниматься? Или стоит просто качать учебники для каждого класса по отдельности и заниматься по ним?
Аноним 01/09/17 Птн 21:00:38 #508 №24143 
>>24088
>>24134
>>24138
Если сначала начну с - М. И. Сканави: "Элементарная математика". А потом продолжу - С. Б. Гашков: “Современная элементарная алгебра” , то не будет ли повторения материала? Стоит ли именно так двигаться?
Аноним 01/09/17 Птн 21:18:11 #509 №24144 
>>24143
дополнение к этому посту:
На первый взгляд (судя по оглавлению) кажется что эта книга затрагивает как раз весь период с 5 до 9 класса, так ли это? Качество скана правда хуевенькое =(
Аноним 01/09/17 Птн 21:18:31 #510 №24145 
>>24144
фикс: эта книга - М. И. Сканави: "Элементарная математика"
Аноним 01/09/17 Птн 21:34:40 #511 №24146 
>>24143
Сканави нужен для наработки техники. Полезно, но не про понимание. Мне и другим сложно ответить потому, что школьную программу мы как то неосознанно ответили. Поэтому просто читай все, что можешь и решай все, что вызывает трудности. Все равно, когда вырастешь, навык перебирать и искать книги понадобится.
Аноним 01/09/17 Птн 21:35:07 #512 №24147 
>>24146
то школьную программу мы как то неосознанно освоили.
починил
Аноним 01/09/17 Птн 21:35:40 #513 №24148 
>>23175 (OP)

Не понимаю доказательство теоремы Гудстейна:
ну окей, сопоставили каждый элемент последовательности ординальному числу.
И эти ординальные числа уменьшаются с каждым шагом.

Почему можно утверждать, чточисло за конечное число шагов станет равно нулю.

Ординалы-то мы рассматриваем не только конечные, но и счётные.



p.s. аналогичный вопрос про теорему о гидре
Аноним 01/09/17 Птн 21:40:20 #514 №24149 
>>24146
Короче я уже попробовал почитать начало каждой книги про которую написано в FAQ из раздела элементарной математики или арифметики - и там все книги рассчитаны на тех людей кто уже знакомы с математикой для студентов короче. С первых же страниц начинается разбор каких-то дробных выражений, везде корни, ещё фигня какая-то и тд. Похоже правда придется просто качать отдельно учебники по математике для каждого класса от 5 до 9го и учить именно так.
Аноним 01/09/17 Птн 21:44:01 #515 №24150 
e0aa695c948bdb67a575bcdf9f0577a5b19d23e8.png
>>24142
Тебя уже тыкнули носом в элементарные учебники Киселева. По конкретным темам можно покопаться в школьных книжках на сайте МЦНМО.

>>24143
Научись уже сам искать книжки по потребностям. Интернет утопает в вопросах, подобных твоему, надо просто немножечко пошарить.
Если ты нулевой и не хочешь утонуть во множестве лишних(пока) деталей - тебе к Киселеву. Книжка Сканави не является нормальным учебником, это видно в частности по оглавлению.
Аноним 01/09/17 Птн 22:21:57 #516 №24151 
DIoklASXgAQd72n.jpg large.jpg
>>24150
Не ругайся кисик, не видишь разве какой я глупый? А есть какая-нибудь существенная разница между изданиями Арифметики Киселева 2002 и 2017 года? Или всё равно, просто новое издание вроде не выложили ещё.
Аноним 01/09/17 Птн 22:35:19 #517 №24152 
>>24148
У меня дежа вю, или этот же вопрос задавали тут пару месяцев назад?
Аноним 01/09/17 Птн 22:37:26 #518 №24153 
>>24151
Главное - не бери книжки от URSS. Никогда.
Аноним 01/09/17 Птн 23:05:00 #519 №24154 
>>24139
Этому факу лет больше, чем тебе
Аноним 01/09/17 Птн 23:31:28 #520 №24156 
Суп, выручайте
Нужен алгоритм для нумерации всех возможных по целых чисел
Аноним 01/09/17 Птн 23:32:04 #521 №24157 
>>24156
*пар целых чисел
Быстрофикс
Аноним 01/09/17 Птн 23:59:31 #522 №24158 
IMG20170901235817.jpg
>>24156
Идея вот.
Аноним 02/09/17 Суб 00:08:42 #523 №24159 
1504300104779.jpeg
>>24158
Бл, подумал, что натуральные, вот для целых (формулу накатать еще можно):
Аноним 02/09/17 Суб 06:12:12 #524 №24160 
>>23974
Почему в подобных факах я никогда не видел Туманова? Хороший же учебник.
Аноним 02/09/17 Суб 08:41:43 #525 №24161 
16 задача. Помогите, у меня получается какая-то залупа сложная непонятная. в Гугле страница с решением и сохранённая копия не открываются
Аноним 02/09/17 Суб 08:42:25 #526 №24162 
Screenshot2017-09-02-15-34-50.png
>>24161
Бля
Аноним 02/09/17 Суб 09:48:00 #527 №24164 
IMG20170902164532.jpg
>>24161
В процессе решения возникла ещё вот такая проблема. В чем подвох?
Аноним 02/09/17 Суб 10:07:52 #528 №24165 
>>24158
>>24159
Идея-то есть. Проблемы возникают именно с формулой
Аноним 02/09/17 Суб 10:12:30 #529 №24166 
>>24161
Бля решил
Аноним 02/09/17 Суб 10:21:49 #530 №24167 
DSC0046.jpg
#40. Не смог решить ни один пример, позвонил деду, он сказал нужно в числителе и знаменателе вынести множитель, чтобы сократить. Продолжал так делать до д, дальше нихуя не понимаю, что там можно вынести за скобки, чтобы сократить. Не хочу заёбывать деда, помоги, двач.
Аноним 02/09/17 Суб 10:31:27 #531 №24168 
>>24167
В этих заданиях суть разложить на множители, в д в знаменателе выносишь 3, в числителе раскладываешь разность квадратов, из 5 - а выносишь -1
Аноним 02/09/17 Суб 10:43:31 #532 №24169 
DSC0046.jpg
>>24168
Так?
sage[mailto:sage] Аноним 02/09/17 Суб 12:20:31 #533 №24174 
>>24164
Мне просто интересно, откуда ты взял y.
Аноним 02/09/17 Суб 12:29:17 #534 №24177 
>>24174
Ты про написание?
Аноним 02/09/17 Суб 13:33:17 #535 №24181 
>>24151
Завали ебало, модульный дед.
Аноним 02/09/17 Суб 13:36:44 #536 №24183 
>>24149
>Сканави
>для самых маленьких
Да это вообще пиздец, какие-то шизофреники этот фак писали, они бы ещё Бурбаки сказали читать. Забей на это большой хуй и лучше действительно читай школьные учебники, можешь ещё по ютубу порыскать, там много видео по математике.
Аноним 02/09/17 Суб 13:38:04 #537 №24185 
>>24183
Сканави - это пособие для учеников седьмого класса и выше вообще-то.
Аноним 02/09/17 Суб 14:11:02 #538 №24187 
>>24181
э ты че обзываешься?
Аноним 02/09/17 Суб 14:33:23 #539 №24188 
>>24183
Ну вот Киселева открыл, там достаточно подробно всё, даже очень. Пока Аримфетику читаю, решил дроби повспоминать.
Аноним 02/09/17 Суб 14:42:00 #540 №24189 
>>24185
Слишком строго написано, тяжело читать.
Аноним 02/09/17 Суб 15:04:50 #541 №24190 
>>24185
Скорее нет. Это для студентов, которые хотят освежить знания и чем-то дополнить их. Так даже в самом оглавлении написано.
Аноним 02/09/17 Суб 15:48:37 #542 №24191 
>>24165
Ну так что, матач?
Слились?
sage[mailto:sage] Аноним 02/09/17 Суб 16:49:48 #543 №24192 
>>24191
Вроде что-то похожее на формулы было выше. Ты знаешь как нумеровать целые числа?
Аноним 02/09/17 Суб 16:51:19 #544 №24193 
IMG20170902185030.jpg
>>24190
Аноним 02/09/17 Суб 16:51:55 #545 №24194 
>>24189
Потому что это не учебник.
Аноним 02/09/17 Суб 17:00:35 #546 №24196 
>>24151
Разница есть только между дореволюционным Киселевым и переработанным совками. В предисловии к совковому изданию написано, что изменено.
Аноним 02/09/17 Суб 17:32:33 #547 №24197 
>>24181
>модульный дед
Что это такое?
Аноним 02/09/17 Суб 17:41:25 #548 №24198 
>>24196
Есть издание только 2002 года, более новое к сожалению не нашел.
Аноним 02/09/17 Суб 17:50:09 #549 №24199 
>>24192
По какому принципу нумеровать отдельные целые – да, парочки целых – да, а вот формулу – нет
Аноним 02/09/17 Суб 18:03:11 #550 №24200 
>>24154
Только первое издание Грийе вышло в 2006, когда я уже школу закончил. То что я раньше не заглядывал в фак, его никак не опрадывает.
Аноним 02/09/17 Суб 18:08:09 #551 №24202 
>>24198
Это все репринты, а не новые издания. Искать смысла никакого.
Аноним 02/09/17 Суб 18:16:17 #552 №24203 
Хочу вкатиться в machine learning. Неплохо знаю Python, но с математикой никак. Нужны матрицы, вектора, пределы, производные, интегралы, всякое такое. Ну и теория вероятностей. Знаний об этом у меня ноль. Как можно в это вкатиться ньюфагу? Mathprofi?
Аноним 02/09/17 Суб 18:17:11 #553 №24204 
>>24203
Советую начинать с гамалогии.
Аноним 02/09/17 Суб 18:19:45 #554 №24205 
>>24202
Разве, вроде в каждом издании должны быть какие-либо переработки, тем более когда обложку меняют. Если не меняют - значит репринт просто. Там вроде даже количество страниц другое, значит в любом случае какой-то редизайн (хоть и незначительный) был.

Конечно разницы нет, но просто интересно что там изменили.
Аноним 02/09/17 Суб 18:30:00 #555 №24206 
Что такое point-slope form? В словарях нахожу перевод как "уравнение пучка прямых с центром в точке", хотя вариант английский выглядит как-то попроще, школьный уровень возможно даже. Не понимаю зачем эту формулу применяют и что получают в конце.
Аноним 02/09/17 Суб 18:48:49 #556 №24207 
c764901edb7cef98ea74fb50ae562b4133d774e5.jpg
>>24203
>Как можно в это вкатиться ньюфагу?
Precalculus.
Calculus, linear algebra.
Measure theory.
Probability theory.

Вот по порядочку описанные тобой темы. Книжек и прочего полно в гайдах из шапки. Вообще это всё уровень матшкольника, но у нас в деревнях перечисленное изучают на первом курсе универа, за исключением теорвера.
Аноним 02/09/17 Суб 18:49:34 #557 №24208 
>>24206
Одна из форм линейного уравнения. Позволяет задать линию имея координаты одной из её точек и слоп(угловой коэффициент).
Аноним 02/09/17 Суб 19:21:30 #558 №24209 
DSC0046.jpg
Как?
Аноним 02/09/17 Суб 19:32:51 #559 №24210 
>>24194
Ну и нахуй он усрался? К олимпиадам готовиться? Ах ты мразь ебанутая, иди свой интеграл считай, скотина больная.
Аноним 02/09/17 Суб 19:34:07 #560 №24211 
>>24207
Ты чё несёшь, анимешник больной?
Аноним 02/09/17 Суб 21:20:57 #561 №24214 
>>24209
Это такой школьный юмор в этом году в моде? Внимательно: в числителе разложи на множители.
Аноним 02/09/17 Суб 21:24:26 #562 №24215 
>>24207
Посоветуйте литературу по теме, и чтобы было не слишком сложно. В универе этот раздел не проходили.
Аноним 02/09/17 Суб 21:56:11 #563 №24216 
>>24215
Ты в универе должен был изучать матан(калькулюс и даже свыше него) и линейку на первом курсе. Гуманитарий что ли?
Аноним 02/09/17 Суб 22:26:31 #564 №24218 
>>24207
Спасибо! Буду разбираться.

>>24216
Не знаю насчёт него, но я тот самый анон, который задавал вопрос про ML >>24203 и я гуманитарий, да. Профильную математику на ЕГЭ сдал на 60 баллов.
Аноним 02/09/17 Суб 23:54:26 #565 №24219 
>>23175 (OP)
Анон, какой раздел посоветуешь основательно изучать первым? Пробовал и матан, и теорию множеств/логику, и абстрактную алгебру, и топологию, везде нахватался верхов, по сути ничего и не знаю. Есть ли раздел, с которого однозначно стоит начинать и почему это матан?
Аноним 03/09/17 Вск 00:17:21 #566 №24220 
Тупой вопрос, но всё же. Всем известно, что ∞ + 1, ∞ × 2 и т. д. это всё та же бесконечность, мощность множества остаётся прежней, между двумя элементами множеств можно найти биекцию и всё такое.

И всё же, если у нас есть бесконечная последовательность вида: ♥✗✗♥✗✗♥✗✗♥✗✗♥✗✗…, то ✗ в ней будет в некотором смысле больше (причём ровно вдвое больше), чем ♥. Есть ли способ это как-то формализовать?
Аноним 03/09/17 Вск 00:25:45 #567 №24221 
1503646292.jpg
>>24160
Напиши описание к нему, добавим.

>>24200
Шутка, бро, не кипятись. Лучше накинь ещё правок.
Аноним 03/09/17 Вск 00:32:42 #568 №24222 
fc6246ad8120e89156a2db1c0f21b8a953c9c764.png
>>24219
Ознакомься с учебными программами по математике, рекомендациями профессоров. Не забивай на учёбу в своём вузе. Матан отнюдь не краеугольный камень всего, хотя то же дифференциальное и интегральное исчисление применяется относительно широко.

>>24211
Я лишь стараюсь подсказать что-нибудь таким же, как сам, поскольку больше в этом разделе делать нефиг. Какие-то проблемы?

>>24218
Ты сдал ЕГЭ лучше, чем я. Поздравляю.
Книги в шапке. Всё в шапке, даже небо. Читайте йоба-гайд с форчана https://sites.google.com/site/scienceandmathguide/subjects/mathematics там гора всяких интересностей.
Horen Horen 03/09/17 Вск 00:50:59 #569 №24224 DELETED
Смысл жизни и есть в обладании этим смыслом.
Об этом мы не имеем права даже молчать.
Аноним 03/09/17 Вск 00:51:51 #570 №24225 DELETED
Вас тоже уже з@εб@л конструктивисто-дебил? У него в голове кроме говнавычислимости нихуяшечки же нет.
Horen Horen 03/09/17 Вск 00:54:56 #571 №24226 DELETED
Я взываю Бога наа поединк.
Horen Horen 03/09/17 Вск 00:56:05 #572 №24227 DELETED
>>24207
>>24150
Побольше почти 2D. Мн
Hreno Horen 03/09/17 Вск 00:57:27 #573 №24228 DELETED
https://m.youtube.com/watch?v=BPsRX7m6CX4
Аноним 03/09/17 Вск 00:57:53 #574 №24229 DELETED
>>24224
>>24226
>>24227
>>24228

Хорен, похоже, набухался. В честь чего только, интересно!
Аноним 03/09/17 Вск 01:04:20 #575 №24230 DELETED
>>24226
Думаю, что Хорен как раз тот человек, который сможет оценить комплекс идей Новой парадигмы мировоззрения с Критерием истины.

Несколько цитат:
Квантовый Мир один, целостен, логичен, а все мы его неотъемлемые части. Откуда немедленно следует Критерий истины.

Вера есть яркая визуализация достижимой цели, иначе это фантазия.

Самое простое определение бога - Бог есть самая сложная сущность Мира.

Бог автоматически появляется на VII этапе развития цивилизации по шкале Кардашёва.

Каждый может мнить себя правым, но прав лишь Единственный Бог, который обладает максимально возможными ресурсами и самыми полными Базами Данных знаний для выработки взвешенного решения.

Ответ на коан "Кто я?" Я есть квантовая пустота, искажаемая рябью суеты на планете Земля.

Любая планетарно-звездная цивилизация погибнет или будет существовать вечно. Это истина в 1 бит.

Новая парадигма мировоззрения необходима любой звездно-планетарной цивилизации для успешного прохождения Технологической сингулярности.
Horen 03/09/17 Вск 01:05:58 #576 №24231 DELETED
https://youtube.com/watch?v=LrgCGtMFeyU
Вы знаетее, ассоцаасации все, все берут меня в клешни.
Всемм известно, что что в английсксйком l" на конце (двойная: shall, ball) читается как "темная". Ммоя ассоцтация с этим звуком: венозная коорвь.
Horen 03/09/17 Вск 01:12:38 #577 №24232 DELETED
>>>24230
>Новая парадигма мировоззрения
Витгенштейгн и его трансцндентное.
Аноним 03/09/17 Вск 02:03:37 #578 №24234 
Матач, что происходит на http://www.mi.ras.ru/?c=noc? Где расписание на новый семестр? Они будут работать в этом семестре? Может быть, они уже начали, но простым смертным не сообщили? Кто-нибудь знает?
sage[mailto:sage] Аноним 03/09/17 Вск 02:13:38 #579 №24235 
>>24199
я подскажу как это сделать для пар состоящих только из положительных, для всех остальных тебе понадобится по сути запихать 4 пары вместо одного, в этом тебе поможет умножение на 4.
А для целых смотри.
(1,1)(1,2)(2,1) ...(n, m), и вот если у нас м н, то на каком месте он будет стоять? Как это зависит от н и от м? н - это столбец, а м - строка, ну или наоборот, неважно.
Аноним 03/09/17 Вск 03:50:46 #580 №24236 
>>24230

> Самое простое определение бога - Бог есть самая сложная сущность Мира.

Бог есть самая существенная и необходимая структура бытия! Иными словами, самая общая и необходимая истина, закономерность, без которой невозможно существование чего-либо.
Аноним 03/09/17 Вск 04:02:04 #581 №24237 
>>24230
>>24236
Самое простое определение Бога — Бог это всё.

Оно же и наиболее верное, потому что наименее засорённое конструктами человеческого мышления (если думать о мышлении, как о конструировании моделей, потому как модели по своей сути являются костылями, необходимыми человеку для осмысления реальности, ввиду принципиальной неспособности человека воспринимать и осмысливать реальность непосредственно).

Ну, я так считаю.
Аноним 03/09/17 Вск 04:28:30 #582 №24238 
>>24237
Наименее засоренное конструктами, в том числе материальными, – это определение Бога через Логос.

> если думать о мышлении, как о конструировании моделей

Дело не в самих моделях, а в том, что мы описываем ими. Хоть их и не существует, закономерность все же есть. Бог же является самой необходимой и важной истиной и закономерностью вообще, а также первопричиной не только относительно мира явлений.
Аноним 03/09/17 Вск 04:55:05 #583 №24239 
>>24238
Для этого тебе сначала придётся определить Логос. Что, как мне кажется, тоже чересчур сложный и надуманный (как это вообще свойственно грекам ≈500 л.д.р.х) конструкт.

В то время "всё" достаточно простая и интуитивная вещь. Не потому, что это слово реально является определением Бога, а потому что оно представляет из себя как бы "автоматический механизм", продолжающий "определять" Бога после того, как разговор окончен. После того, как было сказано, что Бог есть всё, "учитель" удаляется, а "ученик" может сколько угодно продолжать постигать Бога через ряд вопросов типа "вот эта кружка — Бог?" (да), "мой кот — Бог?" (да), "материя это Бог?" (да), "мои мысли — Бог?" (да), "мои чувства — Бог?" (да), "число — Бог?" (да), "изоморфизм между (ℝ, +) и (ℝ⁺, ×) — Бог?" (да) и т.д.

> Дело не в самих моделях, а в том, что мы описываем ими. Хоть их и не существует, закономерность все же есть.
Нет, не так. Закономерность — продукт человеческого мышления. Человек просто вынужден искать закономерности и объяснения, потому что иначе он неспособен воспринимать реальность. То есть, человек в принципе может после некоторой рефлексии понять и принять мысль, что "реальность (в прошлом, настоящем и будущем) — она просто есть", но это не даёт ему реального, непосредственного знания, ощущения — что же там "было, есть и будет". Некоторые буддисты-адвайта-ведданты и т.п. любят говорить о своём чувстве единства со Вселенной, но на деле человеку обычно приходится построить астрофизику, чтоб получить (очень неполное, несовершенное, но хоть какое-то) представление о далёких звёздах или придумать хотя бы Ньютоновскую механику и провести расчёты, чтоб хотя бы примерно предсказать, как скоро упадёт на землю брошенный кем-то мяч.

Человеческие мысли это как бы "сжатие с потерей", необходимое, потому что сжимаемый материал слишком велик, чтоб уместиться на носителе полностью и, тем более, чтоб производить с ним (исходным материалом) какие-то операции непосредственно.
Аноним 03/09/17 Вск 12:45:58 #584 №24240 
>>24219
Ты как-то плохо начинал, значит. Но главное не то как начнёшь, а как закончишь, правда ведь.
Начинай с теории множеств, а затем алгебру. Основы логики и так, в принципе, достаточно тривиальны, но серьёзно за неё браться на этапе становления не следует. А! Вот еще что: научись методам доказательств, да и вообще воспитывай в себе привычку всё доказывать. Матаном потом успеешь заняться, тем более, что как этот анимешник >>24222 сказал, он широко применяется, и тебе просто в прикладных целях будет очень полезным и нужным его знать.
Аноним 03/09/17 Вск 13:48:00 #585 №24243 
Где найти людей которые хотят подтянуть школьную математику и дальше?
Аноним 03/09/17 Вск 14:07:07 #586 №24244 DELETED
>>24224
https://www.youtube.com/watch?v=4fN1mMQn7w4
Аноним 03/09/17 Вск 14:11:21 #587 №24245 DELETED
>>24239
> Бог есть всё
Не бог это бог?
Аноним 03/09/17 Вск 14:18:47 #588 №24247 DELETED
>>24245
https://www.youtube.com/watchv=CYZxuDF2KPc&feature=youtu.be
Аноним 03/09/17 Вск 14:20:12 #589 №24249 DELETED
https://www.youtube.com/watch?v=CYZxuDF2KPc
Аноним 03/09/17 Вск 14:22:54 #590 №24250 
>>24243
Одна из самых популярных здесь тем
Аноним 03/09/17 Вск 14:41:06 #591 №24253 
>>24220
Вычти почленно ряд сердечко-крестик-нолик.
Аноним 03/09/17 Вск 16:12:37 #592 №24254 
Непрерывно ли множество неалгебраических чисел? И если да, то как это вяжется с фактом, что алгебраические повсюду между них?
Аноним 03/09/17 Вск 17:12:06 #593 №24255 
>>24243
Зачем тебе люди? По учебным материалам, которые часто здесь упоминали, можно спокойно заниматься самостоятельно, там нет заданий с "подводными камнями".
Аноним 03/09/17 Вск 18:56:53 #594 №24257 
>>24255
Да я вот как-то не слишком спокойно занимаюсь...
Аноним 03/09/17 Вск 19:16:08 #595 №24258 
>>24222
>Не забивай на учёбу в своём вузе
Учусь не на математика вообще, в том и дело что математика это хобби, уделять ей столько же времени, сколько есть у студентов, учащихся на матфаке, не получится.

>>24240
>Начинай с теории множеств
Наивной хватит, или упарываться аксиоматическими теориями?
> алгебру
В какой момент можно будет переходить с алгебры на другой раздел? Алсо почему именно алгебру советуешь?
Аноним 03/09/17 Вск 19:16:49 #596 №24259 
>>24257
=> /psy
Аноним 03/09/17 Вск 19:46:16 #597 №24260 DELETED
>>24245
Да.
Аноним 03/09/17 Вск 21:34:11 #598 №24265 
А есть где списочек разделов и теорий, необходимых к изучению для понимания доказательства ВТФ? Ну или как на буржуйском запрос сформулировать? гуглтранслят не особо помог
Аноним 03/09/17 Вск 22:32:18 #599 №24266 
>>24258
> Алсо почему именно алгебру советуешь?
Математика царица наук. Алгебра царица математики.
Аноним 03/09/17 Вск 22:32:56 #600 №24267 
4.png
Добрый вечер, Господа!

Есть Один Предел: lim(n->oo)(((n!)^(1/n))/n)
Интернет говорит, что ответ здесь 1/е, но решения не даёт. Сам решить не смог.

Желательно не использовать правило Лопиталя, и вообще решить как можно проще. Но рад буду любому решению, и даже совету, кроме совета идти в школу.
Аноним 04/09/17 Пнд 01:52:43 #601 №24273 
>>24239
> В то время "всё" достаточно простая и интуитивная вещь.

В то время это противоречиво.

> Нет, не так. Закономерность — продукт человеческого мышления.

Все так. Образ закономерности в голове не есть сама закономерность, но есть ее образ. Кружка или кот перед тобой есть и существует по некоторым законам. Самое общее и объективно существующее – это нетварные законы, то бишь Логос.

> Человеческие мысли это как бы "сжатие с потерей".

Вот. Истинное утверждение не есть сама истина. Альфред Тарский определяет эти понятия таким образом: высказывание “Q есть P” истинно тогда, когда Q есть P. Например, высказывание “Земля имеет эллипсоидную форму” истинно, если Земля действительно является эллипсоидноподобным телом. Таким образом, истинность и ложность выступают характеристикой наших мыслей и высказываний о реальности или не реальности. Но сама реальность никуда не денется, как и закономерности, присущие ей.
Аноним 04/09/17 Пнд 02:30:44 #602 №24275 
>>24273
Противоречивость — такой же выдуманный человеком концепт. С точки зрения Бога его не существует. Ему не нужно объяснять кому-то, что он такое есть, поэтому возникновение противоречий — проблема объясняющего (в данном случае — тебя) самому себе "что же это такое".

Заметь, что я не говорю о том, что это определение в рамках каких-то концептуальных систем — не является противоречивым (хотя это так). Это не важно. Важно то, что концепт противоречивости — шлак, грязь, выхлоп человеческого мозга.

Разумеется любые слова и идеи — такой же выхлоп. "Всё" в этом смысле удобно лишь потому, что оно простое и таким образом может привести к относительному просветлению коротким путём. А может и не привести, конечно, это зависит уже от гибкости ума.

А вот "Логос" — точно ни к чему не приведёт. Идея Логоса была нужна только когда человеческая культура была достаточно материалистична и непосредственна, чтоб пифагорейская философия и платонические идеалы могли бы предоставить, так сказать, "альтернативный взгляд". Для современного человека, который живёт с ощущением, словно бы математика в самом деле существует сама по себе — это только вредно.

> Все так.
Ты, конечно, можешь думать как угодно, я излагаю свою позицию. Она в том, что — ещё раз — нет, не так, всё это полная хуйня. Все эти слова, мысли, идеи, концепции — это порождение человеческого мышления. Закономерности не существует, это то, что многим так трудно понять. Это сказка, которую люди рассказывают сами себе, потому что так думать — приятно. Потому что чтоб понять, что набор частиц находящийся перед тобой в точке пространства-времени, которую ты называешь "будущим" начинает мяукать — тебе нужно упростить картину, назвав этот набор частиц "котом", который мяукает, когда хочет жрать. Ты находишь какой-то паттерн в поступающих тебе данных, который по твоему опыту всегда выполняется и назваешь его закономерностью. Это выглядит чудесно, словно всё действительно так и есть, словно F = am и всё такое. Но все эти "F = am" ты ну не лично ты, но это детали сам придумал, потому что они наиболее близко описали известную тебе реальность.

Человек — такой механизм, которому необходимо выдумывать закономерности, иначе он не может функционировать. Они возникают в мозгу у человека где-то на пути между поступлением сигнала в его органы чувств и движением его тела в направлении жратвы. А все "треугольники", "числа", "атомы", "логосы", Витгенштайны, Ньютоны, многочисленные алгебры и геометрии и прочая словесная мастурбация — это всё просто побочный продукт.

В реальности же — т.е., с точки зрения Бога — нет ни кота, ни корма, ни звуков, ни массы, ни ускорения. Ни субъектов и объектов.

Поэтому, да, логос — это Бог. И воздух, которым ты дышишь — Бог. И ты сам — Бог. И всех вас не существует вне твоего мозга. И в твоём мозгу, на самом деле, тоже — там только клетки и электрические импульсы.
Аноним 04/09/17 Пнд 02:31:57 #603 №24276 
Уебывайте в отдельный тред со своей философией.
Аноним 04/09/17 Пнд 02:33:35 #604 №24277 
>>24253
Не понял тебя.
Аноним 04/09/17 Пнд 06:57:40 #605 №24280 
>>24265
https://mathoverflow.net/questions/117602/what-do-i-need-to-understand-wiles-proof-of-fermats-last-theorem
Аноним 04/09/17 Пнд 06:58:29 #606 №24281 
>>24265
https://mathoverflow.net/questions/97820/a-recommended-roadmap-to-fermats-last-theorem
Не то скопировал, извини.
Аноним 04/09/17 Пнд 14:09:27 #607 №24300 
>>24258
С наивной лучше.
Аноним 04/09/17 Пнд 14:11:21 #608 №24301 DELETED
>>24300
Лучше если ты совсем недалёкий.
Аноним 04/09/17 Пнд 14:13:59 #609 №24302 
>>24301
Я опирался на его слова о том, что математика для него это хобби.
Аноним 04/09/17 Пнд 14:16:26 #610 №24303 DELETED
>>24302
Это ещё не значит, что он недалёкий.
Аноним 04/09/17 Пнд 14:18:10 #611 №24304 
>>24303
Не значит.
Аноним 04/09/17 Пнд 23:06:17 #612 №24315 
Как геометрически изображается диагональ цилиндрической поверхности? "обвивающая" линия?
Аноним 05/09/17 Втр 19:57:09 #613 №24338 
Если f(x) = 0,5x, то f(2x) = x?
Если это так, то тогда как это доказать?
Аноним 05/09/17 Втр 20:40:07 #614 №24341 
>>24338
f(2x) = 0,5(2x) = 1x
мимио-перельман
Аноним 05/09/17 Втр 20:44:01 #615 №24342 
>>24338
2x=t => f(2x)=f(t)=0.5t=0.5*2x=x.
По сути функция делит аргумент на 2, новую переменную она так же будет делить на 2.
Аноним 05/09/17 Втр 21:11:23 #616 №24343 
>>24341
>>24342
Тогда, если sin(2x) = 2sin(x)cos(x).
Видно, что в формуле аргумент понижается в 2 раза.
3x = t => sin(3x) = sin(t) = 2sin(t)cos(t) = 2sin(1.5x)cos(1.5x).
Я прав или лучше по-другому оформить?
Аноним 05/09/17 Втр 21:57:38 #617 №24347 
>>24267
это из книги?
Аноним 05/09/17 Втр 22:11:57 #618 №24348 
>>24338
Проверил через формулу Эйлера, вроде все так. Но вообще, не стоит путать линейные функции, коей является первая, и нелинейные. Это
> sin(2x) = 2sin(x)cos(x)
по сути функция вида f(c*x)=g(f(x)).
Аноним 05/09/17 Втр 22:51:36 #619 №24349 
>>24347
Нет. Нашёл старые записи из 10-ого класса по теме пределы, давали доп. заданием. Так и не смог тогда решить, а вот теперь интересно же, как его грамотно доказать.
Ответ взят из интернета, однако, в записях так же фигурирует, как правильный - подсказка учителя.
И какая вообще разница, откуда пример?
Аноним 06/09/17 Срд 06:27:45 #620 №24354 DELETED
Как доказать, что когамалогия существует и к тому же является уникальной?
Аноним 06/09/17 Срд 09:42:35 #621 №24356 
>>24349
Попробуй доказать, что ((x!)^(1/x))/x = ((x-1)/x)^x. Если получится, то предел последнего является следствием из второго замечательного предела и равен 1/e.
Аноним 06/09/17 Срд 11:52:53 #622 №24359 
>>24349
Загугли формулу стирлинга и реши, тебе в другом треде ведь уже написали
Аноним 06/09/17 Срд 12:52:09 #623 №24362 
Ненавижу математиков, может встретимся? Я вас всех разъебашу ,черти.
Аноним 06/09/17 Срд 12:57:37 #624 №24363 
>>24354
C]t,fk d cdjq gjgjcnfy? vhfpm

А теперь по нормальному.
Почему формула ньютона-лейбница работает?
Я понял суть. Ищем мы площадь под кривой, берем два бесконечно близких значения функции, умножаем на любое число между ними. Смотрим на результат и говорим "Так так так......ЕБАААААТЬ да ведь это же похоже на дифференциал функции. А давайте как найдем эту самую первообразную функцию от сих до сих и сравним ответы с нашим суммированием."
Я спрашиваю почему она работает не только на бесконечно малых интервалах? Или тут, неявно, тупо суммируют бесконечно малые по абсолютному значению первообразные,
Аноним 06/09/17 Срд 14:13:34 #625 №24365 
>>24359
Ее разве проходят в школе? Анону нужно решение уровня 10 класса.
Аноним 06/09/17 Срд 14:20:14 #626 №24367 
>>24365
В общеобразовательных школах пределы вообще не проходят. В моей не было, во всяком случае
Аноним 06/09/17 Срд 14:35:14 #627 №24368 
>>24367
Производные и интегралы проходят, значит и пределы проходят, по крайней мере у меня было так.
Аноним 06/09/17 Срд 14:54:49 #628 №24370 
>>24362
По какой теме?
Аноним 06/09/17 Срд 14:58:20 #629 №24371 
>>24368
производные и интегралы проходят чисто "табличкой". Типо есть такие функции, выучите их производные. Не о каких приращениях там не говорят.
Аноним 06/09/17 Срд 15:06:43 #630 №24373 
>>24371
Хуй знает, что ты учил и когда, то ли слишком давно, то ли совсем недавно. Сам закончил обычную школу 6 лет назад, учил и приращения, и пределы, производные детально проходились, интегралы менее детально, но все же не на уровне просто табличных. Ну да ладно.
Аноним 06/09/17 Срд 15:38:06 #631 №24376 
Посоветуйте сборник тождеств по математике. Можно по тч, комбе.
Аноним 06/09/17 Срд 16:38:23 #632 №24382 
Доска не о том, но как все-таки плавно заехать в физику? Студент 1 курс, по физике пиздец какой-то, интегралы/пределы и задачи с этими йобами. Мб есть книжка годная, где вначале теория желательно с ВЫШМатом и тд, а потом практика
Аноним 06/09/17 Срд 17:37:05 #633 №24384 
>>24363
В любом учебнике матана есть доказательство
Аноним 06/09/17 Срд 18:29:49 #634 №24387 
63438511p0.jpg
>>24382
Думаю, это тебе поможет http://ilib.mccme.ru/djvu/zeld-yag.djvu
Аноним 06/09/17 Срд 21:21:11 #635 №24394 
Безымянный.png
начали учить матрицы. чувство, что задание легчайшее, но не понимаю, что дальше делать-то? формулы для определителя знаю, но какие тут элементы...
Аноним 06/09/17 Срд 23:39:00 #636 №24399 DELETED
Как доказать, что каждое дискретное пространство имеет тривиальную первую когамологию?
Аноним 07/09/17 Чтв 10:59:37 #637 №24407 
>>24394
Ищи определение A_{i}
Аноним 07/09/17 Чтв 14:52:58 #638 №24414 
20170907163656.jpg
нужно построить график. получается чушь( помогите пжл
Аноним 07/09/17 Чтв 17:25:29 #639 №24419 
>>23901
Бамп из последних сил.
Аноним 07/09/17 Чтв 22:30:43 #640 №24421 
func-anon.png
>>24414
А что за хитрые вычисления? Почему тетрадь в линию, грязь кругом? Ты не уважаешь древнейшую науку?
Ну можно просто по-дедовски составить таблицу и сделать график, а дальше я не знаю, тут какая-то хитрая матеша наверное есть, чтобы типа найти самое большое по абсолютной величине x0 такое, что начиная с x0, функция возрастает/убывает монотонно. Но я тупой и не знаю как. А другим пофиг на вопросы школьников.
Аноним 07/09/17 Чтв 23:20:53 #641 №24426 
>>24394
Это же алгебраические дополнения соответствующих элементов, не?
Аноним 07/09/17 Чтв 23:38:42 #642 №24427 
IMG20170907233353.jpg
Помогите с математической индукцией с неравенствами. Как доказывать, преобразовывть неравенства? Если при уравнении можно просто сделать замену, ведь мы принимаем уравнение за верное то тут я хз как преобразовавать. Пробовал и факториалы раскрывать, никакой закономерности не вижу, общего делителя не нахожу.
Аноним 08/09/17 Птн 00:07:13 #643 №24428 
>>24427
во-первых, у тебя ошибка в степени индукционного перехода справа, там n+1, а не n+2. Во вторых, раздели случай n+1 на два множителя, чтобы один из множителей был равен выражению из n случая. Потом просто докажи неравенство для оставшегося

Вот тебе наброски древних людей об этой задаче https://puu.sh/xu1tz/80637bb9fe.png
Аноним 08/09/17 Птн 00:20:46 #644 №24429 
Снимок.PNG
>>24428
Падажи, это что за наскальные надписи?
Аноним 08/09/17 Птн 00:52:33 #645 №24431 
>>24429
намек на то, как собственно доказывать последнее неравенство. это произведение от n+1 до 2n+2
Аноним 08/09/17 Птн 01:01:18 #646 №24432 
>>24431
Ну пиздец, нам на паре это дали вообще дали без алгебраической суммы и произведения, узнал что значат эти закорючки когда домой пришел. Видимо надо сначала курить их. Кстати, как называется "С", который показывает сколько есть подмножеств k элементов в n множестве?
Аноним 08/09/17 Птн 01:03:47 #647 №24433 
>>24432
жиза. ты из дс универа? тоже с математической индукцией не особо. доказывали бином ньютона и еще какую-то парашу
Аноним 08/09/17 Птн 01:10:41 #648 №24434 
>>24433
Дс-2. Тот же бином, хех. Я думала вообще начнем с интегралов, готовился к ним. По лекции вообще теория множеств и дискретка была. Они там вообще координируют учебный процесс?
Аноним 08/09/17 Птн 01:21:57 #649 №24435 
>>24432
сочетания называется
Аноним 08/09/17 Птн 02:22:19 #650 №24437 
Capture.PNG
Анон, поясни, хули так?
Аноним 08/09/17 Птн 05:27:35 #651 №24439 
1.PNG
Как это говно руками решать, аноны?
Аноним 08/09/17 Птн 07:16:58 #652 №24440 
>>24439
тэкс. три икс к кубе плюс константа. получается второй замечательный предел надо юзать

Аноним 08/09/17 Птн 10:01:17 #653 №24441 
лимт.png
>>24439
Аноним 08/09/17 Птн 11:07:25 #654 №24442 
>>24441
Пиздабол, там не то в ответе. Учи матан.
>>24440
А вот ты вроде прав. э

Как быстро надрочиться видеть все эти трансформации и возможные перестановки, если матаном больше пяти лет не занимался?
Аноним 08/09/17 Птн 12:17:07 #655 №24444 
lim.png
>>24442
>не то в ответе
Ебу дал?
Аноним 08/09/17 Птн 12:27:20 #656 №24445 
2017-09-08-122306292x215scrot.png
задача из линейного программирования. пик.
R должно быть между 5R и 7R.
получается система:
7R - 5 >= 0
5R - 4 <= 0
|4R - 3| >= 0

минимизировать R.
получается R = 3/4.

не правильно?

на глаз, можно найти минимум на графике: |7R - 5| + |5R - 4| + |4R - 3|

задача из: http://kvant.mccme.ru/1975/10/fizika_i_linejnye_neravenstva.htm
Аноним 08/09/17 Птн 13:03:36 #657 №24447 
>>24445
>R должно быть между 5R и 7R.
опс. R должно быть между U3/I3 и U2/I2.

как решить?

Аноним 08/09/17 Птн 13:59:52 #658 №24451 
>>24442
он тебе правильный ответ подсказал. просто сделать привязки в уме. если есть степень, значит мб этот предел итд
Аноним 08/09/17 Птн 14:13:01 #659 №24452 
>>24445
Попробуй линейную регрессию.
Аноним 08/09/17 Птн 18:04:17 #660 №24474 
Capture.PNG
>>24444
Аноним 08/09/17 Птн 18:06:05 #661 №24475 
>>24474
А почему у тебя "=" вместо стрелочки?
Аноним 08/09/17 Птн 18:13:24 #662 №24476 
Где можно почитать про матрицы и определители? Ибо для меня это какая-то ебанутая игра в шахматы. Желательно с разъяснениями почему это работает.
Аноним 08/09/17 Птн 18:32:40 #663 №24478 
>>24476
Винберг.
Аноним 08/09/17 Птн 19:45:43 #664 №24481 
>>24475
Тому що так Мэпл работает.
https://www.maplesoft.com/support/help/maple/view.aspx?path=limit
Аноним 08/09/17 Птн 20:39:58 #665 №24484 
>>24452
линейная регрессия с линейным программированием:
r - (U_i - I_i R) ≥ 0
r + (U_i - I_i R) ≥ 0

минимизировать для r.

похоже на:
r = sum |U_i - I_i R|
если раскрыть модуль:
r = sum(U_i - I_i R) и r = sum(I_i R - U_i)

https://math.stackexchange.com/questions/47944/linear-regression-for-minimizing-the-maximum-of-the-residuals

Аноним 08/09/17 Птн 22:17:29 #666 №24491 
Объясните, пожалуйста, почему в доказательстве существования квадратного корня в множество S = {y ∈ R | y > 0 && y^2 < x} не входит непосредственно y = sqrt(x)? Почему, несмотря на то, что в доказательстве выводится, что L (L^2 = x) - точная верхняя граница множества S, это же самое L не попадает в множество S из-за строгого неравенства y^2 < x?

Ссылка на доказательство: http://planetmath.org/existenceofsquarerootsofnonnegativerealnumbers
Аноним 09/09/17 Суб 00:18:53 #667 №24492 
Является ли кватернион решениеv какого-либо вещественного уравнения, как x^2=-1 => x=i?
Аноним 09/09/17 Суб 04:07:24 #668 №24494 
image.png
Не могу понять, сходится ли ряд, вольфрам тоже не может.
Аноним 09/09/17 Суб 04:15:01 #669 №24495 
>>24494
Ну, там lim=0, если тебе это поможет.
Аноним 09/09/17 Суб 04:31:58 #670 №24496 
>>24491
Я нихуя не понял в этом доказательстве. Есть ведь дедекиндовы сечения и принцип разделяющего числа, что же ещё надо?
Аноним 09/09/17 Суб 06:41:03 #671 №24497 
>>24495
lim чего? Последовательности cos2(2n) / n?
Аноним 09/09/17 Суб 09:13:09 #672 №24499 
>>24496
Судя по всему, недостаточно сказать, что если у нас есть A = {a ∈ R | a > 0 && a < x^2} и B = {b ∈ R | b > x^2}, то разделяющее их число L будет удовлетворять L^2 == x. Там и доказывается, что L^2 действительно в этом случае равен x. Последнее довольно очевидно, но, судя по всему, недостаточно.

Переформулирую свой вопрос. Может ли быть такое, что точная верхняя граница S = {a ∈ R | a^2 < 2} будет равна a = sqrt(2)? В данном случае a не входит в S, но, несмотря на это, в доказательстве выводится, что sup S == a == sqrt(2)
https://math.stackexchange.com/questions/1415235/prove-the-existence-of-the-square-root-of-2
Аноним 09/09/17 Суб 14:05:33 #673 №24505 
>>24497
общий член, u_n -- штука под знаком сигмы, стремится к нули, при n -> inf, значит ряд сходится.
Аноним 09/09/17 Суб 14:08:11 #674 №24506 
>>24505
блин, нет.
если ряд сходится, то общий член к нулю. обратно не всегда верно.
Аноним 09/09/17 Суб 15:07:30 #675 №24508 
>>24505
sum(1/n) расходится, например
Аноним 09/09/17 Суб 15:22:58 #676 №24509 
plot.png
>>24494
нельзя показать, что ряд расходится зная что среднее cos^2(n) = 1/2
sum 1/(2n) расходится.

Аноним 09/09/17 Суб 18:05:21 #677 №24512 
>>24509
>matlab
Аноним 09/09/17 Суб 18:11:42 #678 №24513 
>>24509
Что это за теорема?
Аноним 09/09/17 Суб 18:22:53 #679 №24519 
>>24512
maxima.

я думаю ряд cos^2(n^2)/n расходится.
cos^2(n^2) = 1 - sin^2(n^2)
sum 1/n - sin^2(n^2)/n
левая часть суммы расходится.
или так нельзя?
Аноним 09/09/17 Суб 18:28:30 #680 №24521 
>>24519
>>24509
Здесь какой-то бред
Аноним 09/09/17 Суб 18:38:20 #681 №24525 
Подкиньте гайд как прокачать логичность мышления и смочь в понимание доказательства теоремы Пифагора.
Аноним 09/09/17 Суб 18:40:16 #682 №24526 
>>24525
Что там понимать? Самое просто доказательство - через вписанный и описанный квадрат, гугли.
Аноним 09/09/17 Суб 18:47:14 #683 №24527 
>>24526
Пока не понимаю.
Аноним 09/09/17 Суб 18:50:12 #684 №24528 
>>24525
Начни геометрию с начала.
Аноним 09/09/17 Суб 19:02:21 #685 №24531 
>>24513
среднее cos^2(n) = 1/2?
ищи среднее значение функции.

>>24521
это же вопросы.
а второе почему бред?
если sum(u_n + v_n)
и sum(u_n) расходится, то sum(u_n + v_n) может сходится?
Аноним 09/09/17 Суб 19:05:42 #686 №24533 
>>24528
Но я ее перестал понимать с 7 класса, когда все эти аксиомы и начались. Там сам по себе нужен навык логического мышления? С другой стороны как же все эти школьники учат это...
Аноним 09/09/17 Суб 19:13:42 #687 №24534 
>>24531
Какая разница какое среднее? Тебя спросили теорему о связи среднего значения и предела.

>если sum(u_n + v_n)
и sum(u_n) расходится, то sum(u_n + v_n) может сходится?
да
Аноним 09/09/17 Суб 19:19:32 #688 №24535 
>>24519
Хорошая попытка, но нет. Разность двух расходящихся может быть сходящейся. Попробуй через косинус двойного угла, помню на семинарах по матану как-то так решалось.
Аноним 09/09/17 Суб 19:20:48 #689 №24536 
>>24531
>среднее cos^2(n) = 1/2?
>ищи среднее значение функции.
Это название теоремы? Или ее доказательство? Я вот в матане очень слаб, может действительно не помню такой теоремы.
Аноним 09/09/17 Суб 19:21:52 #690 №24537 
>>24533
Школьная геометрия призвана, чтобы учить логически мыслить, совет попробуй с начала самый дельный, который тут могут дать. Дело в том, что нормально человеку сложно представить, как можно не понять это доказательство, а проф педагагов тут нет.
Аноним 09/09/17 Суб 19:41:03 #691 №24540 
41139741p0.jpg
>>24537
>Школьная геометрия призвана
...напрочь отбить у людей желание заниматься этой хуйнёй.
Аноним 09/09/17 Суб 19:52:44 #692 №24541 
>>24540
Кому как. То, что она кому-то не нравится, говорит скорее о проблемах у этого человека. А так простой и приятный предмет, задачи там тем более сейчас на уровне прямо примени теорему. Ну это я так считаю.
Аноним 09/09/17 Суб 20:02:55 #693 №24543 
>>24540
Что же в ней не так?
Аноним 09/09/17 Суб 20:09:47 #694 №24544 
>>24543
Как человек, который был в классе с математическим углублением и классическим изучением могу сказать, что в классическом обучении геометрия сильно сжата, её можно понять, но если ребёнок действительно одарён или ему интересен материал. В других случаях, как у меня, например,понимание сыпалось на треугольниках, теореме Пифагора и далее по программе. А вернуть те знания довольно-таки трудно. Знания есть, а применения на практике не было из-за банального недопонимания. Зачем проводить прямую, почему на том рисунке треугольник {...}, а не {...}.
Аноним 09/09/17 Суб 20:10:00 #695 №24545 
>>24541
>То, что она кому-то не нравится, говорит скорее о проблемах у этого человека.
И эта проблема - сама школьная геометрия. Или способы её преподавания. Более тошнотворной вещи я не встречал. Аутичные игры с убогими фигурками, впихиваемые через силу - вот что такое школьная геометрия.
Аноним 09/09/17 Суб 20:17:02 #696 №24546 
>>24544
Я тоже учился геометрии по разным программам, проблем никогда не было ни у меня, ни у некоторых нормально учащихся одноклассников.
Аноним 09/09/17 Суб 20:18:17 #697 №24547 
>>24545
Что ты вообще на этой доске забыл?
Аноним 09/09/17 Суб 20:20:43 #698 №24548 
>>24547
По-твоему, все, кто не любит школьную геометрию, не должны здесь находиться?
Аноним 09/09/17 Суб 20:33:23 #699 №24550 
>>24548
Да
Аноним 09/09/17 Суб 20:36:49 #700 №24551 
>>24550
Можешь смелее рассуждать в том же духе. Например, "не уважаешь армию/тюрьму - не мужик, вон из нашей четкой компашки", "не уважаешь Путина - враг народа, вон из страны" и прочий нонсенс. Вперёд.
Аноним 09/09/17 Суб 21:05:27 #701 №24553 
Подозреваю в этом анончике обычного вонаби-математика, со знаниями 8 класса и задачами про множества (которых тут половина).
>>24545
Где-то тут ходила паста о ненужности школьной геометрии. Мне сложно понять мотивацию людей, которые одновременно считают геометрию "аутичными играми с убогими фигурками", но при этом спокойно воспринимают другую математику. Кто вы и зачем вы занимаетесь матешей?
Аноним 09/09/17 Суб 21:08:24 #702 №24554 
>>24553
Я, кстати, тоже не понимаю. К науке математике школьная геометрия ближе всего из школьной программы.
Аноним 09/09/17 Суб 21:15:36 #703 №24555 
>>24553
Лол, ты совсем аутист? Хули ты хотел от начинайко-треда, куда заходят самые разные люди с самым разным отношением к математике?
Аноним 09/09/17 Суб 21:18:42 #704 №24556 
Если я программист, то насколько хорошо я обязан знать математику?
Аноним 09/09/17 Суб 21:23:21 #705 №24557 
>>24555
>аутист
Угадываю анона по почерку
Аноним 09/09/17 Суб 21:23:49 #706 №24558 
Собираюсь смотреть лекции на Лекториуме. Какие подводные?
Начну с этого
https://youtube.com/watch?v=dPw0gI08hOk
Аноним 09/09/17 Суб 21:24:51 #707 №24559 
>>24558
Ты хорошо подумал, Калган?
Аноним 09/09/17 Суб 21:25:47 #708 №24560 
>>24557
Сталкер-яндере что ли?
Аноним 09/09/17 Суб 21:26:25 #709 №24561 
>>24559
А что не так?
Аноним 09/09/17 Суб 21:26:55 #710 №24562 
>>24558
а задани5я каки5е будешь делат6ьТ:?
Аноним 09/09/17 Суб 21:28:03 #711 №24563 
>>24562
Не знаю (
Аноним 09/09/17 Суб 21:30:24 #712 №24564 
>>24563
ну вот6 наверное еди5нст6венные подводные.
Аноним 09/09/17 Суб 21:31:18 #713 №24565 
>>24564
И что делать? Найти задачник и решать? И спрашивать тут
Аноним 09/09/17 Суб 21:32:00 #714 №24566 
>>24565
да
Аноним 09/09/17 Суб 21:34:38 #715 №24567 
>>24565
да
ли5бо чи5т6ай параллельно учебни5к с упражнени5ями5

к лекци5ям ест6ь конспекты может6 т6ам указанно от6куда они5 берут6 задачи5
Аноним 09/09/17 Суб 21:34:54 #716 №24568 
>>24556
Обязан ни на сколько. Если код-макака, знать математику не надо. Если специалист computer science, пригодится может что угодно из математики. В стандартный пак "Прикладная математика и информатика" в вузе входят матан, алгебра, дифуры, дискретка и вычислительные методы. Нагуглить программу можешь сам
Аноним 09/09/17 Суб 21:36:23 #717 №24572 
>>24568
Забыл школьную геометрию. Она царица математики по версии ведущих профессоров с двач.хэка
Аноним 09/09/17 Суб 21:37:48 #718 №24573 
>>24556
Она может пригодиться в любом проекте, особенно в игровых.
Аноним 09/09/17 Суб 21:39:40 #719 №24574 
>>24572
Чел, мы не хотели тебя обидеть, но если ты называешь евклидову геометрию игрой в бисер, ты можешь назвать таковой что угодно в математике
Аноним 09/09/17 Суб 21:47:29 #720 №24576 
>>24572
Она судя по всему дает значительный прирост в мышлении.
Аноним 09/09/17 Суб 21:50:44 #721 №24577 
>>24568
>Нагуглить программу можешь сам
Да, на их много. Какую лучше брать за пример?
Аноним 09/09/17 Суб 21:52:01 #722 №24578 
>>24574
Что угодно в математике лишено смысла и делается по приколу. Но планиметрия и стереометрия это не прикольно ни разу.
Аноним 09/09/17 Суб 21:52:42 #723 №24579 
>>24577
Вербита
Ты сначала скажи нам какой ты программист, что уже умеешь, что хочешь научиться.
Алсо ответ прост, что-то не понимаешь - гуглишь - читаешь.
Аноним 09/09/17 Суб 21:53:08 #724 №24580 
>>24578
Ок, ок, ок. Тебе не нравится, мы поняли.
Аноним 09/09/17 Суб 21:55:00 #725 №24581 
>>24579
Так именно, что я новичок и не хочется, как бы это сказать, в грязь упасть, в общем. Нормальным программистом хочу стать, а не веб.
Аноним 09/09/17 Суб 21:57:22 #726 №24583 
Скриншот 09-09-2017 214852.png
Очередной довен квешн на вашей доске матанонебожителей.
Прошу объяснить мне как из объведеного выражения получилась 1/2(хотя бы сказать какая это тема чтобы я почитал)

и причем тут p/2 и p/6

Спасибо.
Аноним 09/09/17 Суб 21:58:09 #727 №24585 
>>24580
>мы
Уходите в свой оснований-тред. От вас никакой реальной помощи и подсказок не дождёшься, только мутные срачи с умным видом.
Аноним 09/09/17 Суб 21:58:20 #728 №24586 
>>24583
Это тригонометрия называется.
Аноним 09/09/17 Суб 21:59:56 #729 №24587 
>>24586
можешь поподробнее
Аноним 09/09/17 Суб 22:01:17 #730 №24588 
>>24587
Дисциплина в математике, которая изучает отношения сторон треугольника. На твоём скриншоте тригонометрическое уравнение с областью определения.
Аноним 09/09/17 Суб 22:02:09 #731 №24589 
>>24588
спасибо
пойду выучу тригонометрию
Аноним 09/09/17 Суб 22:03:55 #732 №24590 
>>24589
Давай, в факе есть учебник по тригонометрии, кстати, можешь его попробовать.
Аноним 09/09/17 Суб 22:10:47 #733 №24591 
>>24583
В первой системе в первом уравнении переносишь в правую часть вычитаемое, сокращаешь обе части и получаешь первое уравнение во второй системе. Обычное тригонометрическое уравнение, которые разбираются в сборнике Сканави
Аноним 09/09/17 Суб 22:39:54 #734 №24592 
>>24581
Перед кем ты собираешься падать в грязь лицом, если учишься один дома?
Аноним 09/09/17 Суб 22:41:13 #735 №24593 
>>24585
Ты о чем? Я помогаю во всем, что знаю, вон с рядом что смог посоветовал. Алсо я не знаю о чем основания тред, но я занимаюсь логикой. Мне стоит туда идти?
Аноним 09/09/17 Суб 22:41:37 #736 №24594 
>>24593
Поехавший.
Аноним 09/09/17 Суб 22:51:02 #737 №24595 
>>24556
Лямбда-исчисление, конструктивизм, теория типов, теория категорий. Логика.
Аноним 09/09/17 Суб 22:51:25 #738 №24596 
>>24592
Потом работать же.
Аноним 09/09/17 Суб 22:57:24 #739 №24598 
>>24596
Прости, но для работы тебе нужно уметь программировать, а не знать достаточный уровень матеши, чтобы научиться программировать.
Аноним 09/09/17 Суб 23:01:20 #740 №24600 
>>24581
>Нормальным программистом
Ну значит код-макакой.
читай >>24568
Аноним 09/09/17 Суб 23:04:00 #741 №24601 
>>24598
Я понимаю, поэтому и спросил про обязательный уровень.
Аноним 09/09/17 Суб 23:07:03 #742 №24602 
>>24601
Основ гамологической алгебры должно хватить.
Аноним 09/09/17 Суб 23:14:25 #743 №24603 
>>24601
>Я понимаю
>пишет противоположное
Еще раз говорю. Если ты хочешь стать программистом, то ты становишься им, по ходу дела понимая, что тебе надо изучить по математике, а не наоборот. Сейчас тебе тут насоветуют всякого, а хоть раз тебе от этого понадобится процент, да и то, придется повторять, потому что ты все к хуям забыл.
А вообще заебали вкатывальщики. В говнокодерстве проблем намного больше, чем выглядеть дураком перед колегами.
Аноним 10/09/17 Вск 02:47:45 #744 №24608 
>>24603
Вот тебя двачую. Понадобится что-то - выучишь, рили.
У нас в универе было четыре сема ебучего матана и только потом один сем изредка показывали, как его можно юзать. Нахуя оно такое нужно, а?
Аноним 10/09/17 Вск 14:24:50 #745 №24615 
>>24494
вот доказательство для схожего ряда:
https://math.stackexchange.com/questions/2160951/sin2-n-n-series-when-sin-is-defined-on-complex-numbers
я немного добавлю.

перепишем ряд cos(n^2)^2/n так:
1/(2n) + cos(2n^2)/(2n) -- известное тригоном. тождество

теорема: если sum(a_n) расходится, sum(b_n) сходится, то sum(a_n + b_n) расходится.
можно доказать из теоремы: если sum(a_b) сходится и sum(b_n) сходится, то sum(a_n +/- b_n) сходится.

так-как 1/(2n) расходится, то достаточно доказать, что cos(2n^2)/(2n) сходится.

признак Дирихле:
https://en.wikipedia.org/wiki/Dirichlet's_test

так-как
e^(jn) = cos(n) + j sin(n) -- формула Эулера
то
cos(2n^2) = R {e^(2jn^2)} -- реальная часть комплексного числа.

наш ряд теперь выглядит:
sum(1/(2n) + 1/(2n) R {e^(2jn^2)}) -- все это для Дирихле
можно R вынести за сумму. не знаю почему.

a_n b_n = 1/(2n) e^(2jn^2)
Дирихле:
1. a_{n + 1} < a_n
2. для b_n грань 2.
значит a_n b_n сходится.

значит наш ряд расходится.
Аноним 10/09/17 Вск 15:23:59 #746 №24617 
Абитуриент вкатывается. Есть диф. уравнение: xdy=ydx
Интегрируем и получаем решение ln|y|=ln|x|+C; x=0; y=0
Возьмем y за функцию. Во всех учебниках/решебниках пишут ответ y=C'x
Какого хуя они модули убирают?
Аноним 10/09/17 Вск 16:09:13 #747 №24619 
>>24617
C - это произвольное число, которое может быть и отрицательным.
Аноним 10/09/17 Вск 16:17:42 #748 №24620 
IMG20170910161345.jpg
>>23175 (OP)
Подскажите, пожалуйста, начало решения в следующей систему дифференциальных уравнений.
Аноним 10/09/17 Вск 16:28:40 #749 №24621 
>>24620
z встречается только в одном уравнении?
Аноним 10/09/17 Вск 17:24:08 #750 №24625 
>>24541
>простой и приятный предмет, задачи там тем более сейчас на уровне прямо примени теорему
Это все только ухудшает.
Аноним 10/09/17 Вск 17:51:27 #751 №24631 
2017-09-10173128.jpg
Как данное безобразие решается? Я уже что только не делал. И корни в степень преобразовывал, и сокращать всячески пытался, всё равно не могу получить нормального ответа. Даже PhotoMath какой-то длинный завуалированный ответ даёт.
Аноним 10/09/17 Вск 17:53:47 #752 №24632 
Множества {∅, {∅}} и {{∅}} равны?
Аноним 10/09/17 Вск 18:02:22 #753 №24633 
>>24632
>{∅, {∅}}
Это что такое?
Аноним 10/09/17 Вск 18:02:37 #754 №24634 
Capture.PNG
Какого хера Дерево не хочет считать сумму? Даже бесплатный Вольфрам взял, ЧЯДНТ?
Аноним 10/09/17 Вск 18:03:05 #755 №24635 
>>24631
Умеешь преобразовывать корень в степень?
Аноним 10/09/17 Вск 18:16:34 #756 №24637 
Снимок экрана от 2017-09-10 18:11:45.png
>>24633
Единица определённая множеством.
Аноним 10/09/17 Вск 18:20:32 #757 №24639 
>>24637
Тогда нет. Пустоем множество - именно множество. Т.е. {∅, {∅}} состоит из двух элементов, одно из которых пустое множество, а другое - непустое, состоящее из одного элемента - пустого. Эти же рассуждения верны, если заменить пустое множество на любое другое.
Аноним 10/09/17 Вск 18:20:34 #758 №24640 
>>24635
А что сложного? Корень квадратный - это степень 1/2. И так далее.
Аноним 10/09/17 Вск 18:25:01 #759 №24641 
Почему говорят об общей алгебре как способе поднятия абстрактности мышления? Что в ней особенного?
Аноним 10/09/17 Вск 18:28:17 #760 №24642 
>>24639
Если заменить {∅} на x, то чтобы доказать, что {∅, x} = {x} нужно доказать, что они подмножества друг друга.
1. {x} подмножество {∅, x} т.к. оно имеет только 1 элемент и этот элемент принадлежит другому множеству.
2. множество {∅, x} состоит из двух элементов. Надо доказать что оба эти элемента есть во другом множестве. Первый элемент x. Он есть в другом множестве. Второй элемент ∅. Пустое множестве это элемент любого множества. Значит он тоже есть в другом множестве.
Значит эти два множества равны.

Забыл сказать, что говорим про наивную теорию множеств.
Аноним 10/09/17 Вск 18:30:46 #761 №24643 
>>24640
Преобразуй все корни в степени.
Аноним 10/09/17 Вск 18:31:35 #762 №24644 
>>24643
Очевидно, мне это не помогло.
Аноним 10/09/17 Вск 18:37:49 #763 №24646 
>>24642
>Пустое множестве это элемент любого множества.
Я, конечно, в мат логике только начинаю делать первые шаги, но здесь слово элемент надо заменить на подмножество, а если это сделать, то доказательство будет невернум.
Аноним 10/09/17 Вск 18:37:53 #764 №24647 
>>24633
Это множество. Ваш КО
Аноним 10/09/17 Вск 18:38:19 #765 №24648 
>>24644
Ты умеешь работать со степенями? Там знаешь таблички, свойства степеней.
Аноним 10/09/17 Вск 18:39:28 #766 №24649 
>>24648
Естественно.
Аноним 10/09/17 Вск 18:40:23 #767 №24650 
>>24642
Пустое множество - это подмножество любого множества, а не элемент, строго говоря.
Аноним 10/09/17 Вск 18:42:27 #768 №24652 
>>24649
Покажи что у тебя получилось, после того как ты превратил корни в степени сделал все что мог, чтобы упростить эти степени по их св-вам.
Аноним 10/09/17 Вск 18:44:41 #769 №24653 
>>24649
А, ну да, там опечатка, разумеется.
Аноним 10/09/17 Вск 18:47:52 #770 №24654 
>>24653
Где конкретно?
Аноним 10/09/17 Вск 18:48:43 #771 №24655 
>>24654
Да хер его знает, может там деление?
Аноним 10/09/17 Вск 19:08:53 #772 №24656 
>>24632
нет
Аноним 10/09/17 Вск 19:16:18 #773 №24658 
>>24634
Что, тут никто не пользует инструменты белого человека?
Причем если задать точность n цифр после запятой, всё ок почему-то, даже если n=9000
Аноним 10/09/17 Вск 19:23:05 #774 №24660 
>>24634
Может лимит посчитаешь?
Аноним 10/09/17 Вск 19:25:24 #775 №24661 
>>24660
Он сходящийся один хуй.
>>24658
Аноним 11/09/17 Пнд 03:13:32 #776 №24667 
CodeCogsEqn.gif
>>23175 (OP)
Помогите мне пожалуйста. Не получается решить эту систему с 5 неизвестными,ничего не получается выразить, подскажите пожалуйста, возможно её решить вообще? Или эта система является несовместной? И если можно её решить, то подскажите как. Потому что если даже домножить первое уравнение на x, второе на у и третье на z, сложить, устраняется мю, но после этого всё равно дальше ничего у меня не получается.
Аноним 11/09/17 Пнд 04:15:33 #777 №24669 
Capture.PNG
Аноны, в решении суммы ряда на всем известном сайте есть пикрил. Правильно ли я понимаю, что 1/20 сократится следующим за ней а, и это справедливо для любого а и а+1, а т.к. сумма у нас бесконечная, то эту 1/20 он просто вычеркнул?
Аноним 11/09/17 Пнд 12:08:59 #778 №24680 
>>24667
Если прировнять попарно первые три ур-ия, то, что получится?
Аноним 11/09/17 Пнд 15:25:16 #779 №24689 
>>24669
да, остаются первое, третье слагаемое и в конце два
Аноним 11/09/17 Пнд 20:54:06 #780 №24695 
CodeCogsEqn.png
>>24680
ну вот что получилось, но из этого мне не понятно как дальше что выразить
Аноним 11/09/17 Пнд 20:54:17 #781 №24696 
Для Вольфрама и Мэпла -1^n != (-1)^n. Чому так? Какая из этих записей эквивалентна минус двойке в степени n (специально написал буквами, потому что разницу между двумя первыми не понимаю, и не хочу ошибиться в записи)?
Аноним 11/09/17 Пнд 21:38:59 #782 №24697 
>>24695
Хм. И справа и слева 2, альфы какие-то, действительно, что же делать. Я думаю делать вот что: набить руку на сотне другой примеров из любого задачника по школьной математике, а не хвататься за системы из 5 ур-ий.
Аноним 11/09/17 Пнд 21:40:21 #783 №24698 
>>24695
А, ну если прям очень хочется, то я скажу слово "группировка".
Аноним 11/09/17 Пнд 23:10:11 #784 №24705 
DzHkYwOJ0Mk.jpg
N-qxQ8Dqe1M.jpg
vdHtj3tsECk.jpg
сосач, помоги
такая хуйня
завтра сдавать работу по теме матрицы
в первый раз у меня не приняли
я перерешал три раза и еще два раза на разных матричных калькуляторах и получается тоже самое
помоги, сосач
Аноним 11/09/17 Пнд 23:39:57 #785 №24706 
>>24667
\mu = 1/6 . Кинешь мне 1200 денег на киви - вышлю полное подробное решение в .pdf
Аноним 11/09/17 Пнд 23:50:04 #786 №24709 
>>24705
Тебя ебут. Все верно. Подойд к преподу и спроси: почему вам нравится ебать молодых первокурсников?
Аноним 12/09/17 Втр 00:25:21 #787 №24710 
>>24705
Чо значит не приняли, за такую хуйню надо пояснять.
Аноним 12/09/17 Втр 05:49:47 #788 №24711 
Существует способ выбора абсолютно случайного действительного числа на выбранном отрезке? И если да, то выбранное число всегда будет трансцендентным и вообще не принадлежащим ни одному заданному наперёд счётному множеству?
Аноним 12/09/17 Втр 10:13:41 #789 №24713 
>>24711
Дай определение случайного числа
Аноним 12/09/17 Втр 10:14:01 #790 №24714 
>>24711
Хотя я понял. Да есть. Луркай аксиома индукции
Аноним 12/09/17 Втр 14:35:14 #791 №24727 
>>24696
Приоритет операций?
Аноним 12/09/17 Втр 19:24:00 #792 №24732 
>>24727
Как бы да, но странно прост.
Аноним 12/09/17 Втр 20:18:33 #793 №24733 
>>24732
Что странного?
Аноним 12/09/17 Втр 21:26:54 #794 №24734 
CodeCogsEqn (1).png
>>24698
вот, после группировки получилось такое, и выходит, что x=y=z
может эта система из 5 уравнений является несовместной, потому что как такое возможно что сумма квадратов этих чисел равна 1, то есть x^2=y^2=z^2=1/3, а сумма x+y+z=0? Вообще, имеет эта система решение? И если она всё-таки совместна, то как делать дальше?
>>24706
но у меня нет денег(
Аноним 12/09/17 Втр 22:45:48 #795 №24736 
>>24734
Подсказка, система очевидно несовместна, и ты даже написал почему.
Аноним 12/09/17 Втр 23:27:31 #796 №24737 
CodeCogsEqn (2).png
>>24736
блин(((
первоначально, это была задача нахождения экстремумов функции 3 переменных с 2 ограничениями методом множителей Лагранжа, то есть составляем функцию Лагранжа, находим частные производные, и потом получаем систему 5 неизвестными. Выходит, что эту задачу нельзя решить? А можно было бы сразу как-то понять, что эта задача не имеет решений? Эти 2 ограничения изначально что ли не являются совместными?
Аноним 12/09/17 Втр 23:43:36 #797 №24738 
>>24734
Не тупи, она совместна. Тебе нужно решать уравнение ax = 0 не х = 0, а либо а=0, либо х=0
Аноним 12/09/17 Втр 23:47:05 #798 №24739 
>>24734
То есть первое равенство выполняется тогда, когда либо х=у, либо z=2 \lambda.
Аноним 13/09/17 Срд 01:09:45 #799 №24740 
>>23175 (OP)
Как вычислять функции Матье? Мне нужно решить с помощью различных численных методов уравнение y''+ych(x)=0, y(0)=0, y(2.2)=1, чтобы было с чем сравнивать результат мне нужно аналитическое решение, Вольфрам Альфа говорит мне, что точное решение это (4.20766-13.391i)MathieuS[0, 2, ix/2], где MathieuS это нечетная функция Матье, делаю все в Матлабе, там такой функции не нашел, придется реализовывать самому, я так понял это специальная функция, и ее надо считать как-то хитро, в ряды раскладывать или еще как, не подскажите, где можно почитать про это вот все?
Аноним 13/09/17 Срд 04:52:45 #800 №24743 
>>24740
Посмотри в первом томе Ландау - параметрический резонанс. Вроде как там есть ряд для функции Матье
Аноним 13/09/17 Срд 05:12:35 #801 №24744 
>>24740
> y''+ych(x)=0

Ты и сам можешь построить решение этого уравнени методом асимптотической сшивки: в х=0 это осциллятор, в х>>1 (OP) это бессель от экспоненты. Вангую, что тебе понадобится всего 5-10 членов разложения коэффициена сшивки
Аноним 13/09/17 Срд 16:15:38 #802 №24751 
>>24743
>Посмотри в первом томе Ландау
Это первый том "Теоретической физики" Ландау и Лифшица?
>>24744
>методом асимптотической сшивки:
Что это за метод?
Аноним 13/09/17 Срд 17:16:14 #803 №24752 
Аноны, вот есть теорема Абеля-Руффини, её по идее можно использовать в криптографии, ключ пять чисел, по нему строится уравнение 5 степени и обратно из уравнения ты не получишь иксы. Или получишь? В чём подвох в общем, так же по идее можно шифрование сделать, которое невозможно взломать.
Аноним 13/09/17 Срд 17:22:11 #804 №24753 
>>24752
Не стоит лезть туда, в чем не разбираешься. Можешь попросить решить вольфрам уравнение 5 степени.
Аноним 13/09/17 Срд 17:23:33 #805 №24754 
>>24753
>Можешь попросить решить вольфрам уравнение 5 степени.
Даа, я уже. Тогда о чём та теорема? Типа нет общей формулы, но x найти можно численно?
Аноним 13/09/17 Срд 17:27:32 #806 №24755 
>>24754
Написано же в вики, не выражается в радикалах, не больше ни меньше. И собсно еще один вопрос. Твой охуительный алгоритм даже если бы и работал, то был бы бессмысленным.
Алиса может зашифровать сообщение, отправить его, а потом сама же и расшифровать, Боб этого сделать не может, потому что не знает ключей. Значит Алисе придется искать защищенный канал, чтобы переслать сообщение бобу, а в таких условиях можно придумать и более быстрые и более защищенный алгоритмы.
Аноним 13/09/17 Срд 17:28:27 #807 №24756 
>>24755
>Боб этого сделать не может, потому что не знает ключей.
Ключи передаются ИРЛ на бумажке,
Аноним 13/09/17 Срд 17:29:27 #808 №24757 
>>24755
Ладно, я понял, в общем, хуйня идея. Спасибо.
Аноним 13/09/17 Срд 17:29:49 #809 №24758 
>>24756
Ага, это называется защищенный канал. В реалиях нашей жизни я не хочу ездить к владельцу каждого сайта даже один раз, чтобы отдать ему свои ключи.
Аноним 13/09/17 Срд 17:30:37 #810 №24759 
>>24758
Ну это тип между мной и другом, чтобы провайдер не запалил, что пишем.
Аноним 13/09/17 Срд 17:30:48 #811 №24760 
>>24756
Тогда норм
Аноним 13/09/17 Срд 17:32:15 #812 №24761 
>>24759
Почему бы не использовать стандартные алгоритмы, при которых даже встречаться не нужно с другом? Да и провайдер и так не может палить большую часть трафика.
Аноним 13/09/17 Срд 17:34:46 #813 №24762 
>>24761
Хз, можно, но не так интересно/не факт, что разберусь и получится сделать,а тут валялся на диване просто и мысль пришла такая. Типа по 5 числам получается уравнение, потом вместо x подставляю и я и он коды символов, получается таблица и с помощью неё и общаемся.
Аноним 13/09/17 Срд 17:35:41 #814 №24763 
>>24762
Есть куча софта для этого, которая в два клика позволит тебе общаться кучей чисел.
Аноним 13/09/17 Срд 17:39:22 #815 №24764 
>>24763
Ну софт кто-то другой писал, не так интересно. Ну а вообще, вот пропустил я через уравнение сообщение, получается каша из чисел, какими методами можно узнать, что это за уравнение, какой принцип в общем? Мне кажется это не так уж просто сделать, тем более там большая степень, отличие между например кодом А и Б, скажем 61 и 62 это уже на очень много различаться будет.
Аноним 13/09/17 Срд 17:41:16 #816 №24765 
>>24764
>какими методами можно узнать,
Есть какой-то частотный анализ вроде, но мне кажется он не должен работать, пушо слишком разброс большой.
>Упрощённо, частотный анализ предполагает, что частота появления заданной буквы алфавита в достаточно длинных текстах одна и та же для разных текстов одного языка. При этом, в случае моноалфавитного шифрования, если в шифротексте будет символ с аналогичной вероятностью появления, то можно предположить, что он и является указанной зашифрованной буквой. Аналогичные рассуждения применяются к биграммам (двубуквенным последовательностям), триграммам и т. д. в случае полиалфавитных шифров.
Хотя будет, да. Ладно, хуйня идея в общем. Спасибо за ответы.
Аноним 13/09/17 Срд 18:01:17 #817 №24766 
>>24764
А как ты собрался шифровать то уравнением?
Аноним 13/09/17 Срд 18:22:51 #818 №24769 
MSP392317fbh016he4g128c00004ac5068ge03hic29.gif
MSP1041211hab9eed12e5d30000481ec9hdd3dfhf54 (1).gif
>>24766
Ну например есть пять чисел 2,3,5,7,11, я их передаю другу на бумажке, у него вот это будет (x-2)(x-3)(x-5)(x-7)(x-11), раскрывает скобки(1 пик). Потом например у a это 61 в hex, подставляется в уравнение получается число на 2 пике. И так для каждого символа составляется словарь у меня и у него на компе.
Аноним 13/09/17 Срд 18:23:20 #819 №24770 
>>24769
>например у a это 61 в hex,
ASCII код.
Аноним 13/09/17 Срд 18:35:37 #820 №24771 
Возможно ли доказать без аксиомы выбора, что все гамалогии натуральных чисел нулевые?
Аноним 13/09/17 Срд 19:09:24 #821 №24772 
>>24771
Очень маловероятно (p<0.05). В любом случае, советую покопать в сторону теоремы индукции.
Аноним 13/09/17 Срд 20:19:03 #822 №24773 
>>24769
Не очень понял, ты передаешь другу корни уравнения. А дальше что?
Аноним 13/09/17 Срд 20:19:53 #823 №24774 
>>24769
Просто подставить 61 многочлен? А зачем тогда знать корни его?
Аноним 13/09/17 Срд 20:50:07 #824 №24775 
>>24772
Что можно почитать на счёт теоремы индукции?
Аноним 13/09/17 Срд 21:15:42 #825 №24776 
>>24775
Рекомендую работы Коэна и Гёделя. Они вроде как раз с помощью неё и доказали существование и уникальность гамалогий и когамалогий.
Аноним 13/09/17 Срд 21:58:21 #826 №24778 
>>24775
Хочешь стать маленьким конструктивистопетушком?
Аноним 13/09/17 Срд 22:03:31 #827 №24779 
>>24778
Думаю с аксиомой выбора не получится.
Аноним 13/09/17 Срд 22:50:47 #828 №24781 
>>24751
Да, нашел?

Вот https://en.wikipedia.org/wiki/Method_of_matched_asymptotic_expansions
Аноним 13/09/17 Срд 23:41:15 #829 №24785 
При каждом a найти решение ОДУ
y' = (x^2+y^5) * cos (ln y)
при начальных условиях
y(2) = e ^ (pi/2)
y'(2) = a
Просто так ОДУ не решается, нужно поять при чем здесь задача Коши. Если взять неизвестную функцию за константу, то это будет решением ур-ия(за константу ясную из первого условия задачи Коши, т.е. e^(pi/2)). Но как это поможет решить в общем случае непонятно. Ну да, при а=0 решение найдено и больше нет, а что делать в остальных случаях?
Аноним 13/09/17 Срд 23:46:55 #830 №24786 
>>23175 (OP)
Дайте учебников по матану. Фихтенгольц годен?
Аноним 13/09/17 Срд 23:49:55 #831 №24787 
>>24785
Сам решил, там же задача Коши полная, значит есть только одно решение.
Аноним 14/09/17 Чтв 00:07:37 #832 №24789 
Дана парабола -х^2+900.
Требуется найти наибольшую площадь ВПИСАННОЙ трапеции и наименьшую площадь ОПИСАННОЙ.
Основание трапеции находится на оси иксов в точках пересечения параболы этой оси, (-30:30)

С какой стороны подступиться к это задаче?
Аноним 14/09/17 Чтв 01:18:12 #833 №24790 
Нахуя нужны группы гомотопий если гамалогии делают всё то же самое но проще?
Аноним 14/09/17 Чтв 01:45:01 #834 №24791 
>>24789
для вписанной.
площадь аддитивна. можно найти площать трапеции только права под графиком и умножить на два:
y' = -x^2 + 900
S_п = xy' -- площадь прямоугольника под графиком
S_т -- (30 - x)y'/2 -- площадь треугольника.
S = 2(S_п + S_т)
найди максимум S.
Аноним 14/09/17 Чтв 02:06:09 #835 №24792 
>>24791
не знаю зачем я написал про аддитивность.
> S_т -- (30 - x)y'/2
S_т = (30 - x)y'/2
нарисуй трапецию по правую сторону под графиком и будет понятно.
Аноним 14/09/17 Чтв 02:33:01 #836 №24793 
>>24785
>
Ты же понимаешь, что это не задача Коши?
Аноним 14/09/17 Чтв 04:20:52 #837 №24795 
Кто здесь шарит в Киселева? У нее есть книга называется "Арифметика", так вот, какой промежуток школы она покрывает? Т.е сколько классов?
Аноним 14/09/17 Чтв 09:35:32 #838 №24800 
>>24795
Шесть
Аноним 14/09/17 Чтв 10:37:59 #839 №24802 
>>24793
Это она. Есть уравнение первого порядка и условие на неизвестую функцию.
Аноним 14/09/17 Чтв 13:11:37 #840 №24805 
>>24802
Нет, это не она. Посмотри внимательней.
Аноним 14/09/17 Чтв 13:50:25 #841 №24813 
S70914-131958.jpg
S70914-132005.jpg
S70914-134630(1).jpg
Двач, дали темы для курсовой. Что из этого не слишком сложно? Горят лабы по другим предметам, да и не хочется с курсовой по матану сидеть весь семестр. Спасайте.
Аноним 14/09/17 Чтв 14:45:07 #842 №24817 
>>23177
Аноним 14/09/17 Чтв 14:59:17 #843 №24818 
Матанач, оцени курс линала у нас в шараге
https://vk.com/doc192074917_450422232?hash=98c04b1e55c2ebddaa&dl=e78e21635088275ca9
Аноним 14/09/17 Чтв 16:28:39 #844 №24820 
>>24800
Спасибо тебе, кисик.
Аноним 14/09/17 Чтв 16:41:46 #845 №24821 
>>24818
Зря ты так.
В моём заведении нет ни математики, ни ПМ, ни МиКС.
А есть ПМИ, за которым скрываются программирование.
Вот это уж действительно шарага.
Аноним 14/09/17 Чтв 17:23:55 #846 №24822 
>>24818
Говно. Гамалогий нет.
Аноним 14/09/17 Чтв 19:30:53 #847 №24823 
>>24813
>Глава 8. АЛГЕБРАИЧЕСКИЕ СТРУКТУРЫ
>Глава 8.
Говно.
Аноним 14/09/17 Чтв 19:50:46 #848 №24824 
>>24818
>>24822
Аноним 14/09/17 Чтв 20:01:27 #849 №24825 
>>24805
Непрерывность есть. Условие на функцию n-1 т.е. только на саму функцию есть. Это задача Коши и значит можем применить теорему о единственности.
Аноним 14/09/17 Чтв 20:41:39 #850 №24829 
>>24825
>Непрерывность есть
Докажи.
Аноним 14/09/17 Чтв 20:44:10 #851 №24831 
>>24829
Толстяк, у тебя ничего не выйдет.
Аноним 14/09/17 Чтв 21:54:14 #852 №24833 
>>24831
Я понимаю, что тебе это сложно даётся. Но это ничего, интегралы вычислять тоже кто-то должен.
Аноним 14/09/17 Чтв 23:19:04 #853 №24834 
>>24833
Но задача Коши это из раздела про интегралы, долбоеб.
Аноним 14/09/17 Чтв 23:20:08 #854 №24835 
Зачем ориентировать симплексы чтобы построить гамалогию?
Аноним 15/09/17 Птн 00:52:55 #855 №24839 
>>24835
Я не замаричиваюсь о таких вещах, просто рисую тапалогическое пространство и считаю гамалогии (на глаз).
Аноним 15/09/17 Птн 03:22:35 #856 №24840 
>>24773
>>24774
Так из корней получаются коэффициенты же.
Аноним 15/09/17 Птн 03:43:06 #857 №24841 
>>24840
На самом деле это довольно нетривиальное дело доказать. Трансфинитная индукция нужна.
Аноним 15/09/17 Птн 03:49:14 #858 №24842 
>>24841
Что? Ты мне отвечаешь или постом ошибся? Перемножаешь и получаешь коэффициенты, ну скобки раскрываешь какая трансфинитная индукция лол.
Аноним 15/09/17 Птн 03:52:47 #859 №24843 DELETED
Какие (ко)гамалогии у этого топологического пространства?
Аноним 15/09/17 Птн 03:54:28 #860 №24844 
>>24843
хуиные
Аноним 15/09/17 Птн 04:16:36 #861 №24845 
Заканчиваю магистратуру и интересуюсь, а есть ли смысл идти в аспирантуру если просто нравится учиться математике и в будущем хочется иногда просто писать (и публиковать) не особо углублённые работы, но не нравится перспектива "научной карьеры" c написанием отчётов и преподаванием долбоёбам калькулюса? Или опубликоваться без привязки к какой-либо когорте не выйдет?
Аноним 15/09/17 Птн 11:13:29 #862 №24849 
>>24845
Двачую годный вопрос. (сам думаю, что с твоего уровня всё-таки лучше применять твои знания в бизнесе, желательно в личном)
Аноним 15/09/17 Птн 11:20:23 #863 №24850 
>>24840
Не очень понял. Вот есть я и ты. Мы знаем корни уравнения. Что нужно делать чтобы зашифровать и расшифровать данные? Алсо не обращай внимания на посты про гамалогии, индукцию и прочее, местные ебланы считают это очень смешным.
Аноним 15/09/17 Птн 13:12:43 #864 №24851 

> Cartesian product {∅,{∅}} * {∅}
Какой результат?
Аноним 15/09/17 Птн 13:21:28 #865 №24852 
>>24850
Например для двух, знаем два числа 3 и 5, (x-3)(x-5), раскрываем получаем x2-8x+15, потом можно каждую букву подставить вместо x и получить её код и тебе и мне, получится таблица кодов, по ней и общаться. Тоже самое, только для 5 чисел. Из чисел получается уравнение(раскрытием скобок), из уравнения таблица символов.
Аноним 15/09/17 Птн 13:35:51 #866 №24853 
>>24852
Но тогда получится обычный шифр замены, где мы каждую букву меняем на какой-то набор символов. Он уязвим к частотному анализу, а что самое главное, непонятно зачем вся эта муть с корнями, если можно просто обменяться алфавитами.
Аноним 15/09/17 Птн 13:41:20 #867 №24854 
>>24853
>Но тогда получится обычный шифр замены, где мы каждую букву меняем на какой-то набор символов. Он уязвим к частотному анализу
Да, я ещё в среду понял>>24765
>>24853
> если можно просто обменяться алфавитами.
Ну так всего 5 чисел нужно, а так целыми алфавитами меняться.
Аноним 15/09/17 Птн 13:47:07 #868 №24856 
>>24854
>Ну так всего 5 чисел нужно
Вам еще нужна одинаковая таблица символов, которая кодирует буквы. По факту, обычный обмен алфавитом. Я понял твою идею, что ascii таблица у всех уже есть, но это имеет к криптографии такое же отношение, как идея называть вместо слова "бомба" слово "картошычка"
Аноним 15/09/17 Птн 13:53:11 #869 №24857 
>>24856
Это я тоже ещё в среду понял, лол, просто основная идея была в том, что я думал, что из уравнений выше 4 степени не получить корни и про частотный анализ не задумывался. После гугления гениального и простого RSA мне как-то и писать больше об этом неловко. Плюс там ещё каждая следующая буква зависит от предыдущей, да ещё вначале добавляется рандомный мусор, так что вообще нихера частотный анализ не даст.
Аноним 15/09/17 Птн 16:58:55 #870 №24858 
>>24849
Ты очень хуево учил математику (особенно теорвер) если думаешь о том что можно что-то успешно применять в бизнесе.
Аноним 15/09/17 Птн 17:00:19 #871 №24859 
>>24851
{(∅,∅),({∅},∅)}
Аноним 15/09/17 Птн 23:14:36 #872 №24865 
>>23175 (OP)
Вот есть тут треды каких то эмотивизмов с основаниями математики, это как я понял разные концепции математики да? А чём разница? какой учат в школе ?
Аноним 15/09/17 Птн 23:29:06 #873 №24868 
>>24865
Может там и спросишь?
Аноним 16/09/17 Суб 00:05:20 #874 №24870 
>>24868
Мне та мне отвечают. Говорят с такими вопросами в ред ньфагов.
Аноним 16/09/17 Суб 00:18:12 #875 №24871 
>>24870
Что-то я не вижу.
Аноним 16/09/17 Суб 02:30:34 #876 №24872 
>>24844
А подробнее?
Аноним 16/09/17 Суб 11:44:04 #877 №24873 
Снимок2.JPG
Нашел у себя формулу, не могу догнать как прийти к результату?
Аноним 16/09/17 Суб 12:06:53 #878 №24874 
>>24873
Возведи в квадрат. Это вроде называется радикалами или формулой радикалов.
Аноним 16/09/17 Суб 12:23:44 #879 №24875 
>>24874
> радикал это корень
Спасибо, кэп.
Аноним 16/09/17 Суб 12:29:47 #880 №24876 
>>24875
2 клика в гугле по запросу формула радикала математика, и мы узнаем, что перед нами формула сложного радикала, погуглив про которую находим статью в вики. Если тебе все так очевидно, то почему ты спрашиваешь?
Аноним 16/09/17 Суб 12:35:15 #881 №24877 
>>24876
Спасибо, анон.
Аноним 16/09/17 Суб 18:32:00 #882 №24890 
x^2 - (x + 2)^2 = 8
У меня выходит x=2, но если подставить, то 8 не получается.
Аноним 16/09/17 Суб 20:03:22 #883 №24892 
>>24890
>У меня выходит x=2
Это как выходит?
Аноним 16/09/17 Суб 20:17:27 #884 №24893 
>>24890
x^2 - x^2 - 4x - 4 = -x - 4 =8
Аноним 16/09/17 Суб 20:23:42 #885 №24895 
024d7e594f4e91XL.jpg
>>24893
>x^2 - x^2 - 4x - 4 = -x - 4
>- 4x= -x

Аноним 16/09/17 Суб 20:24:38 #886 №24896 
jyVy8GyE4gU.jpg
>>24893
>-x - 4 =8
>У меня выходит x=2
Алсо я все так же нихуя не понял, только теперь еще больше.
Аноним 16/09/17 Суб 21:47:41 #887 №24897 
>>24843
бамп
Аноним 17/09/17 Вск 00:10:49 #888 №24898 
Как меняются частные производные функции нескольких пременных при переходе к новым переменным?
Аноним 17/09/17 Вск 00:13:37 #889 №24899 
>>24898
По матрице Якоби они меняются
Аноним 17/09/17 Вск 00:21:13 #890 №24900 
>>24899
Не понял.
Матрица якоби это же просто матрица частных производных. Там есть, конечно, теория замены переменных, но я примерно и хочу понять как она получается.
Аноним 17/09/17 Вск 00:30:39 #891 №24901 
Стоит ли учить интегралы и всё что с ними связано? Является ли это математикой?
Аноним 17/09/17 Вск 00:55:13 #892 №24904 
>>24901
Устарело давно. Стоит, если интересуешься историей математики.
Аноним 17/09/17 Вск 01:27:49 #893 №24905 
>>24901
Нет, не является. Если ты видишь где-то натуральные числа, это тоже история математики и нигде не используется. Ракеты давно летают на алгебраической топологии, а люди считают предметы кагамалагиями де Рама
Аноним 17/09/17 Вск 01:55:27 #894 №24906 
image.png
>>24781
>>24744
>>24743
Ладно, я нашел в матлабе встроенную функцию, чтобы найти достаточно точное численное решение, и остальные, реализованные мною, методы дали близкое к нему решения, такая красота. Однако, я все-таки плохо понял, как вычисляются функции Матье, вообще как применяют специальные функции на практике, вычисляют как сумму рядов?
Аноним 17/09/17 Вск 01:57:56 #895 №24907 
>>24904
Спасибо, возможно изучу это в исторических целях.
>>24905
Я так примерно и думал, вообще не похоже на математику.
Аноним 17/09/17 Вск 11:51:26 #896 №24909 
>>24907
>>24905
>>24904
>>24901
Кстати, уже придумали мотивное интегрирование, где вместо этих ваших натуральных чисел кольцо Гротендика.
Аноним 17/09/17 Вск 11:53:34 #897 №24910 
>>24909
А геометрическая теория меры появилась еще раньше, и ей решили задачу Плато.
Когомологии де рама к топологии отношения не имеют, кстати, в топологии гомологии сингулярные.
Аноним 17/09/17 Вск 12:13:29 #898 №24912 
>>24890
x^2 - (x + 2)^2 = 8
x^2 - (x^2 + 4x + 4) = 8
x^2 - x^2 - 4x - 4 = 8
-4x - 4 = 8
-4x = 12
x = -3
______
(-3)^2 - (-3 + 2)^2 = 8
9 - 1 = 8
8 = 8
Аноним 17/09/17 Вск 12:39:19 #899 №24914 
Вероятность того, что яблоко червивое - р
Какова вероятность того, что в некоем наборе яблок червивых меньше или равно 10%?
Аноним 17/09/17 Вск 12:39:22 #900 №24915 
image.png
Всегда останавливаюсь на моменте, когда в решении задачи говорится, что зелёныйугол - это синус. И у меня сразу возникает вопрос: почему именно синус, а не косинус? Или вообще тангенс или котангенс? Объясните, господа.
Аноним 17/09/17 Вск 12:43:10 #901 №24916 
>>24915
Угол – это угол; синус – это синус. Если говорится, что угол - это синус, подразумевается, наверно, что в рассматриваемом случае нужен синус угла.
Аноним 17/09/17 Вск 12:44:27 #902 №24917 
>>24916
Это говорится в решении задачи, изначально не было ничего сказано про то, какой это угол: синус, косинус, тангенс или котангенс.
Аноним 17/09/17 Вск 12:45:02 #903 №24918 
>>24915
Угол – это угол; синус – это гамалогия угла. Косинус - это когамалогия угла. Если говорится, что угол - это гамалогия, подразумевается, наверно, что в рассматриваемом случае нужна гамалогия угла.
Аноним 17/09/17 Вск 12:46:47 #904 №24919 
>>24918
А теперь сформулируй для уровня десятого класса.
Аноним 17/09/17 Вск 12:49:11 #905 №24920 
14489965661900.jpg
>>24917
Ты же понимаешь, что у каждого угла есть синус, косинус, тангенс и котангенс? Точнее, тангенса нет у П/2+Пn, а котангенса нет у Пn, но не суть.
Аноним 17/09/17 Вск 12:49:18 #906 №24921 
>>24919
Это уровень десятого класса. Гамалогии в конце него как раз и изучают.
Аноним 17/09/17 Вск 12:51:22 #907 №24922 
>>24920
Да, понимаю, и здесь вопрос: почему именно синус, а не косинус, тангенс или котангенс? В задаче ничего про это не даётся.
Аноним 17/09/17 Вск 12:53:27 #908 №24924 
>>24922
Синусы-косинусы в физических задачах нужны, чтобы находить проекции сил куда-то. Если ты умножишь силу натяжения на синус этого угла, то получишь проекцию силы на горизонтальную ось.
Аноним 17/09/17 Вск 12:55:57 #909 №24926 
>>24924
Так, хорошо, а чтобы получить проекцию на ось OY, нужно умножить косинус на силу? И для чего тогда используется тангенс или котангенс?
Аноним 17/09/17 Вск 12:59:56 #910 №24927 
>>24914
нужно знать распределение.
см. пик с кубиками.
по оси S, это сумма чисел на двух костях. если тебе интересно, какова вероятность, что выпадет сумма: 2 или 3 или 4? иначе: сумма меньше или равна 4.
то суммируешь эти вероятности.

так-же можно обозначить S% червивых яблок.
посмотри распределение Бернулли, вроде бы тебе подойдет.
Аноним 17/09/17 Вск 13:00:46 #911 №24928 
>>24926
Не помню, чтобы тангенс-котангенс находили применение в физических задачах. Ну сам пошевели мозгами. Что такое синус? Отношение гипотенузы к противолежащему катету. Если мы умножим эту дробь на гипотенузу, силу натяжения, что будет? Гипотенуза сверху и снизу сократится, и мы получим катет. А если то же самое сделаем с косинусом, то получим прилежащий катет. А если будем делить соответствующие катеты на синус или косинус, то, наоборот, сможем найти гипотенузу. Подобным же образом могут использоваться тангенсы-котангенсы.
Аноним 17/09/17 Вск 13:01:23 #912 №24929 
>>24922
Тебе выше уже сказали, угол это угол. Возможно в этой задаче используется синус, но вот так вот, без всего мы не можем тебе сказать, что происходит.
Аноним 17/09/17 Вск 13:01:40 #913 №24930 
die-distribution.png
>>24927
пик забыл.
Аноним 17/09/17 Вск 13:01:52 #914 №24931 
>>24928
>Не помню, чтобы тангенс-котангенс находили применение в физических задачах
>сила трения
Аноним 17/09/17 Вск 13:06:18 #915 №24932 
>>24928
>Что такое синус?
>>24929
Видимо, я непонятно объяснил. В задаче изначально не даётся даже намёка на угол, с чего я должен решить, что это синус?

Аноним 17/09/17 Вск 13:08:09 #916 №24933 
>>24932
Если не дается намека на угол, значит и намека на синус быть не может, потому что синус сам по себе не бывает. Задачу в студию.
Аноним 17/09/17 Вск 13:16:29 #917 №24934 
пример.png
>>23175 (OP)
Здесь ответ: 10/х? (Да я знаю, что это школьный пример, но почему-то в ответах совсем другое значение).
Аноним 17/09/17 Вск 13:20:36 #918 №24935 
Как находить гамалогию рациональных чисел?
Аноним 17/09/17 Вск 13:27:20 #919 №24936 
image.png
image.png
image.png
>>24933
Аноним 17/09/17 Вск 13:30:34 #920 №24937 
>>24936
И что тебе непонятно?
Аноним 17/09/17 Вск 13:47:06 #921 №24938 
>>24937
Принцип определения. Неужели всё так легко: чтобы найти проекцию на горизонтали - синус, на вертикали - косинус?
Аноним 17/09/17 Вск 14:08:51 #922 №24939 
>>23175 (OP)
Сап. Сижу за химией. В учебнике написано:
"Преобразуем уравнение Оствальда в квадратное уравнение относительно а:
а^2с + аК - К = 0"

Уравнение Оствальда: К=а^2*с/1-а

Где К - константа диссоциации, с - концентрация, а - степень диссоциации.
Чисто матан, поэтому сюда.

Объясните, плз, по какому принципу происходит преобразование.
Аноним 17/09/17 Вск 14:10:05 #923 №24940 
>>24928
>Не помню, чтобы тангенс-котангенс находили применение в физических задачах
Это чисто теоретические изыскания господ Математиков. Игра в бисер чистой воды.

>>24935
Здесь задача сводится к нумерации всех рациональных чисел. Там короче рисуешь их в таблицу и обходишь по диагоналям. А когда пересчитаешь их, находишь гамалогию натуральных чисел через индукцию
Аноним 17/09/17 Вск 14:10:58 #924 №24941 
>>24939
Уравнение Оствальда с двух сторон домножили на 1-а
Аноним 17/09/17 Вск 14:12:07 #925 №24942 
>>24941
Большое спасибо
Аноним 17/09/17 Вск 14:16:37 #926 №24943 
>>24940
>Там короче рисуешь их в таблицу и обходишь по диагоналям.
Нарисовал. Обошёл. Но гамалогий что-то не видно.
Аноним 17/09/17 Вск 14:18:03 #927 №24944 
>>24934
Тут лемма Ферма-Цорна требуется.
Аноним 17/09/17 Вск 14:19:12 #928 №24945 
>>24938
Тебе стоит почитать определения синуса и косинуса, после чего тебе самому станет очевидно, как найти проекции. Ну и еще принцип суперпозиции для сил.
Аноним 17/09/17 Вск 14:19:17 #929 №24946 
>>24943
В какой системе аксиом?
Аноним 17/09/17 Вск 14:27:52 #930 №24947 
>>24901
Совет:
Не ведись на здешние мемы если ты не толстяк конечно.
Аноним 17/09/17 Вск 15:15:32 #931 №24948 
>>24946
В ZF, но без аксиомы бесконечности.
Аноним 17/09/17 Вск 15:47:28 #932 №24950 
>>24948
Извините, но это уже совсем бред. Куда смотрит модератник, если без трансфинитной индукции все равно ничего не выйдет.
Аноним 17/09/17 Вск 19:58:34 #933 №24951 
Selection009.png
>>23175 (OP)

Как доказать самое правое неравенство с картинки?
Аноним 17/09/17 Вск 19:59:49 #934 №24952 
>>24621
да.
Аноним 17/09/17 Вск 23:20:07 #935 №24956 
Любую ли функцию можно представить в виде ряда? Работает ли это для функций многих переменных?
Аноним 17/09/17 Вск 23:26:08 #936 №24957 
>>24934
Мне интересно, а какой тогда ответ? Проверил, тоже 10/x получил.
Аноним 17/09/17 Вск 23:43:07 #937 №24958 
>>23175 (OP)
Сап. Подскажите где можно прочитать про операции на графах в матричном виде. Конкретно интересует композиция и декартово произведение. Просмотрел 5 книг - ни в 1 нету того что нужно.
Аноним 18/09/17 Пнд 02:57:54 #938 №24959 
>>24906
У меня есть работа в которой, грубо говоря, исследуется параметрический резонанс. Мы там много всякой ахинеи про монодромии и когомологии пишем, но в итоге считаем функции Матье так, как написано в Ландау. Но там немного другое уравнение: $\omega^2(t) = 1 - \epsilon sin(\mu t) $
Аноним 18/09/17 Пнд 10:43:51 #939 №24960 
Доброго времени суток двачя, нуждаюсь в твоей помощи, некоторое время назад прочитал книжку по теории вероятности и там увидел хороший термин, короткое название случайной величины, которая равна количеству очков выпадающих на игральных костях. И я его благополучно забыл. Скину на счёт сотку тому кто скажет этот термин и источник откуда он
Аноним 18/09/17 Пнд 11:42:25 #940 №24961 
Читаю Зорича, дано определение , что f - дифференцируемая, если f(x+h) - f(x) = A(x)h + α(x;h) . h , как я понимаю, линейный оператор, h -> A(x)h , а α(x;h)=o(h), h->0. Не могу понять, что имеет ввиду под α(x;h) .
Аноним 18/09/17 Пнд 12:49:27 #941 №24962 
>>24961
Лучше не вникай. Здесь переплетается с будущими темами и сделано кривовато. а(х, h) - это какое-то о(h), но сама производная это функция от х. И если ты находишь проиводную в разных точках, функция а(х, h) тоже меняется. Именно это и выражает зависимость от двух переменных.
Аноним 18/09/17 Пнд 15:04:12 #942 №24963 
>>24947
Можешь подробнее? Не совсем тебя понял. Я просто про интегралы спрашивал. На здешние мемы мне плевать.
Аноним 18/09/17 Пнд 15:12:54 #943 №24964 
Интересует один вопрос. А правда ли, что некоторые люди могут считать гомологии тапалогического пространства на глаз? Ну то есть по одному рисунку.
Аноним 18/09/17 Пнд 15:54:13 #944 №24965 
Screenshot2017-09-18-17-52-35.png
Помогите
Сап. Объясните плиз, как преобразовывается квадратное уравнение с пикрила для решения функции?
Аноним 18/09/17 Пнд 15:55:50 #945 №24966 
>>24965
А точнее, как раскладывается.
Аноним 18/09/17 Пнд 15:59:59 #946 №24967 
>>24965
Вы уже изучали трансфинитную индукцию?
Аноним 18/09/17 Пнд 16:02:38 #947 №24968 
>>24967
Нет еще
Аноним 18/09/17 Пнд 16:06:38 #948 №24969 
>>24968
А гамалогии?
Аноним 18/09/17 Пнд 16:07:28 #949 №24971 
>>24969
9 класс
[mailto:.] Аноним 18/09/17 Пнд 16:27:39 #950 №24972 
Снимок.PNG
Как можно это доказать?
Аноним 18/09/17 Пнд 16:30:06 #951 №24973 
Возможно ли получить теорему индукции по целым числам если взять бинарное произведение теоремы индукции по натуральным числам?
А что, если взять несчётное произведение? Получим ли мы тогда индукцию по ординалам?
Аноним 18/09/17 Пнд 16:34:47 #952 №24974 
>>24972
Гамалогии AB и CD нулевые. Следовательно, гамалогии ABCD тоже нулевые.
Из чего следует, что когамалогии точки М нулевые. А это значит именно то, что точка М равноудалена от прямых AB, AD и CD.
[mailto:.] Аноним 18/09/17 Пнд 16:44:52 #953 №24975 
>>24974
>Гамалогии
>когамалогии
что это блять такое
Аноним 18/09/17 Пнд 16:48:24 #954 №24976 
>>24975
На уроках нужно было внимательнее слушать. А так доказательство на самом деле верное.
мимо
[mailto:.] Аноним 18/09/17 Пнд 17:00:03 #955 №24977 
>>24976
не рассказывали про такое )
Аноним 18/09/17 Пнд 17:05:45 #956 №24978 
>>24977
В девятом точно уже рассказывают.
[mailto:.] Аноним 18/09/17 Пнд 17:07:25 #957 №24979 
>>24978
ну я в девятом и пока точно не рассказывали
Аноним 18/09/17 Пнд 17:51:18 #958 №24980 
>>24979
То доказательство в любом случае верное. Можешь его и написать.
Аноним 18/09/17 Пнд 18:00:58 #959 №24981 
>>24973
Только в нечётком множестве кольца гамалогий.
Аноним 18/09/17 Пнд 18:03:12 #960 №24982 
>>24972
Это легко следует из существования несчётного количества недостижимых кардиналов.
Аноним 18/09/17 Пнд 18:12:09 #961 №24983 
>>24981
А если у меня класс всех модулей и их гамалогий?
Аноним 18/09/17 Пнд 18:15:54 #962 №24984 
Возможно ли ZF представить в виде тапалогического пространства?
Аноним 18/09/17 Пнд 18:23:47 #963 №24985 
>>24984
Да, но там через трапеции
Аноним 18/09/17 Пнд 18:34:17 #964 №24986 
>>24985
Гамалогии ZF уже известны?
Аноним 18/09/17 Пнд 19:00:27 #965 №24987 
>>24960
бамп
Аноним 18/09/17 Пнд 19:38:45 #966 №24988 
>>24951
как это доказать?
дай ссылку на кнуги, откуда это.
Аноним 18/09/17 Пнд 19:39:18 #967 №24989 
>>24988
или название книги.
Аноним 18/09/17 Пнд 20:14:28 #968 №24990 
>>24989
Kurt Friedrich Gödel, Homology.
Аноним 18/09/17 Пнд 21:10:52 #969 №24994 
>>24791
>>24792
Нихуя не понел
Аноним 18/09/17 Пнд 21:51:26 #970 №24996 
>>23175 (OP)
Как зовут этого алгебраического геометра транса, который иногда на форчане мелькал?
Аноним 18/09/17 Пнд 21:58:22 #971 №24997 
трап.png
>>24994
Аноним 18/09/17 Пнд 22:14:45 #972 №24999 
Есть тут люди разбирающиеся в алгебраической тапалогии?
Horem  !!NQkxL/gSMM 18/09/17 Пнд 22:21:58 #973 №25000 
>>24999
Давай, шваль.
Аноним 18/09/17 Пнд 22:36:59 #974 №25003 
Поясните за схему Горнера?
Нихуя не могу понять..
Голова болит..
Аноним 18/09/17 Пнд 22:45:00 #975 №25007 
>>24958
Актуально. В целом реквестирую годную литературу по графам, сетям и деревьям, ибо играть в задание "найти ошибку" в ебучей методе говновуза меня заебало.
Аноним 18/09/17 Пнд 23:10:13 #976 №25008 
>>25000
Как считать ко(гамалогии) тапалогического пространства на глаз?
Аноним 18/09/17 Пнд 23:58:13 #977 №25010 
>>25007
Ну ка поясни. Я вообще нжинер и программирование мне нужно только для расчетов. Вообще нахрена программистам теория графов?
Аноним 19/09/17 Втр 00:42:21 #978 №25014 
>>25010
Многие задачи из реальной жизни можно представить в виде графов. Соответственно решение задачи теории графов, решает много задач из жизни. Примеры лень приводить
Аноним 19/09/17 Втр 02:42:50 #979 №25017 
>>24989
не нужно. я нашел доказательство.
Rudin, Principles of mathematical analysis, page 68.
Аноним 19/09/17 Втр 10:56:14 #980 №25020 
пример2.png
Как сократить?
Аноним 19/09/17 Втр 11:03:13 #981 №25021 
Сап математач. Объясните нубу, зачем сегодня нужны вообще аналитическе решения дифференциальных уравнений, когда есть методы численного вычисления?
Аноним 19/09/17 Втр 11:18:40 #982 №25022 
>>25021
Анализ сам по себе нахуй не нужен.
Аноним 19/09/17 Втр 13:37:28 #983 №25023 
chch.PNG
chchs.PNG
fvh.PNG
hj.PNG
Матемач, я подзастрял на мат моделях.
Каким образом находится АЧХ у систем, когда частоты заданы и когда не заданы? (на пикчах 2 примера с частотами и без)
Аноним 19/09/17 Втр 19:36:52 #984 №25024 
>>25014
>Примеры лень приводить
Просто сказал бы, что не знаешь.
Аноним 20/09/17 Срд 00:05:47 #985 №25032 
2dlo0SN.png
Антоша, поясни, на пальцах за Such that ('|') symbol из теории множеств. Чет не могу вдуплить, как оно работает. Спасибо.
Аноним 20/09/17 Срд 01:05:16 #986 №25033 
>>25023
Тут на самом деле нужна индукция по ординалам.
Аноним 20/09/17 Срд 01:46:11 #987 №25035 
1466371861016.jpg
Мне нужна помощь с задачами линейного/нелинейного программирования и выпуклыми множествами/функциями (например, нарисовать геометричечкую интерпретацию условий Куна-Такера или решить задачу методом симплекс). Заданий где-то десятка три, и мне нужно немного объяснить как делать первый пример в них и может быть проверить как я справлюсь с остальными. У меня есть картинки милых одетых девочек и может быть что-то еще.
[email protected]
Аноним 20/09/17 Срд 05:05:12 #988 №25039 
>>25021
Еблан в треде. Ты блядь, сколько будешь считать интеграл от какого-нибудь запараметризованного решения дифура численно на своей пердушке? Если есть какая-нибудь аналитика (даже асимптотика или галеркин подойдут) ты сделаешь это гораздо и гораздо быстрей, чем численно.
Аноним 20/09/17 Срд 05:31:42 #989 №25040 
>>25040
Аноним 20/09/17 Срд 05:32:08 #990 №25041 
>>25042
Аноним 20/09/17 Срд 05:32:24 #991 №25042 
Аноним 20/09/17 Срд 08:57:22 #992 №25044 
>>25040
>>25041
>>25042
Какие гамалогии этой цепи постов?
Функция Строгаца madhaus 20/09/17 Срд 12:00:11 #993 №25045 
Препод дал задание: изучить, посмотреть материалы касательно функции Строгаца. Что это такое и с чем его едят? (да-да, мне лень вбивать это в гугле и искать самостоятельно, - пока нашел только одного математика Стивена Строгаца, но, вероятнее всего, это не тот чувак).
Аноним 20/09/17 Срд 12:13:26 #994 №25046 
>>25045
Что такое "функция" вообще, мэдхаус?
Аноним 20/09/17 Срд 12:21:36 #995 №25047 
>>25045
>но, вероятнее всего, это не тот чувак).
Почему решил, что не тот? М.б. именно тот.
Аноним 20/09/17 Срд 12:23:23 #996 №25048 
>>25046
Объяснишь, что такое "функция" или нет, лол?
madhaus 20/09/17 Срд 12:34:29 #997 №25049 
графическая интерпретация зависимости двух переменных
Аноним 20/09/17 Срд 13:52:45 #998 №25050 
12345.jpg
Ку,матемач.
Как будет выглядеть график к этой ебале? И он вообще нужен тут чтобы определить пределы интегрирования?
Аноним 20/09/17 Срд 15:18:40 #999 №25051 
>>25050
Нарисуй вторую гамалогию этой ебалы и там всё видео будет.
Аноним 20/09/17 Срд 15:53:35 #1000 №25052 
У матшкольников уже особые преимущества из-за более ранних занятий? Их уровень вообще возможно догнать?
Аноним 20/09/17 Срд 15:55:36 #1001 №25053 
>>25052
>матшкольников
Что это такое?
Аноним 20/09/17 Срд 15:58:44 #1002 №25054 
>>25053
Всякие там пятисемиты и прочие.
Аноним 20/09/17 Срд 15:59:56 #1003 №25055 
>>25054
Это секта какая-то?
Аноним 20/09/17 Срд 16:15:45 #1004 №25056 
15033040092523s.jpg
>>25045
Бампану про Строгаца, очень надо, аноны
Аноним 20/09/17 Срд 16:20:01 #1005 №25057 
>>25052
Нет, интегралы брать это предел как уже давно известно. Выше не прыгнешь.
Аноним 20/09/17 Срд 16:25:36 #1006 №25058 
>>25056
Вот
https://www.litres.ru/stiven-strogac/udovolstvie-ot-h-uvlekatelnoe-puteshestvie-v-mir-matematiki-ot-odnogo-iz-luchshih-prepodavateley-v-mire/?gclid=EAIaIQobChMIl67Bo-6z1gIViIKyCh1oKgAVEAAYASAAEgJ11vD_BwE
Аноним 20/09/17 Срд 16:45:02 #1007 №25059 
int.png
>>25050
Аноним 20/09/17 Срд 16:53:10 #1008 №25060 
14912547996030.jpg
>>25058
Спасибо, конечно, но это книга для детей. И не факт что там про функцию его имени есть. Ну и мне что-нибудь бесплатно и без смс именно про Функцию Строгаца надо.
Аноним 20/09/17 Срд 17:46:50 #1009 №25061 
LfcfhgWplWc.jpg
Чет ступор, матуаны, выручайте
Аноним 20/09/17 Срд 18:31:54 #1010 №25062 
I-pQuhJI5WQ.jpg
Как выразить n через эпсилон? На паре показали какой-то хитрый околологарифмический ход конем, но тогда я нихуя не вникал. Кстати, мне кажется тут еще хуитка в том, что я неправильно доказываю предел, ведь если эпсилон любое положительное число, то это неравенство не всегда будет соблюдаться...
Аноним 20/09/17 Срд 20:47:14 #1011 №25063 
>>25057
>Интегралы брать это предел
Кек
Аноним 20/09/17 Срд 20:53:05 #1012 №25064 
>>25052
Какой "уровень"? Анализ и прочая хуйня это не уровень. Это не математика даже.
Аноним 20/09/17 Срд 21:05:12 #1013 №25065 
Мир -- это некая жидкокристаллическая среда,а математика -- это ее карта?
Аноним 20/09/17 Срд 22:05:08 #1014 №25066 
Кака построить множество действительных чисел с помощью отношения порядка?
Аноним 20/09/17 Срд 22:07:53 #1015 №25067 
Что делать, если не можешь решить задачу? Стоить ли продолжать мучать её самому, или сдаться?
Аноним 20/09/17 Срд 22:09:36 #1016 №25068 
Является ли каждая задача доказательством какой-либо теоремы для частного случая?
Аноним 20/09/17 Срд 22:31:05 #1017 №25069 
>>25067
Лучше попробовать следующую

>>25068
Нет, но несколько задач подряд могут доказать что-то общее

>>25066
Разбираешь частные случаи и показываешь, что для n+1 тоже возможно. Дальше по аксиоме
Аноним 21/09/17 Чтв 10:05:24 #1018 №25074 
>>25062
>не всегда будет соблюдаться
почти никогда не будет соблюдаться, хуйню какую-то написал и рад.
Аноним 21/09/17 Чтв 10:12:58 #1019 №25075 
>>25074
Да я и не рад даже(
Аноним 21/09/17 Чтв 10:22:00 #1020 №25076 
>>25075
Бывает.
Аноним 21/09/17 Чтв 11:13:30 #1021 №25077 
Посоветуйте что-то типа введения в формальную логику и вообще посоветуйте материалов как ее познать.
Аноним 21/09/17 Чтв 13:44:54 #1022 №25078 
2017-09-21 13.35.57.png
Необходимо построить y = y(x). Выразить y через x у меня не получается. Выходит, что нужно строить y(t) и x(t) отдельно, а потом строить y(x)? Здесь нет способа попроще?
Аноним 21/09/17 Чтв 19:55:42 #1023 №25079 
Есть дли задачник по типу Демидовича, только по физике?
Аноним 21/09/17 Чтв 21:36:05 #1024 №25085 
14951376135801.png
>>23175 (OP)
Можете посоветовать книжку по теории вероятности, чтобы, с одной стороны, не давили слишком математикой как таковой (потому что бэкграунд слабый, про всякие интегралы и дифференциалы знаю, сдавал зачёт по линейной алгебре (электив был, так факультет даже не технарский), но решать задачи особо не пытался и не хочу. С другой стороны мне и не нужна книжка, в которой бы рассматривались прикладные аспекты статистики. Хотелось бы что-то о природе случайности, чтобы я мог понимать около философские аспекты что ли этого явления.
Аноним 21/09/17 Чтв 23:02:19 #1025 №25086 
>>25085
>чтобы я мог понимать около философские аспекты что ли этого явления
Тебе нужно так ебашить статистику, чтобы зубы отваливались. Почитай Феллера
Аноним 21/09/17 Чтв 23:02:58 #1026 №25087 
>>25079
Батыги и Топтыгин и Гречко
Аноним 21/09/17 Чтв 23:04:52 #1027 №25088 
>>25078
Нужно построить сначала t, потом строить y(t) и x(t) отдельно, а потом строить y(x), а не ту хуйню, что ты сморозил
Аноним 22/09/17 Птн 00:57:37 #1028 №25089 
Как доказать, что все объекты категории множеств являются проективными?
Аноним 22/09/17 Птн 02:40:17 #1029 №25091 
strap-on.jpg
>>25089
С помощью вот этой штуки
Аноним 22/09/17 Птн 03:15:21 #1030 №25092 
>>25091
Что это?
Аноним 22/09/17 Птн 05:40:39 #1031 №25094 
>>25089
Предагаю для начала по теореме о нумерации(использует акс выбора) найти, что для любого множества есть ординал.

Ну а в категории ординалов наверняка каждый обьект -
проективный. Сможешь доказать второе утвержденип?

Аноним 22/09/17 Птн 06:47:49 #1032 №25095 
>>25094
>использует акс выбора
Ну лемму выбора я уже доказал.
>Сможешь доказать второе утвержденип?
Сейчас докажу непротиворечивость трансфинитной индукции и попробую.
Аноним 22/09/17 Птн 08:57:07 #1033 №25096 
>>25086
Не уверен, что осилю, но попытаюсь. Если будут вопросы, то сюда припрусь.
Аноним 22/09/17 Птн 09:05:35 #1034 №25097 
Возможно ли на глаз считать когамалогии пространства?
Аноним 22/09/17 Птн 09:22:45 #1035 №25098 
>>25095
Ты не докажешь непротиворечивость.
Аноним 22/09/17 Птн 09:24:04 #1036 №25099 
>>25098
Почему же?
Аноним 22/09/17 Птн 12:23:17 #1037 №25104 
image.jpg
Помогите посчитать (ко)гамалогии? Довольно долго сижу уже и не могу разобраться.
Аноним 22/09/17 Птн 14:04:11 #1038 №25107 
h.jpg
Какие гамалогии тут думаете будут?
Аноним 22/09/17 Птн 18:03:49 #1039 №25108 
>>25104
Поверхность рода 4.
>>25107
Тут не понятно откуда растут культи, но тоже аналогично, считай по количеству дырок.
Аноним 22/09/17 Птн 22:19:04 #1040 №25109 
>>23175 (OP)
Почему даже не платониками математика считается объективной, ведь математика же не изучает объекты, не проводит эксперименты и всё такое, а просто ебётся с какими то там абстракциями существующими только в головах вчера облысевших обезьян.
Аноним 22/09/17 Птн 23:16:31 #1041 №25110 
>>25109
Почему только фриков интересует глубинный истинный смысл Математики?
Аноним 23/09/17 Суб 00:47:51 #1042 №25111 
>>25109
А теперь подумай, это наше простраство похоже на эвклидово просранство, или эвклидово просранство похоже на наше пространство?
Аноним 23/09/17 Суб 01:15:44 #1043 №25112 
>>23175 (OP)
Что можно почитать об интегральных преобразованиях и их применении в решении дифференциальных уравнений в частных производных?
Аноним 23/09/17 Суб 04:21:08 #1044 №25113 
Разбираюсь в логарифмами. Попробовал сформулировать своими словами. Поправьте если те так что-то:

"Например, log по основанию 2 (log2) из 32 показывает, сколько раз нужно разделить число 32 на 2, чтобы получилось 2 - 5 раз. Или показывает сколько раз нужно умножить 2 на себя же, чтобы получилось 32."
Аноним 23/09/17 Суб 08:34:57 #1045 №25114 
>>25113
Операция взятия степени в общем случае не эквивалентна умножению числа на себя столько-то раз (ну например как ты умножишь e на себя π раз?).
А так все правильно. Просто логарифмирование это обратная к взятию степени операция, вот и все.
Аноним 23/09/17 Суб 08:39:38 #1046 №25115 
>>25111
Причём тут наше пространство?
Аноним 23/09/17 Суб 08:45:48 #1047 №25116 
>>25109
>изучает объекты
изучает математические объекты (в основном структуру)
Аноним 23/09/17 Суб 13:54:27 #1048 №25117 
Как доказать, что целые числа образуют несчётное множество?
Аноним 23/09/17 Суб 14:02:25 #1049 №25118 
image.png
image.png
1) Почему в доказательстве n = k+1 в правой части добавляют (k+1)? Первый пик.
2) Почему сделали замену 1^2+2^2+...+k^2 на выражение из проверки n=k? Второй пик.
Аноним 23/09/17 Суб 14:03:42 #1050 №25119 
image.png
>>25118
быстрофикс первой пики
Аноним 23/09/17 Суб 14:41:20 #1051 №25120 
>>25119
ты вообще нехуя не понял про индукцию и пофиксил какой-т хуйней. попробуй заново
Аноним 23/09/17 Суб 14:44:16 #1052 №25121 
>>25120
лол, блядь, я и так всё доказательство копипастнул. вопрос в том, почему к дроби (k+1) прибавляется
Аноним 23/09/17 Суб 15:48:45 #1053 №25122 
>>25121
к какой дроби? ощущение, что ты не читал даже то, что копипастнул. картинка из 25119 вообще не имеет отношения к делу. все доказательство в том, чтобы показать, что дробь после шага индукции равна дроби на k-ом шаге + (k+1)^2
Аноним 23/09/17 Суб 15:56:51 #1054 №25123 
как решать самые обычные задачи на составление самых обычных уравнений
Аноним 23/09/17 Суб 16:22:09 #1055 №25125 
Можете посоветовать книжки по теории диффуров
Аноним 23/09/17 Суб 16:23:43 #1056 №25126 
>>25114
>Операция взятия степени в общем случае не эквивалентна умножению числа на себя столько-то раз (ну например как ты умножишь e на себя π раз?).

Т.е если log2 102 = 6,672, то по моему первому предположению нужно 2 умножить на себя 6,672 раз, что по сути невозможно в виду не целого числа. Да?
Аноним 23/09/17 Суб 16:41:54 #1057 №25127 
>>23175 (OP)
А где найти алгебра-2,3 Елагина?
Аноним 23/09/17 Суб 16:43:46 #1058 №25128 
Правда ли что все формулы в математике можно вывести из формул треугольника и сферы?
Аноним 23/09/17 Суб 16:50:05 #1059 №25129 
>>25128
Правда. Даже аксиома выбора спокойно выводится.
Аноним 23/09/17 Суб 17:33:38 #1060 №25130 
Как называется функция длины периода рациональной дроби?
Аноним 23/09/17 Суб 18:35:05 #1061 №25131 
>>25123
Через решебник

>>25128
Это аксиома

>>25117
Это не доказать и не опровергнуть

Аноним 23/09/17 Суб 18:36:25 #1062 №25132 
>>25118
Анон прав, ты ничего не понял про индукцию. Прогугли "Математическая индукция" и вопросы отпадут после нескольких ссылок
Аноним 23/09/17 Суб 18:46:10 #1063 №25133 
>>25131
>Это не доказать и не опровергнуть
Докажи.
Аноним 23/09/17 Суб 19:13:47 #1064 №25134 
>>25133
Это тоже нельзя ни доказать, ни опровергнуть. А вот это уже можно доказать, но я не помню как
Аноним 23/09/17 Суб 19:15:00 #1065 №25135 
>>25134
>А вот это уже можно доказать
Докажи что можно доказать.
Аноним 23/09/17 Суб 22:43:30 #1066 №25138 
>>25135
>>25133
>>25131
>>25117
Лол, что? Это локальный мем такой? По определению, множество Y счётно, если существует f: f(N)=Y, для Y=Z такой будет f(n)=(n-1)(-1^n)/2 для n mod 2 = 1, f(n)=n(-1^n)/2 для n mod 2 = 0; доказательство -- индукция в две стороны (f(n)=z для любого n и n=f^-1(z) для любого z)
Аноним 23/09/17 Суб 22:50:54 #1067 №25139 
>>25134
Лол, с формальной логикой у тебя всё плохо, причём как со стороны эрудиции, так и со стороны знания основ.
Аноним 24/09/17 Вск 01:41:22 #1068 №25141 
>>25138
Это постирония?
Аноним 24/09/17 Вск 01:43:18 #1069 №25142 
>>25141
Это глупость.

Не указана система аксиом + тривиальные ошибки в рассуждениях.
Аноним 24/09/17 Вск 03:49:28 #1070 №25143 
>>25142
Какая к чёрту система аксиом? Я в явном виде использовал мат. индукцию и более ничего, кроме определений, разве не видно?
Мало того, легко построить доказательство без использования аксиоматики вообще, онли определения (и не тыкай правилом вывода), причём д-во будет конструктивным.
Какие, блядь, ошибки? Укажи хоть на одну. Это просто смешно слышать, задача даже звания тривиальной не достойна. Я учусь на фупме физтеха и за прошлый год на ТФСе и ТРЯПе решал задачки явно посложнее этой, получив 10 и 8 за них соответственно.
Аноним 24/09/17 Вск 05:02:32 #1071 №25144 
>>25134
>>25139
Аноним 24/09/17 Вск 05:46:32 #1072 №25146 
Как доказать, что все гаматопические группы (кроме нулевой) ℤ тривиальны? Без аксиомы выбора.
Аноним 24/09/17 Вск 09:57:45 #1073 №25147 
1
Халп.
Аноним 24/09/17 Вск 10:10:39 #1074 №25148 
1
>>25147
поправил
Аноним 24/09/17 Вск 13:14:21 #1075 №25151 
tUxod7SIPSY.jpg
Двач, хэлп. Нужен способ решения подобных задач
Аноним 24/09/17 Вск 13:50:41 #1076 №25154 
>>25151
Тут легко решается через подсчёт гамалогий. На самом деле это практически тривиально.
Аноним 24/09/17 Вск 14:47:38 #1077 №25156 
>>25143
Я там преподаю. У тебя реал ошибки, молодой человек.

мимо-препод
Аноним 24/09/17 Вск 17:11:23 #1078 №25157 
>>25151
Тут как минимум у половины задач нет решения.
Аноним 24/09/17 Вск 21:34:31 #1079 №25158 
>>25156
Ну, так что за ошибки-то? Научите нерадивого студента.
Аноним 24/09/17 Вск 21:59:07 #1080 №25159 
>>23175 (OP)
сап двач. есть что-то чуть прощелучше?ебучего зорича, написанное которым я перестал понимать
Аноним 24/09/17 Вск 22:15:34 #1081 №25160 
Capture.PNG
Как решить такой предел руками, откуда подступиться? n->infinity
Аноним 24/09/17 Вск 22:16:42 #1082 №25161 
>>25160
Пробуй посчитать гамалогии предела, если не получится, то считай когамалогии копредела.
Аноним 24/09/17 Вск 22:17:12 #1083 №25162 
>>25160
Это какой-то тралинг?
Аноним 24/09/17 Вск 22:17:33 #1084 №25163 
>>25161
>>25162
Аноним 24/09/17 Вск 22:26:10 #1085 №25164 
>>25160
Считай производную, применяй лопиталя.
Аноним 24/09/17 Вск 23:42:17 #1086 №25165 
>>25160
1. в знаменателе: (n + 1)^(n + 1) = n^(n + 1) (1 + 1/n)^(n + 1)

2. число е: (1 + 1/n)^n -> e, n -> inf

3. если нужно найти limit f(g(x)) и f непреревна, то limit f(g(x)) = f(limit g(x)).
Аноним 24/09/17 Вск 23:57:08 #1087 №25166 
Аноны, как доказать Петерсона-Кадаци?
Аноним 25/09/17 Пнд 03:21:27 #1088 №25171 
>>25143
Множество целых чисел счётно.
Аноним 25/09/17 Пнд 07:57:26 #1089 №25172 
>>25143
>Это просто смешно слышать, задача даже звания тривиальной не достойна. Я учусь на фупме физтеха и за прошлый год на ТФСе и ТРЯПе решал задачки явно посложнее этой, получив 10 и 8 за них соответственно.
Зачем нам это знать? Это что-то на уровне
>у меня друзья фсбшники, пизда тебе
может даже и выше
Аноним 25/09/17 Пнд 11:34:53 #1090 №25177 
А интегралы вообще можно считать математикой?
Аноним 25/09/17 Пнд 16:25:24 #1091 №25180 
1506345905456.jpeg
(-8)1/3 - получается так нельзя?
Аноним 25/09/17 Пнд 17:08:41 #1092 №25181 
>>25180
Черным по белому написано, что нельзя.
Аноним 25/09/17 Пнд 17:14:27 #1093 №25182 
>>25180
Можно, но ты сначала определи что именно это будет означать.
Аноним 25/09/17 Пнд 17:37:10 #1094 №25183 
>>25181
А почему? У меня в голове не укладывается. И так что ли нельзя: 3√-8?
>>25182
Не понял тебя. Что будет означать?
Аноним 25/09/17 Пнд 18:11:07 #1095 №25184 
2017-09-2520-17-53.png
Почему мы раскрываем модуль с минусом, если функция на промежутке (3;∞) возрастает? Мы построили гиперболу, сместили ее, а затем отразили относительно икса. Кусочек ветви же теперь по сути возрастает...
Аноним 25/09/17 Пнд 23:35:57 #1096 №25191 
>>25183
есть свойства, как:
(ab)^n = a^n b^n
они всегда верны для a > 0, b > 0.

это свойство не всегда верно для a < 0 и/или b < 0. например:
(-2 (-2))^(1/2) = (-2)^(1/2) (-2)^(1/2)
(-2 (-2)) = 4

для нечетного показателя будет верно. как в твоем примере.
но нужно следить за четностью. да и нужно доказать все эти свойства для нечетных показателей и оснований меньше нуля.
Аноним 26/09/17 Втр 05:50:13 #1097 №25194 
>>25184
>Почему мы раскрываем модуль с минусом
Потому |x|= x, x=>0; -x,x<0. Функция на промежутке (3,inf) (6/x-2) < 0, значит модуль от нее раскрывается как полагается.
Аноним 26/09/17 Втр 10:22:01 #1098 №25195 
>>25194
Непонятно
Аноним 26/09/17 Втр 17:21:14 #1099 №25201 
>>25194
Спасибо, теперь ясно
Аноним 26/09/17 Втр 19:05:42 #1100 №25204 
inage.png
>>25180
Аноним 26/09/17 Втр 19:23:07 #1101 №25205 
Как доказать, что из тривиальной фундаментальной группы следует стягиваемость?
Аноним 26/09/17 Втр 19:31:56 #1102 №25206 
>>25205
нету дырок - нету проблем
Аноним 26/09/17 Втр 19:33:54 #1103 №25207 
Скиньте тот гайд по съёбу на phd заграницу пожалуйста.
Аноним 26/09/17 Втр 19:42:51 #1104 №25208 
>>25207
homology.com
Аноним 26/09/17 Втр 19:47:38 #1105 №25209 
risunok.jpg
Как посчитать (ко)гаматопические группы вот этого рисунка?
Аноним 26/09/17 Втр 20:36:26 #1106 №25214 
Нормальногораспределениявопрос
создаю в экселе столбец из 100-та ячеек с заполнением x=(xi-1)+(допустим 1), получаю соответственно столбец чисел от 0 до 100 с шагом 1
в соседнем столбце пишу команду =НОРМ.РАСП(ячейка Xi;среднее значение 50;стандартное отклонение 50; весовая)
и получаю в принципе похожие на правду(судя по графику) значения нормального распределения при таких исходных данных..
НО! суммирую все значения второго столбца-и получаю не 100 и не 1, хотя по моейдноматематической логике должна быть единица, ну или 100, типа процентов.
Объясните плиз почему это не так?
Аноним 26/09/17 Втр 22:07:25 #1107 №25216 
>>25209
Почему не указаны оси и единичные отрезки?
Аноним 26/09/17 Втр 22:53:44 #1108 №25217 
1506458053.jpg
Скажите что тут делать, какое тут задание. Я не пойму нахуя справа числа даны. Решу сам, ебланы из беседы молчат
Аноним 27/09/17 Срд 00:47:46 #1109 №25221 
>>25214
ты суммируешь, а не интегрируешь, поэтому есть погрешность
Аноним 27/09/17 Срд 00:48:33 #1110 №25222 
>>25214
плюс любое число может получиться с ненулевой вероятностью из нормального
Аноним 27/09/17 Срд 09:43:20 #1111 №25227 
Screen Shot 2017-09-27 at 08.36.13.png
Привет, матаны

Такой вопрос.

Есть такое замечательное неравенство Неравенство Хёфдинга, в одном из способов доказательства есть такой пассаж.

Я предельные неравенства уже подзабыл нихуя не знал.

Можете пояснить, какого хуя ТАК КАК, откуда это?
Аноним 27/09/17 Срд 15:02:21 #1112 №25228 
>>25217
Ты несешь какое то своё шаражное говно и думаешь, что кто-то тут как экстрасенс, поймет что там за задания?
Аноним 27/09/17 Срд 15:05:33 #1113 №25229 
>>25227
>какого хуя ТАК КАК
Что именн так? Равенство или последующее неравенство.
Аноним 27/09/17 Срд 16:05:37 #1114 №25230 
>>25208
Свободен, аноны! Давайте скинемся и купим!
Аноним 27/09/17 Срд 16:18:16 #1115 №25231 
>>25227
>ТАК КАК
Матожидание аддитивно.
Аноним 27/09/17 Срд 16:39:39 #1116 №25232 
>>25216
Они уникальны с точностью до гаматопии.
Аноним 27/09/17 Срд 16:42:34 #1117 №25233 
>>25214
>>25227
Это не математика, это хуйня какая-то.
Аноним 27/09/17 Срд 17:34:55 #1118 №25234 
>>25232
Гомологии -- это псевдонаука.
Аноним 27/09/17 Срд 17:38:10 #1119 №25235 
>>25234
Это и хорошо, "наука" современная это удел долбоёбов.
И я не про гамалогии говорил, а про гаматопии.
Аноним 27/09/17 Срд 17:43:01 #1120 №25236 
>>25235
Гомотопия -- это подраздел индукции
Аноним 27/09/17 Срд 18:33:30 #1121 №25237 
Куда идти после того, как закончил школьный курс математики? Мат. логика, теория групп, что-то другое? В списках немного разбросано
Аноним 27/09/17 Срд 18:47:28 #1122 №25238 
>>25237
Алгебраическая тапалогия.
Аноним 27/09/17 Срд 18:49:00 #1123 №25239 
>>25237
Желательно начинать с логики. И для начала нужно забыть всю школьную программу, так как это даже математикой не является.
Потом можно изучать всё, что нужно для изучения гамалогии и гаматопии.
Аноним 27/09/17 Срд 21:11:52 #1124 №25242 
>>25236
Это должно быть плохо?
Аноним 27/09/17 Срд 21:24:03 #1125 №25243 
Что почитать по основам логики? А то не пойму смысла импликации, когда из ложного А следует истинное Б и это все истинно.
Аноним 27/09/17 Срд 21:27:24 #1126 №25244 
>>25243
>А то не пойму смысла импликации
У классической импликации по сути и нет смысла.
Аноним 27/09/17 Срд 21:32:37 #1127 №25245 
>>25244
Говорят, что у жизни смысла нет. Тем не менее в учебнике даже выделено "обратите, в частности, внимание на то, что если А ложно, то импликация А=>В всегда истинна". И мне надо это понять.
Аноним 27/09/17 Срд 21:38:58 #1128 №25246 
>>25245
https://en.wikipedia.org/wiki/Principle_of_explosion
Доказательство работает почти во всех видах логики.
Аноним 27/09/17 Срд 22:07:44 #1129 №25247 
>>25243
Если ты не тролль, то это такое:
"Если идет дождь, то асфальт на улице становится мокрым"
А = Идет дождь
Б = Асфальт на улице становится мокрым
Сравни различные варианты этого высказывания с таблицей импликации.
Может ли быть так, что "Идет дождь", но "Асфальт не мокрый"? Нет. Потому что это прямо противоречит начальному высказыванию.
Но может ли быть "Не идет дождь", но "Асфальт мокрый". Да. Может быть на асфальте осталась лужа. Это никак не противоречит первоначальному высказыванию. Поэтому
1 -> 0 = 0 Не может быть такого
0 -> 1 = 1 Вполне, че бы и нет
Аноним 27/09/17 Срд 22:13:54 #1130 №25248 
>>25247
О, спасибо.
> Если ты не тролль
Нет не тролль, просто со не очень сильной подготовкой взялся за университетский курс, по ходу дела закрываю пробелы.
Аноним 27/09/17 Срд 23:11:25 #1131 №25251 
У меня вопрос. Можно ли считать математикой изучение интегралов?
Аноним 27/09/17 Срд 23:15:16 #1132 №25252 
>>25251
Отвечали уже в этом треде.
Аноним 28/09/17 Чтв 01:20:44 #1133 №25253 
>>25247
>"Если идет дождь, то асфальт на улице становится мокрым"
Что-то мне страшно. Ты откуда этот пример взял? Просто я его выдумал несколько лет назад, вместо вики-примера про РАБотника. Вроде как нигде не писал.
Аноним 28/09/17 Чтв 01:23:09 #1134 №25254 
>>25253
Я в твоей голове сижу можно сказать.
Аноним 28/09/17 Чтв 01:23:49 #1135 №25255 
>>25252
А считание пределов можно назвать математикой?
Аноним 28/09/17 Чтв 01:29:15 #1136 №25257 
>>25254
Ты ебанутый? Ты что там делаешь?
Аноним 28/09/17 Чтв 01:29:39 #1137 №25258 
>>25257
Проверяю тут кое-что. Ты главное сильно не дёргайся.
Аноним 28/09/17 Чтв 01:31:35 #1138 №25259 
А полагается ли мне приз за доказательство гипотезы Римана через подсчёт одного очень простого интеграла?
Я попробовал тут один метод и он оказывается сработал.
Аноним 28/09/17 Чтв 01:41:52 #1139 №25261 
>>25258
Сейчас я тебя запру!
Аноним 28/09/17 Чтв 03:18:37 #1140 №25270 
Как доказывать, что гамалогии сфер всех размерностей изоморфны гаматопическим группам?
Аноним 28/09/17 Чтв 03:22:07 #1141 №25271 
>>25261
Сейчас твои теоремы сворую для начала.
Аноним 28/09/17 Чтв 04:20:57 #1142 №25273 
>>25271
Можешь не искать, у меня нет никаких теорем, которые не были бы уже описаны!
Ну с дождём и асфальтом действительно невероятное совпадение.
Аноним 28/09/17 Чтв 17:11:55 #1143 №25278 
Кто-нибудь может подсказать, где искать статьи относительно свежие? Желательно уровня <= 3 курса, около 40-50к знаков, на анг языке естественно.
https://arxiv.org/
Все что нашел, но это скорей архив лекций.
Аноним 28/09/17 Чтв 18:29:03 #1144 №25279 
>>25278
Архив - это главная площадка для этого дела. Там не только лекции.
Аноним 28/09/17 Чтв 20:19:56 #1145 №25281 
Сап, двач. Вкатываюсь в линейную логику, всё в принципе пока понятно, научился доказывать простенькие леммы в рамках ЛЛ. Но вот такой вопрос — как объяснить смысл слов "аддитивная" и "мультипликативная" операция/константа? Я имею ввиду не формально (не просто набор логических правил из определения ЛЛ), а так чтобы какое-то интуитивное понимание было?
Аноним 29/09/17 Птн 03:14:38 #1146 №25290 
>>23175 (OP)
помогите мне пожалуйста с теорией вероятности. Допустим у меня есть 2 дискретные случайные величины кси1 и кси2, чья корреляция не равна нулю, то есть эти величины зависимы, подскажите пожалуйста, как находят закон распределения случайных величин ню1=кси1+кси2 и ню2=кси1*кси2?
Аноним OP 29/09/17 Птн 04:27:11 #1147 №25292 
Перекат >>25291 (OP)
Перекат >>25291 (OP)
Перекат >>25291 (OP)
https://2ch.hk/math/res/25291.html

Переспрашивайте свои вопросы в новом треде.
Аноним 29/09/17 Птн 10:45:04 #1148 №25299 
1241.jpg
Нужно нарисовать график и найти новые пределы интегрирования, то есть свести к повторным интегралам
Аноним 29/09/17 Птн 10:45:26 #1149 №25300 
>>25299
Извини, но причём тут математика? "пределы интегрирования" к математике не имеют никакого отношения.
Аноним 29/09/17 Птн 15:18:19 #1150 №25304 
IMG20170929171753.jpg
помогите построить график. во втором я вынес с сделал квадрат разности. а что с вынесенным х делать? а в верхнем тоже так
Аноним 29/09/17 Птн 20:03:39 #1151 №25328 
>>25299
>Нужно нарисовать график
Ну так рисуй
Аноним 29/09/17 Птн 21:13:38 #1152 №25329 

>>25273
>невероятное совпадение

Ну охуеть просто невероятное. Он в каждом засцаном учебнике по логике есть
Аноним 30/09/17 Суб 11:25:05 #1153 №25345 
picf7b48b9854a7ad3dc5ed1493200c4bed.jpg
Безымянный.PNG
>>23175 (OP)
>>3689 (OP)
А как можно формулой задать диапазон? Щас на работе коллега попросил помочь с заданием по информатике для его пиздюка. Задание такое. Нужно составить программу ЛОТЕРЕЯ с тремя выводными строками в первой значения от 1 до 100, во второй от 101 до 200, в третьей от 201 до 250. Я просто написал random (1,100); random (101,200); random (201,250); а училка говорит что неправильно так делать. Надо что бы в условии были заданны переменные с присвоенными им значениями и результат(рандомное значение из диапазона от x до y) получался через формулу.
Аноним 30/09/17 Суб 13:24:47 #1154 №25348 
>>25345
Используй одноместный рандом. Рандом(3) + 1 - от одного до трех, например.
Аноним 30/09/17 Суб 14:32:19 #1155 №25349 
Снимок экрана от 2017-09-30 14:27:44.png
Как правильно считать x^3*y? А раскладываю по формуле произведения и считаю обе части отдельно, но может есть решение попроще или поуниверсальнее? Например если там будет не произведение, а сложная функция, то всё равно придётся раскладывать до тех пор пока не получится взять дифференциал от одной переменной?
Аноним 30/09/17 Суб 14:51:41 #1156 №25351 
>>25349
Ты пидорас или педофил?
Берешь и переводишь из неявного вида в явный или берешь производную неявной функции.
Аноним 30/09/17 Суб 14:54:25 #1157 №25352 
>>25351
>берешь производную неявной функции
Ну вот я и спрашиваю как это делать. Можно как-то брать когда иксы и игрики вместе или нужно раскладывать и брать от икса и игрика по отдельности?
Аноним 30/09/17 Суб 16:14:33 #1158 №25356 
Снимок экрана от 2017-09-30 16:13:57.png
Куда пропала e?
Аноним 30/09/17 Суб 16:31:02 #1159 №25357 
>>25349
Пиздец, существуют люди у которых есть проблемы с производными?
Аноним 30/09/17 Суб 17:00:20 #1160 №25359 
Снимок экрана от 2017-09-30 16:59:49.png
>>25356
Вот более детальное объяснение. Вольфрам показывает тот же ответ, что и у меня выходит.
Аноним 30/09/17 Суб 17:15:54 #1161 №25360 
>>25357
Да, например те, кто не тратит время на не-математику.
Аноним 30/09/17 Суб 20:58:12 #1162 №25361 
>>25359
заменили на x+y, пользуясь начальным уравнением
Аноним 30/09/17 Суб 20:59:43 #1163 №25363 
>>25361
Точно спасибо
Аноним 01/10/17 Вск 00:27:46 #1164 №25367 
>>25360
Толсто.
Аноним 01/10/17 Вск 00:46:08 #1165 №25368 
изображение.png
Привет, помогите, пожалуйста, решить пикрил. В принципе, можно посчитать через алгоритм Евклида, но получается как-то долго. Как по-быстрому найти остаток от деления (7^17 - 11) на (7^6 - 5)? Может, есть, более простой способ, чем алгоритм Евклида? Если что, ответ 4
Аноним 01/10/17 Вск 01:19:06 #1166 №25370 
>>25367
Это ведь серьёзно.
Аноним 01/10/17 Вск 06:14:34 #1167 №25371 
>>25368
НОД можно выразить как линейную комбинацию.
Правда как это сделать на практике я не ибу, могу только доказать, что можно.
Турнир Ломоносова Аноним 01/10/17 Вск 07:03:02 #1168 №25372 
IMG-20171001-WA0008.jpeg
IMG-20171001-WA0006.jpeg
IMG-20171001-WA0004.jpeg
IMG-20171001-WA0002.jpeg
Аноним 01/10/17 Вск 11:43:08 #1169 №25379 
>>25372
Хуета, не математика даже на самом деле.
Аноним 01/10/17 Вск 11:57:15 #1170 №25381 
>>25368
бляттт, я конченый - ошибся в первом действии, там все просто. Больше помощь не нужна
Аноним 01/10/17 Вск 15:30:16 #1171 №25382 
>>25379
Конечно, какая математика без гамалогий?
Аноним 01/10/17 Вск 19:43:04 #1172 №25391 
Какое распределение обозначается как R[a;b]?
Аноним 01/10/17 Вск 19:46:51 #1173 №25392 
>>25372
>>25379
>>25382
Но произвольное утверждение из математики можно переписать как зануление каких-то кагамалогий. Так что их там жопой жуй.
Аноним 01/10/17 Вск 20:15:26 #1174 №25393 
Привет, друзья. Посоветуйте какую-то прогу для численного расчета формул набранных в латехе
Аноним 02/10/17 Пнд 02:00:33 #1175 №25407 
>>25392
>можно
Ну вот когда докажешь это (конструктивно), тогда и будет математикой.
Аноним 02/10/17 Пнд 16:02:16 #1176 №25412 
>>25391
равномерное, вероятно
Аноним 02/10/17 Пнд 18:15:00 #1177 №25414 
Screenshot2017-10-02-18-11-39.jpg
Как это называется и как такое делать?
Аноним 02/10/17 Пнд 19:22:26 #1178 №25418 
>>25414
разложение дроби на простейшие
Аноним 02/10/17 Пнд 21:10:38 #1179 №25428 
>>25418
Спасибо
Аноним 02/10/17 Пнд 21:41:16 #1180 №25431 
>>25412
Да, это оно, спасибо.
Аноним 03/10/17 Втр 16:10:24 #1181 №25446 
>>25393
Wolfram ?
Аноним 03/10/17 Втр 16:45:27 #1182 №25447 
>>25446
Если купить про, то реально фулл решения будут?
Аноним 03/10/17 Втр 19:15:21 #1183 №25448 
>>25447
Фулл? Ты для телефонного приложения спрашиваешь? У меня на https://www.wolframalpha.com/ работаёт всё без каких-либо денежных вложений. Другой анон
Аноним 03/10/17 Втр 20:55:41 #1184 №25451 
1507053074.jpg
1507053057.jpg
объясните пжл как построить график (который на сайте рисован), через преобразования не получается. как он раписывается? и 104 номер "о" не понимаю.я этот преобразовал, там гипербола, потом модуль функции (симметрия по Оу), а с корнём что делать?
Аноним 03/10/17 Втр 20:58:20 #1185 №25453 
>>25451
В том треде тебе ответил.
Аноним 04/10/17 Срд 20:13:08 #1186 №25476 
22.png
есть отношение из условия, нужно построить отношение эквивалентности такое что оно включает в себя отношение из условия и при этом минимальное, дальше вопросы.
я такое построил:
a ~ b, если существует h from Q , h > 0
: a = h^2 b or b = h^2 a
на первый взгляд кажется правильным, но я совсем не могу представть классы эквивалентности.
помогите, плз
Аноним 04/10/17 Срд 21:52:46 #1187 №25479 
Чем отличается язык эпсилон-дельта от формального языка логики? И если язык эпс-дельта является разновидностью формального языка, то какие еще бывают его разновидности?
Посоветуйте книгу для изучения основных понятий и рассмотрения примеров логических высказываний на языке логики
Аноним 05/10/17 Чтв 00:26:16 #1188 №25481 
Скриншот 04-10-2017 235214.png
Скриншот 04-10-2017 235159.png

вершина этой параболы (пик1) это и есть минимум
получилось x= -20
y= 15

но в ответе написано что ответ будет 15

ВОПРОС:
скажите почему оставили только 15 а 20 не взяли. Я в том уравнеии, что написано в ответе(пик2), не вижу никакого смысла
Аноним 05/10/17 Чтв 00:33:41 #1189 №25482 
>>25481
Че?
> x= -20
>y= 15
Тебя в задаче что просят найти точку или значение? Ты их видимо вообще не различаешь.
Если запихать в блендер руку, то получится фарш, если картошку, то пюре. Тебя просят найти самое красное месиво, которое выходит из блендера, ты отвечаешь рука, хотя ответ должен быть фарш из человечины.
Аноним 05/10/17 Чтв 01:04:14 #1190 №25483 
>>25482
ок
спс
Аноним 05/10/17 Чтв 01:05:03 #1191 №25484 
>>25482
а то что значение совпадает к оординатой точки по y
что значит
Аноним 05/10/17 Чтв 01:13:51 #1192 №25485 
>>25482
так ладно
я просто не пойму что написано в ответе
как какая то хуйня без пояснений
Аноним 05/10/17 Чтв 10:40:08 #1193 №25490 
Новый точечный рисунок (2).jpg
Ребята, что это? Как загуглить? Сдаю лабу, надо защитить, а писал не я.
Аноним 05/10/17 Чтв 13:58:16 #1194 №25495 
>>25476
бамп
Аноним 05/10/17 Чтв 15:51:30 #1195 №25498 
>>25476
пункт а доказал
Аноним 05/10/17 Чтв 21:30:54 #1196 №25528 
Почему понятие группы определяется через бинарное отношение, а не через декартовое произведение?
Аноним 05/10/17 Чтв 22:35:25 #1197 №25530 
>>25528
Потому что декартово произведение для долбоёбов, как и сама теория множеств.
Аноним 05/10/17 Чтв 22:49:23 #1198 №25531 
>>25530
То есть можно сказать, что группа - декартово произведение? Или есть случай, когда это не так?
Аноним 05/10/17 Чтв 22:58:19 #1199 №25532 
>>25531
Что ты несёшь вообще?
Аноним 05/10/17 Чтв 22:59:46 #1200 №25533 
>>25532
Смотри, можно сказать так, что группа - декартово произведение на котором определены ассоциативные бинарные операции. Если это не так, то почему?
Аноним 05/10/17 Чтв 23:01:41 #1201 №25534 
>>25533
У тебя элементами группы в таком случае что является?
Аноним 05/10/17 Чтв 23:05:03 #1202 №25535 
>>25534
Элементы множества.
Аноним 05/10/17 Чтв 23:06:10 #1203 №25536 
>>25535
Тогда у тебя получается обычная группа с множеством элементов и определенной бинарной операцией. Где декартово произвоедение?
Аноним 05/10/17 Чтв 23:06:17 #1204 №25537 
>>25533
То есть у тебя есть операция (G x G) x (G x G) -> G x G, где G это твоё множество? И ещё одна для инверсии? Что ты вообще хочешь сказать этим?
Аноним 05/10/17 Чтв 23:09:13 #1205 №25539 
>>25537
G x G - это же декартово произведение?
Аноним 05/10/17 Чтв 23:11:29 #1206 №25540 
>>25539
Да.
Аноним 05/10/17 Чтв 23:12:36 #1207 №25541 
>>25537
Я думаю он пытается бинарную операцию представить как функцию из GxG в G, а группу как множество всех удовлетворяющих условиям элементов из GxG, где между элементами в паре уже как бы заранее подразумевается заданная операция. Вот только он упускает, что в таком случае множество должно еще и обычные элементы содержать для результатов операций, но тогда там какие-то правила из определения бинарной операции будут нарушаться, кажется (даже если и нет, это просто убого выглядит).
Аноним 05/10/17 Чтв 23:12:36 #1208 №25542 
>>25540
Значит можно дать определение группе, что это декартово произведение?
Аноним 05/10/17 Чтв 23:15:00 #1209 №25543 
>>25541
>какие-то правила из определения бинарной операции будут нарушаться
Вспомнил, замкнутость. Потому что определяется операция на множестве декартова произведение G (то есть GxG), а результатом являются элементы из G.
Аноним 05/10/17 Чтв 23:15:30 #1210 №25544 
>>25542
Какая-то убогая теоретико-множественная хуйня получается. Лучше даже не думать о таком.
>>25542
Если можно, то ∅ x ∅ является группой. И какой тогда тут единичный элемент?
Аноним 05/10/17 Чтв 23:16:17 #1211 №25545 
>>25543
Хотя даже не так. Если мы определяем на множестве декартова произведения, у нас произведения являются элементами. А тут речь идет о полном переопределении понятия бинарной операции.
Аноним 05/10/17 Чтв 23:21:08 #1212 №25546 
Короче, есть устоявшееся определение группы. Ты можешь переписать его и вертеть всех математиков на хую до тех пор, пока твоя система остается непротиворечивой (и опционально полезной). Но зачем?
Аноним 05/10/17 Чтв 23:22:56 #1213 №25547 
>>25546
>Ты можешь переписать
Да особо не перепишешь если оно действительно будет определением именно группы.
Аноним 05/10/17 Чтв 23:24:19 #1214 №25548 
>>25547
Можно придумать свой математический конструкт вместо группы и назвать его так же.
Аноним 05/10/17 Чтв 23:25:50 #1215 №25549 
>>25548
Какая разница, если он будет эквивалентным?
Аноним 05/10/17 Чтв 23:30:24 #1216 №25550 
>>25484
Че?
>>25485
Все бля понятно написано. Преобразуется в сумму квадрата и числа. Квадрат всегда положителен или нуль, а число, блядь, вообще фиксировано. Значит когда квадрат равен нулю, тогда и все значение минимально, сука. Находим значение, когда квадрат нуль. Это -20. Ты в состоянии сделать это? Значит в этой точке функция минимальна. А тебя спрашивают не в какой точке она минимальна, а сколько это она минимальна, понимаешь? Если построить функцию, которая будет ставить в соответсвие человеку длину члена, то ответом будешь не ТЫ, а -0,5 см. Андерстэнд? Вот и тут нам нужно не -20, потому что это ТЫ, а чему равна функция на -20. В очередной раз убеждаюсь, что математика - последний метод отделить долбоебов от людей, ну по крайней мере большую часть.
Аноним 05/10/17 Чтв 23:35:05 #1217 №25551 
>>25550
>математика
Но математики в его посте нет. >>25481
Аноним 06/10/17 Птн 16:27:39 #1218 №25566 
8iRjHxwvtrU.jpg
Здравствуйте! Пожалуйста, помогите решить задачу по теории вероятности. Или хотя бы определить тему, из которой брать теорию для решения.
Аноним 06/10/17 Птн 18:31:40 #1219 №25568 
https://ru.wikipedia.org/wiki/Марковский_процесс

>Рассмотрим простой пример марковского случайного процесса. По оси абсцисс случайным образом перемещается точка. В момент времени ноль точка находится в начале координат и остается там в течение одной секунды. Через секунду бросается монета — если выпал герб, то точка X перемещается на одну единицу длины вправо, если цифра — влево. Через секунду снова бросается монета и производится такое же случайное перемещение, и так далее. Процесс изменения положения точки («блуждания») представляет собой случайный процесс с дискретным временем (t=0, 1, 2, …) и счетным множеством состояний. Такой случайный процесс называется марковским, так как следующее состояние точки зависит только от настоящего (текущего) состояния и не зависит от прошлых состояний (неважно, каким путём и за какое время точка попала в текущую координату).



https://ru.wikipedia.org/wiki/Немарковский_процесс

>Примером немарковского процесса может служить фликкер-шум, наблюдаемый в системах, имеющих различную физическую природу[1]. В частности, экспериментально наблюдаемые флуктуации кинетических коэффициентов (например, флуктуации коэффициента электропроводности) имеют спектральную плотность, характерную для фликкер-шума.


В первом случае описан типичный процесс получения фликкер-шума: интегрирование случайного процесса с нулевым матожиданием и равномерным или нормальным распределением значений (в случае с монетой: равномерное). Во втором случае просто упоминается фликкер-шум. Очевидно что одна из статей содержит ложную информацию. Подскажите пожалуйста какая именно.

Аноним 07/10/17 Суб 01:03:23 #1220 №25571 
1507327382841.jpg
1507327382874.jpeg
Не могу понять что дальше делать
Аноним 07/10/17 Суб 01:33:29 #1221 №25572 
>>25571
нужно что бы эта штука содержала меньше знаков?
сократи на 2^16:
2^16 (3^14 + 3^15)/(2^16 (2^2 3^14 - 3^16)) =
(3^14 + 3^15)/(2^2 3^14 - 3^16)

на 3^14:
3^14 (1 + 3)/(3^14 (2^2 - 3^2))
(1 + 3)/(2^2 - 3^2)
Аноним 07/10/17 Суб 01:38:52 #1222 №25573 
>>25572
Точно. Спасибо большое.
Аноним 07/10/17 Суб 13:51:16 #1223 №25586 
>>23175 (OP)
Посоны, у меня тут трехменрная решетка. Решетка конечна. Ячейка решетки - куб. Так вот мне бы хотелось как-то так сделать, что бы зная номер куба и номер грани, я смог за О(1) получить эту самую грань.
Пока сам попытаюсь решение поискать, но вдруг кто случайно такую хуйню знает.
Аноним 07/10/17 Суб 19:12:54 #1224 №25612 
>>23175 (OP)
Как подготовиться к ЕГЭ, если нихуя не знаешь, а последний раз сталкивался с математикой года 3 назад в шараге? Я вообще в душе не ебу что мне учить и с чего начинать. Решил вот поступать в ВУЗ
Аноним 07/10/17 Суб 19:25:23 #1225 №25618 
blob
объясните пожалуйста, как так получается
Аноним 07/10/17 Суб 19:26:48 #1226 №25619 
>>25618
-2 является функтором, который сохраняет пределы.
Аноним 07/10/17 Суб 19:40:43 #1227 №25621 
>>25619
я долбаеб, забей
Аноним 08/10/17 Вск 05:54:49 #1228 №25640 
Ребят, помогите вкатиться в геометрию 7-8, что читать? Что учить? срок - 14 дней да, я школьник
Аноним 08/10/17 Вск 05:56:36 #1229 №25642 
>>25640
Элементы алгебраической геометрии, Александр Гротендик. Я прочитал не за 14 дней конечно, но близко. 17.
Можешь пропускать что не интересно, тогда и за 14 успеешь.
Аноним 08/10/17 Вск 09:34:42 #1230 №25661 
>>25642
Двачую адеквата. В августе перед 8 классом прочитал
Аноним 08/10/17 Вск 11:14:32 #1231 №25663 
>>25640
двачую адекватов выше
волчкевич уроки геометрии, шень геометрия в задачах
Геом Аноним 08/10/17 Вск 17:47:12 #1232 №25700 
Screenshot20171008-174035.png
Ребзя, помогите решить 6.11, не могу решить уже который час.
Понимаю, что можно через 3 вектора выразить 4, но коофиценты никак выразить не могу без использования вектора OS...
Аноним 08/10/17 Вск 23:03:37 #1233 №25718 
image.png
Помогите исследовать на сходимость пикрил рядок. Хотел доказывать по признаку Дирихле. Для этого можно доказать, что последовательность частичных сумм числителя ограничена, но я не знаю как. Есть ли еще пути решения?
Аноним 09/10/17 Пнд 00:20:07 #1234 №25721 
>>25718
Признак Лейбница.
Аноним 09/10/17 Пнд 08:23:53 #1235 №25726 
>>25721
Последовательность не монотонна.
Аноним 09/10/17 Пнд 11:32:34 #1236 №25731 
>>23175 (OP)
Сап. Нужно найти область сходимости функционального ряда(ряд от n=1 до беск. (-1)^n / (x+1)^3), получился ряд Лейбница, который сходится абсолютно для любого x.(сравнив с рядом Дирихле) Но при x=-1, т.к суммирование идет с n=1, получается деление на 0.
Я правильно понимаю что x=-1 мы откидываем тогда? И получается что область сходимости R {-1}
Аноним 09/10/17 Пнд 11:37:50 #1237 №25732 
>>25731
>
>Я правильно понимаю что x=-1 мы откидываем тогда? И получается что область сходимости R {-1
Бля, там получается что при любом отрицательном иксе в рядах будет деление на 0. И как это записать?
Аноним 09/10/17 Пнд 11:39:58 #1238 №25733 
>>25731
Тут всё довольно легко, с помощью спектралки Дирихле спокойно доказывается, что x = -5.
>>25732
Тут где-то опечатка видимо.
Аноним 09/10/17 Пнд 11:53:04 #1239 №25734 
>>25733
>Тут
>>25731
>(ряд от n=1 до беск. (-1)^n / (x+1)^3),
ряд от n=1 до беск. (-1)^n / (x+n)^3)

Неправильно ряд записал исходный.
Если смотреть так, то при любом отрицательном иксе,(например x=-1, при n =1 ) будет 0. при x=-2 при n=2 будет 0. И так далее. Как записать? >>25733
> спектралки Дирихле спокойно доказывается
Не думаю что здесь это нужно
Аноним 09/10/17 Пнд 15:08:24 #1240 №25735 
Безымянный.png
Как решить это?На лекцию прийти не смог, а теперь надо догонять.
Аноним 09/10/17 Пнд 18:29:18 #1241 №25737 
Посоны, посоветуйте книг в которых тема рядов раскрыта полностью.
Аноним 09/10/17 Пнд 20:00:31 #1242 №25741 
>>25586
Снова я. Нихуя не нашел. Разве что рисуя кубы понял, что граней там 3n^3+6n^2+3n (И для случая, где высота отличается 3nnh+4nh+2nn+2n+h), осталось только придумать как по 4 числам получить одну из этих граней
Аноним 09/10/17 Пнд 23:52:53 #1243 №25744 
Скриншот 09-10-2017 234454.png

я что то немного не догнал каким образом мы от тройки избавились
помогите плез
Аноним 09/10/17 Пнд 23:54:47 #1244 №25745 
>>25744
Причём тут математика?
Аноним 10/10/17 Втр 00:04:40 #1245 №25747 
>>25745
тут нет раздела тригонометрия
а это тред общих вопросов
Аноним 10/10/17 Втр 00:32:42 #1246 №25748 
>>25744
все я понял я дебич простите
Аноним 10/10/17 Втр 00:48:22 #1247 №25749 
>>23175 (OP)
Помогите с общим подходом к решению задач на нахождение предела последовательности и предела последовательностей заданных рекурентно. Я освоил вроде и пропустил через себя всю предлагаемую теорию по этому вопросу: теорему Вейерштрасса, критерий Коши етц. Но связать все это в единое целое не смог даже рассмотрев пару типовых примеров из задачника. Не понятно, что именно подразумевается под заданием "найти пример последовательности" догадаться до него интуитивно, а потом доказать существование? Было бы не плохо увидеть пару адекватных примеров, начиная с самого простого, что есть по этой теме.
Аноним 10/10/17 Втр 08:16:55 #1248 №25751 
>>25745
Тригонометрия это чистая математика.
Аноним 10/10/17 Втр 10:05:56 #1249 №25752 
>>25751
Нет. Ты бредишь.
Аноним 10/10/17 Втр 19:45:54 #1250 №25785 
>>25752
Нет, это ты бредишь.
Аноним 10/10/17 Втр 20:18:54 #1251 №25788 
>>25751
>Отвечать тапалогия-тралю
Аноним 11/10/17 Срд 12:36:08 #1252 №25793 
>>25735
y = x + e^x
не нашел производную обратной функции?

немного почитал про неявные фу-ции. у меня получилось:
x(y)` = 1/(1 + e^x(y))
но что толку от такой функции?
не знаю как найти x(y) - обратную функцию.
Школьник-еблан 11/10/17 Срд 17:25:35 #1253 №25798 
IMG0198.JPG
Помогите решить гуманитарию данную поеботу. Не шаню вообще.
Аноним 11/10/17 Срд 17:39:32 #1254 №25800 
>>25798
Ищи здесь
https://gdzputina.ru/
Аноним 11/10/17 Срд 17:42:19 #1255 №25801 
>>25800
Мне нужно решение и результат. Да и тем более, я из Эстонии.
Аноним 11/10/17 Срд 19:35:33 #1256 №25805 
(Вкатываюсь в топологию)
Вот есть множество Х, как известно, оно будет подмножеством самого себя. Тогда, получается, оно будет открытым, если для окрестностей точек даже на краю вылезать некуда?
Аноним 11/10/17 Срд 20:24:39 #1257 №25806 
>>25805
Само множество по определению топологии открытое.
Аноним 11/10/17 Срд 20:36:56 #1258 №25807 
PicsArt10-11-08.29.23.jpg
PicsArt10-11-08.35.52.jpg
>>25806
Спс
И ещё вопрос. По определению топологии функции на пике будут непрерывными или каа? Для каждого открытого множества в образе есть открытый прообраз, все выполняется. То есть определения топологии не вяжутся с анализом? Или я не понимаю чего-то?
Аноним 11/10/17 Срд 21:28:53 #1259 №25808 
>>25807
Про непрерывность конкретной функции не имеет смысла говорить, пока ты не уточнил какая именно топология задана на твоём множестве. Например можно сделать так, что любая функция из твоего множества в любое пространство будет непрерывной, просто снабжаешь его дискретной топологии (открытыми являются все подмножества).
>То есть определения топологии не вяжутся с анализом?
Не знаю почти ничего про анализ, но непрерывность в топологии это именно то, что ты написал выше.
Аноним 11/10/17 Срд 22:19:03 #1260 №25809 
x9zGph42slw.jpg
Пацаны помогите ришить - бля буду очень надо
Среди математиков каждый седьмой — философ, а среди философов каждый девятый — математик. Кого больше: философов или математиков?
Аноним 11/10/17 Срд 23:07:25 #1261 №25811 
изображение.png
изображение.png
изображение.png
>>25805
Вообще, пусть есть какое-то пространство и нужно описать, что какие-то его точки "лежат рядом", а какие-то нет. Возьмем обычное евклидово пространство R3 с дефолтной метрикой. Выберем точку х, необходимо выделить точки лежащие рядом с х в какое-то множество М, причем для каждой точки из этого множества, в этом множестве должны лежать "близкие" к ней. Разумно надувать шары(потому что в них попадают все точки рядом с х) с центром в х, определяются они как множество Sx={y|d(x,y)<(<= для замкнутых)r}. Надув замкнутый шар S, для точек, лежащих на границе шара, в S будут не все близкие к ним точки, это очевидно. Взяв открытый шар выберем в нём любую точку, и проверим, лежат ли в шаре S к ней близкие. Выбрали точку х1, пусть d(x,x1)=h, тогда можно выделить внутри S шар Sx1 радиусом (r-h), очевиднодоказывается с использованием правила треугольника, что любая точка этого шара лежит в исходном шаре. Объединяя открытые шары никакие точки не пропадают, поэтому для каждой точки в объединении лежат и все близкие к ней. Пересекая шары некоторые точки пропадают, поэтому здесь нужно быть осторожней. С одной стороны, если точка х лежит во всех шарах S1, S2, S3..., то близкие к ней так же лежат во всех шарах и должны лежать в пересечении, с другой стороны, можно взять последовательность шаров с центром в х, но чтобы каждый шар был меньше предыдущего. Тогда в их пересечении будет только х. Поэтому только пересечение конечного числа шаров будет открытым.
Само пространство будет открытым, конечно, оно для любой точки содержит и близкие к ней.
>>25807
Непрерывное отображение в точке х - это когда точки рядом с х отображаются в точки рядом с f(x). Переформулируем - любой открытый шар S с центром в х отображается в какой-то открытый шар с центром в f(x). Тогда все шары S можно отобразить вообще во всё пространство, и тогда отображение с пика2 можно считать непрерывным, а нам это не нужно. Можно взять небольшой шар в точке разрыва, и ясно видно, что точки близкие к x в него не отображаются. Используя это можно определить непрерывное отображение так: отображение X->Y непрерывно, если для любого шара J с центром f(x) существует такой шар K с центром в х, что f(K) подмножество J. Но это не все, если допустим у шара несколько прообразову периодических функций всегда так, то можно просто увеличить шар в Х, и он будет при отображении попадать в нужный. Но он может не быть подмножестовом. Пусть функция имеет разрыв. Пусть всё же получилось выбрать "большой" шар так, что он оказался подмножеством, тогда он весь лежит в малом шаре и разрыва нет(и функция постоянная с этого момента). Для примера рассмотрим функцию sin(x) с разрывом. Возьмем небольшой шар в разрыве(Зеленый), в X можно выбрать такой шар(Фиолетовый), что он покрывает З. Но, в этом случае, f(Ф) не будет подмножеством З. Пусть оно будет подмножеством, тогда будет пик 2(вообще там будет прямая).
Поэтому твой пик2 прерывен, для маленького шара между точками разрыва нет шара с центром в точке образ который точка разрыва, который в него бы попадал.
>>25809
пик3. Пусть A - множество математикоф, В - множество филасафав, тогда их пересечение - множество математикаф-филасафаф. Вычтем пересечение из каждого множества, нам будет казаца, что филасафов больше, но на самом деле и математикоф и философоф будет одинакого, если их не конечное число.
Аноним 11/10/17 Срд 23:08:34 #1262 №25812 
изображение.png
изображение.png
изображение.png
>>25811
пики перемешались. вот правильные.

Аноним 12/10/17 Чтв 01:05:04 #1263 №25815 
>>25807
Надо не чтобы был какой-нибудь открытый прообраз, а чтобы полный прообраз был открыт, все вяжется, нафиг нужна была бы топология, которая не вяжется с анализом, блин.
Аноним 12/10/17 Чтв 16:28:57 #1264 №25820 
Правда, что на Западе уже давно интегрируют по Лебегу, и только у нас до сих пор копротивляются за Римана?
Аноним 12/10/17 Чтв 19:11:49 #1265 №25824 DELETED
Я правильно понимаю, что композиция функций многочлена будет применяться к каждому существующему х?
То есть, если f(x)=x^2+x+1, то f(f(x))=(x^2+x+1)^2+(x^2+x+1)+1?
Аноним 12/10/17 Чтв 19:40:02 #1266 №25826 
Существуют ли ассоциативные (конечные) квазигруппы, не являющиеся лупами ?
Аноним 12/10/17 Чтв 22:51:24 #1267 №25827 
>>25820
>интегрируют
Причём тут математика?
Аноним 12/10/17 Чтв 23:15:05 #1268 №25828 
>>25827
Ой все, пора создавать еще и /calc/
Аноним 12/10/17 Чтв 23:17:04 #1269 №25829 
>>25828
Действительно, или просто забыть о этой хуйней. Даже раздел создавать не нужно в таком случае.
Аноним 13/10/17 Птн 01:24:02 #1270 №25830 
Как программно можно выяснить по табличной функции квадратичная/линейная/кубическая/логарифмическая ли она?
Аноним 13/10/17 Птн 03:09:16 #1271 №25831 
>>25830
По индукции.
Аноним 13/10/17 Птн 07:31:40 #1272 №25832 
>>25824
да правильно
Аноним 13/10/17 Птн 08:40:37 #1273 №25833 
Есть вектора целых чисел одинаковой длины N. Можно ли как-нибудь найти для каждого вектора набор коэффициентов некоторой функции от i, так что данная функция с j-тым набором коэффициентов будет принимать значения j-того вектора на интервале от i до i+N ?
Аноним 13/10/17 Птн 09:08:56 #1274 №25834 
>>25833
Да, данный набор коэффициентов является группой и он изоморфен N-той когомологии твоего векторного пространства.
Аноним 13/10/17 Птн 09:14:29 #1275 №25835 
>>25834
Я не знаю что такое когомологии. Я спросил примеры таких функций и как находить их коэффициенты. Например, интерполяционный многочлен Лагранжа подходит, но идея в том, чтобы коэффициенты занимали места в памяти меньше чем исходные числа. Я программист.
Аноним 13/10/17 Птн 09:24:54 #1276 №25836 
>>25835
Сейчас посчитал все когомологии этого векторного пространства и оказалось, что для всех N >= 2 они тривиальны. То есть все коэффиценты будут нулевыми, так что можешь сразу нули везде проставлять. Что-то интересное может быть только при длине строго меньше двух.
>Я программист.
https://www.youtube.com/watch?v=1wtq5A7VMsA - можешь попробовать вот это посмотреть если хочешь разобраться.
Аноним 13/10/17 Птн 10:00:38 #1277 №25839 
>>25836
Я не понимаю как следует интерпретировать то, что ты говоришь. При N = 1 это не вектора, а числа, это уже ничем не поможет. Что ушло в 0 ? Как это использовать ? Вот я вижу что полином Лагранжа решает мою задачу, просто он огромный, проще сами вектора запомнить. Можешь на его примере показать что дают эти коэффициенты и где там нули проставлять ?
comments powered by Disqus