Сохранен 396
https://2ch.su/b/res/190001255.html
24 декабря 2023 г. Архивач восстановлен после серьёзной аварии. К сожалению, значительная часть сохранённых изображений и видео была потеряна. Подробности случившегося. Мы призываем всех неравнодушных помочь нам с восстановлением утраченного контента!

ТУПЫХ ТРЕД. ВОПРОСЫ, КОТОРЫЕ ТЫ ВСЕГДА СТЕСНЯЛСЯ

 Аноним 19/01/19 Суб 18:31:29 #1 №190001255 
WindowsXPSP3.png
win98desk.png
5bd874361534d569d3c42bb2windows95uikit-02.png
windows-10-october-2018-update.jpg
ТУПЫХ ТРЕД.
ВОПРОСЫ, КОТОРЫЕ ТЫ ВСЕГДА СТЕСНЯЛСЯ СПРОСИТЬ.


1. Почему на линукс нет игр? В смысле, почему нельзя открыть исходный код игры в линуксе и нажать "сконпилировать", чтобы конпилятор сконпилировал .exe под линукс? Объясните простым языком, словно я долбоёб, спрашивающий вопрос в /б/.

2. Почему на линкус нет фотошопа? В смысле, почему нельзя открыть исходный код фотошопа в линуксе и нажать "сконпилировать", чтобы конпилятор сконпилировал .exe под линукс? А?

3. Зачем спецслужбы всего мира стремятся читать переписку граждан? Какой им с этого профит? Они продают информацию рекламодателям?

4. Древние люди правда считали дизайн win98 и winXP красивым? Что придёт на смену современному минималистичному плоскому дизайну?

5. Продолжение предыдущего вопроса. Логотип ДжонФёдор — говно? Логотип було чная — говно?
Аноним 19/01/19 Суб 18:32:52 #2 №190001329 
>>190001255 (OP)
>3. Зачем спецслужбы всего мира стремятся читать переписку граждан? Какой им с этого профит? Они продают информацию рекламодателям?

Полный контроль, сбор статистики
Аноним 19/01/19 Суб 18:34:03 #3 №190001393 
Хорошие вопросы
Аноним 19/01/19 Суб 18:34:34 #4 №190001420 
>>190001329
Полный контроль чего? Они даже нетеракт в ПТУ не смогли проконтролировать.

>>190001393
Спасибо.
sage[mailto:sage] Аноним 19/01/19 Суб 18:34:46 #5 №190001435 
>>190001255 (OP)
>Древние люди правда считали дизайн win98 и winXP красивым?
репортнул несовершеннолетнего)
жди бан, мелкий пидор)
Аноним 19/01/19 Суб 18:35:18 #6 №190001459 
2538226original.png
Аноним 19/01/19 Суб 18:35:21 #7 №190001461 
>>190001255 (OP)
Дизайн windows xp -- лучший в мире. у других виндов говно полнейшее.
Аноним OP 19/01/19 Суб 18:35:47 #8 №190001486 
>>190001435
Ребёнок, мне 27 лет.
sage[mailto:sage] Аноним 19/01/19 Суб 18:36:39 #9 №190001529 
>>190001486
да я сначала не хотел репортить, решил угарнуть))

но вот теперь уж точно зарепортил)
всё, жди бан, мелкий пидор!)
Аноним OP 19/01/19 Суб 18:37:32 #10 №190001571 
>>190001529
Ты тоже с видоса Варламова, скобкоблядь мелкобуквенная?
Аноним 19/01/19 Суб 18:37:41 #11 №190001576 
>>190001529
Ахах
Аноним 19/01/19 Суб 18:37:54 #12 №190001590 
>>190001255 (OP)
>2. Почему на линкус нет фотошопа? В смысле, почему нельзя открыть исходный код фотошопа в линуксе и нажать "сконпилировать", чтобы конпилятор сконпилировал .exe под линукс? А?
Потому что компания, которая делала фотошоп, не дает исходников.
Аноним 19/01/19 Суб 18:38:04 #13 №190001598 
Чувствуют ли селедки затекание воды в свою дырку, например в ванне или бассейне?
Аноним 19/01/19 Суб 18:38:49 #14 №190001628 
>>190001590
Что мешает компании взять свой исходный код и сконпилировать его в линуксе?
Аноним 19/01/19 Суб 18:40:01 #15 №190001677 
>>190001628
А ей это зачем?
Аноним 19/01/19 Суб 18:40:34 #16 №190001701 
>>190001677
Чтобы линуксоиды тоже покупали фотошоп.
Аноним 19/01/19 Суб 18:41:09 #17 №190001726 
>>190001255 (OP)
>3. Зачем спецслужбы всего мира стремятся читать переписку граждан? Какой им с этого профит? Они продают информацию рекламодателям?
Мнимое господство, ширма, призма, человеческое желание, потребность группы людей, прихоти хуманов, власть и тд. Но это явно не с целью доброго умысла
>4. Древние люди правда считали дизайн win98 и winXP красивым? Что придёт на смену современному минималистичному плоскому дизайну?
Круглый, ромбовидный, треугольник, много вариантов
Аноним 19/01/19 Суб 18:42:55 #18 №190001819 
>>190001255 (OP)
>1. Почему на линукс нет игр? В смысле, почему нельзя открыть исходный код игры в линуксе и нажать "сконпилировать", чтобы конпилятор сконпилировал .exe под линукс? Объясните простым языком, словно я долбоёб, спрашивающий вопрос в /б/.
Можно эмулировать, но скорость будет полная хуита. Это как мозг пытались в мощных датацентрах и удалось только секунду симулировать за не пойми сколько времени.

>2. Почему на линкус нет фотошопа? В смысле, почему нельзя открыть исходный код фотошопа в линуксе и нажать "сконпилировать", чтобы конпилятор сконпилировал .exe под линукс? А?
Запусти в Wine (это транслятор инструкций, а не эмулятор)

>3. Зачем спецслужбы всего мира стремятся читать переписку граждан? Какой им с этого профит? Они продают информацию рекламодателям?
Можно управлять людьми, отслеживать что сейчас популярно и не очень, внедрять определённые тренды.

>4. Древние люди правда считали дизайн win98 и winXP красивым? Что придёт на смену современному минималистичному плоскому дизайну?
В диковинку тогда было. Может будет какие-то очередные псевдоголограммы, хотя сейчас молодёжь любит пиксельную графику, все эти реальные вещи в стиле майнкрафта.
Аноним 19/01/19 Суб 18:43:48 #19 №190001870 
>>190001255 (OP)
1) На линуксе есть игры. Тот же андроид — это линкус. На андроиде нет игр? И да, есть стим под убунту и ещё какие-то там линуксы. Не все игры из библиотеки работают, конечно, но что-то запускается.
2) Потому что код, который написан под одну ОС не будет работать на другой. Разные способы взаимодействия с железом, разные драйвера, программные прослойки и так далее накладывают серьезные ограничения в совместимости. Для чего, в общем-то, и были придуманы специальные API, помогающие существенно упростить разработку графики под Win. DirectX, например.
3)Для того, чтобы грести бабло и челядь не мешалась.
4) Дизайн 98 мне нравился как-то больше всех. Наверное потому, что я был пиздюком и после 98 я накатил Win ME, а диск с 98 отдал другу. Я мучился неделю, пока тот не выйдет на связь.
5) Вообще хуй знает, что это такое.
Аноним 19/01/19 Суб 18:45:16 #20 №190001947 
>>190001255 (OP)
1 - Под линуксом не было всяких программных интерфейсов, которые нужны для современных игор. Сейчас с этим попроще, но в большинстве своём, игроделам просто насрать на линукс ибо сидит на нём полтора инвалида.
2 - То же самое что и с играми.
3 - На каждый случившийся теракт, приходится штук 100 предотвращённых. Спецслужбы всегда имели очень большой уровень контроля, просто когда дело дошло до мессенджеров - это начало становится заметным.
4 - Да, считали, но не все. Кому не нравилось - ставили себе сторонние оболочки, типа Talisman Desktop, Aston, Lite Step.
5 - не ебу, о чём ты.
Аноним 19/01/19 Суб 18:45:55 #21 №190001980 
>>190001947
Кто делает терракты?
Аноним 19/01/19 Суб 18:46:27 #22 №190002012 
>>190001980
Террористы, глупенький.
Аноним 19/01/19 Суб 18:47:34 #23 №190002074 
>>190002012
Это ещё кто здесь глупенький
Аноним 19/01/19 Суб 18:48:58 #24 №190002138 
>>190002074
2 чая
>>190002012
а ты лох
Аноним 19/01/19 Суб 18:50:39 #25 №190002235 
>>190002074
Дай определение слова "Террорист".
Аноним 19/01/19 Суб 18:52:52 #26 №190002364 
>>190001255 (OP)
Ответ на 1 и 2 вопрос: ограничителем в портировании являются библиотеки. Безусловно, чтобы перекомпилировать сам код, достаточно просто сменить платформу для компиляции и, собственно, скомпилировать. Однако если код использует библиотеки, которые проприетарны и существуют только на конкретной ОС, то чтобы заставить работать эту программу на другой системе, тебе потребуется переписывать код с использованием библиотек другой платформы. Банальный примнр: возьмем игру, возьмем движок, на котором сделана игра. И тут окажется, что весь рендер двигла основан на DirectX (Direct 3D, если говорить о графике). А в линуксе его нет, там OpenGL и Vulkan, ибо DirectX - майкрософтовская херня.
Аноним 19/01/19 Суб 18:55:06 #27 №190002483 
Чувствуют ли селедки затекание воды в свою дырку, например в ванне или бассейне?
Аноним 19/01/19 Суб 18:55:24 #28 №190002505 
Может ли предложение родить спрос?
Аноним 19/01/19 Суб 18:55:48 #29 №190002528 
>>190002364
Так. Почему никто не пишет библиотеки, подобные тем, которые используются в фотошепе? Чтобы потом сконпилировать фотошеп в линуксе.
Аноним 19/01/19 Суб 19:02:24 #30 №190002890 
>>190002528
А с чего ты взял, что не пишут? В случае с линуксом есть такая софтина, которая называется WINE, разработкой которой занимаются энтузиасты. Так вот, по сути это огромный набор виндовых библиотек, которые переписаны под линукс. Т.е., кодеры с помощью реверс-инжиниринга сначала получают исходники того же DirectX в винде. Потом компилируют полученные исходники DirectX'а под Linux. Ура, теперь у нас линукс поддерживает DirectX! И можно запускать игру, которой нужен этот DirectX в Линуксе.
Аноним 19/01/19 Суб 19:12:22 #31 №190003471 
>>190001255 (OP)
Чем занимаются тысячи программистов в нонейм-компаниях? Мне кажется, все программы уже написаны, причём программистами из гигантских компаний уровня гугла и майкрософта. Остаётся только допиливать новые версии.
Но нет, постоянно вижу посты категории Я ДЖАВА ПИТОН СЕНЬОР, ПОЛУЧАЮ 300К, НЕДАВНО ЗАКАЗЧИКУ НАШЛИ НОВОЕ РЕШЕНИЕ АВТОМАТИЗАЦИИ ПРОЦЕССОВ, ПОЛУЧАЮ 300К, Я СЕНЬОР И ТИМЛИД. За что ты там 300к получаешь, ебало подъездное?
Аноним 19/01/19 Суб 19:13:55 #32 №190003566 
>>190003471
"Все программы написаны" - утверждения уровня "вся музыка написана", "все фильмы сняты", "все уже придумано"
Аноним 19/01/19 Суб 19:14:46 #33 №190003616 
е
Аноним 19/01/19 Суб 19:15:30 #34 №190003647 
>>190003471
Делают новый йобадизайн, добавляют телеметрию и ухудшают программы.
Аноним 19/01/19 Суб 19:16:44 #35 №190003707 
>>190003566
Музыка и фильмы — это искусство, а программы — это как костыли, на которых ходит безногий человек. Но костыли уже изобретены, никто не нанимает инженеров и не платит им по 300к в месяц, чтобы они изобрели новую модель костылей.
Аноним 19/01/19 Суб 19:19:07 #36 №190003836 
>>190003471
Да, ты прав, все программы давно написаны. Но написаны хуёво. Надо переписывать.
Аноним 19/01/19 Суб 19:19:13 #37 №190003840 
>>190003471
Каждому бизнесу нужны решения по автоматизации, почти все они требуют оригинальных решений. На данный момент работы овердохуя.
Мимо сисадмин.
Аноним 19/01/19 Суб 19:20:50 #38 №190003924 
>>190003707
Пиздец ты щас обидел нормальных кодеров. Схуяли написание программ - не искусство? Костыли какие-то выдумал. У меня может быть задача сделать робота, который будет мне дрочить. Может быть задача сделать сайт для моей фирмы (хотя веб-девелоперы - такие себе программисты). Вообще, программы ограничены только твоим воображением. Можно сделать симуляции твоей жизни, усыпить тебя и погрузить в эту симуляцию
Аноним 19/01/19 Суб 19:21:56 #39 №190003978 
>>190001255 (OP)
>нельзя открыть исходный код
Можно. Я разрешаю. Бери исходный код фотошопа и компилируй? Я повторяю, бери исходный код фотошопа? Ты можешь взять исходный код фотошопа? Он у тебя есть? Ты знаешь где его достать?
Только давай без этих вот "скачаю с торента". Если сторента, то на каком конкретно сайте это торент. Не "в гугле", а какой конкретно сайт с конкретно торентом исходного кода фотошопа?
Аноним 19/01/19 Суб 19:21:59 #40 №190003983 
>>190003924
Нельзя. Вообще даже интернет это полный костыль.
Аноним 19/01/19 Суб 19:23:09 #41 №190004050 
>>190003924
>Можно сделать симуляции твоей жизни, усыпить тебя и погрузить в эту симуляцию
Этим будут заниматься программисты из гугла, а не этот >>190003840 находитель решений по автоматизации.
Аноним 19/01/19 Суб 19:23:51 #42 №190004086 
image.png
>>190001701
>линуксоиды
>покупали
Не по понятиям. Братва не поймёт.
Аноним 19/01/19 Суб 19:24:01 #43 №190004094 
>>190003978
Дебил, порвался? Я повторяю, порвался?
Аноним 19/01/19 Суб 19:24:16 #44 №190004105 
Нахуя кассирши рвут чек?
Аноним 19/01/19 Суб 19:24:17 #45 №190004107 
>>190003983
Достань костыль из своего ануса уже наконец
Аноним 19/01/19 Суб 19:25:15 #46 №190004149 
>>190004107
Насрал своим кодом на твой костыль в жопе
Аноним 19/01/19 Суб 19:25:42 #47 №190004164 
>>190001486
Тогда какого хуя ты не знаешь красивым ли был хр или нет?
Аноним 19/01/19 Суб 19:25:50 #48 №190004172 
>>190002505
Если ты предложешь пососать, то наверняка спрос будет.
Аноним 19/01/19 Суб 19:25:56 #49 №190004177 
Может ли кто нормально объяснить, почему нельзя прилететь на Солнце ночью? Я понимаю, что типа её ночью не видно, но ведь можно же отследить её положение по круговому движению Земли.
Аноним 19/01/19 Суб 19:26:17 #50 №190004197 
>>190004050
Ты так говоришь, как будто программист из гугла -- это прогер-бог, к уровню которого даже нельзя приблизиться. Особенно забавно в текущих реалиях, когда туда берут сжв-скам
Аноним OP 19/01/19 Суб 19:26:25 #51 №190004205 
>>190004164
Он был очень некрасивым, но если это сделали, то значит, был спрос на такое говно?
Аноним 19/01/19 Суб 19:26:44 #52 №190004215 
>>190004105
От нехуй делать.
Аноним 19/01/19 Суб 19:27:10 #53 №190004235 
>>190004177
Солнце это пушка, которая убивает всех кто подлетает ближе
Аноним 19/01/19 Суб 19:27:11 #54 №190004238 
>>190004205
На чем же ты сидел тогда дядя?
Аноним 19/01/19 Суб 19:27:54 #55 №190004268 
>>190004172
>>190004215
Петросян в треде, все в гороскоп
Аноним 19/01/19 Суб 19:28:08 #56 №190004275 
>>190004177
Солнце это миф шароёбов.
Аноним 19/01/19 Суб 19:28:14 #57 №190004277 
1385806853645.gif

1) Если в телеграме меняешь ник, то кто тебе писал на старый ник, уже не узнают твой новый?
2) Если твой номер есть у кого-то в контактах телефона, то в телеге он тебя легко найдет?
3) Как дела обстоят с truecrypt, какая версия не скомпрометирована?
4) Что по поводу "чeбypнeтa", реально собираются отключать от всего мира, но тогда же полный пиздец всем сервисам придет или это просто журнашлюхи как всегда раздули, а на деле это на всякий случай, как крайняя мера в случае глобального пиздеца?
Аноним 19/01/19 Суб 19:29:37 #58 №190004339 
>>190004277
Наркоман ебучий
Аноним 19/01/19 Суб 19:30:19 #59 №190004372 
>>190001701
Но ведь у них нет денег
Аноним 19/01/19 Суб 19:30:23 #60 №190004375 
>>190004277
> 2)
Если ты в телеге есть, то будешь сразу там отображаться.
Аноним 19/01/19 Суб 19:30:29 #61 №190004382 
Что будет, если ты будучи сидельцем в черном дельфине, например, станешь притворяться что поехал кукухой (ну тип из тебя хороший актер), не будешь подчиняться и будешь вытворять всякую дичь, расскроют или не? И куда там вообще поехавших девают? В психушку ведь врядли положут, т.к опасны
Аноним 19/01/19 Суб 19:30:40 #62 №190004395 
>>190004277
1. У них тоже отображаемый ник сменится
2. Да
3. -
4. Пиздят
Аноним 19/01/19 Суб 19:30:43 #63 №190004396 
>>190004235
>>190004275
Хорош петросянить поцоны, я реально не знаю - сидел всю жизнь на домашнем обучении, сейчас кое-как отхожу от теории плоской Земли. Я так-то в основном гумманитарные науки изучал.

Ещё такой вопрос, я где-то вычитал, что капля солнечного вещества, попав на Землю, испарит всё в радиусе 160 километров. Это реально так?
И ещё: я читал, что в космое на 88 галонов воздуха (не знаю какой точно у галона объём) приходится 1 атом. То есть там не полный вакуум.
Аноним 19/01/19 Суб 19:31:53 #64 №190004457 
>>190002890
Лаги и баги, смотреть неприятно
Аноним 19/01/19 Суб 19:32:39 #65 №190004488 
1) Почему игори не оптимизируют под старое железо? Заговор?
2) Почему после сна возникают пошлые мысли и идеи, но затем они проходят?
Аноним 19/01/19 Суб 19:33:01 #66 №190004507 
>>190004339
Еблан предвзятый, скорее всего ты как раз нapкоман если такую xyйню несешь.
>>190004375
>>190004395
Спсибо.
Аноним 19/01/19 Суб 19:33:34 #67 №190004528 
>>190001255 (OP)
> 1. Почему на линукс нет игр? В смысле, почему нельзя открыть исходный код игры в линуксе и нажать "сконпилировать", чтобы конпилятор сконпилировал .exe под линукс? Объясните простым языком, словно я долбоёб, спрашивающий вопрос в /б/.
Потому-что винда имеет одно ядро и одну архитектуру еще со времен DOS. Линукс - также имеет одну архитектуру, но она очень сильно отличается от винды. Также большинство ПО изначально хуй клали на Линукс и писали всё под встроенные в Windows библиотеки.

> 2. Почему на линкус нет фотошопа? В смысле, почему нельзя открыть исходный код фотошопа в линуксе и нажать "сконпилировать", чтобы конпилятор сконпилировал .exe под линукс? А?
Смотреть выше.

> 3. Зачем спецслужбы всего мира стремятся читать переписку граждан? Какой им с этого профит? Они продают информацию рекламодателям?
Они не стремятся читать переписку рандомхуя о его ипотеке и детях. Они стремятся получить доступ к максимально возможному кол-ву информации о преступнике, а также предотвратить возможные преступления.

> 4. Древние люди правда считали дизайн win98 и winXP красивым? Что придёт на смену современному минималистичному плоскому дизайну?
Да. Этот дизайн и тогда объективно был убогим, но он был единственным и стал таким из-за ограничений производительности. Например в Linux и Windows оболочках используется сглаживание, тесселяция и много другого постпроцессинга, также появился такой формат изображений, как svg и т.д.

> 5. Продолжение предыдущего вопроса. Логотип ДжонФёдор — говно? Логотип було чная — говно?
У студии Артемия есть такая услуга, как дизайн логотипа за копейки (100 тысяч). Суть этой услуги - исключительно агрессивный пиар. Можно в этом убедиться достаточно просто - если брать работы их дизайнеров в полноценных проектах - можно понять, что они делают действительно хорошие вещи, но конкретно в их работах по этой услуге - явно прослеживается деградация и целенаправленность. Это обычный пиар.
Аноним 19/01/19 Суб 19:33:58 #68 №190004549 
>>190004457
Ибо самих исходников нет, а пытаются лишь реализовать функционал библиотеки, "дергая за ниточки" - реверс-инж-я
Работает, кстати, нормально
Аноним 19/01/19 Суб 19:34:10 #69 №190004561 
>>190001819
>Это как мозг пытались в мощных датацентрах
Мозг пытались в мощных датацентрах что?
Аноним 19/01/19 Суб 19:36:25 #70 №190004666 
>>190004177
Ночью погода нелетная
Аноним 19/01/19 Суб 19:36:42 #71 №190004683 
>>190001628
То, что он написан под Windows.
Аноним 19/01/19 Суб 19:36:44 #72 №190004689 
>>190002890
Реверс инжениринг это не кража? А вдруг они при этом хакерским способом украли часть закрытого кода и от него плясали?
Аноним 19/01/19 Суб 19:36:55 #73 №190004698 
rybka-07-750x500.jpg
Почему кончиком пальца можно "прочитать" номинал монеты, а кончиком члена не получается?
Аноним 19/01/19 Суб 19:37:35 #74 №190004731 
>>190004177
Как ты ночью полетишь на солнце, если ночью солнце под землёй? Подземные ракеты пока не изобрели.
Аноним 19/01/19 Суб 19:37:41 #75 №190004732 
Почему у женщин синхронизируется менструальный цикл? Они, что, роботы?
Аноним 19/01/19 Суб 19:37:47 #76 №190004740 
>>190004698
У меня получается.
Аноним 19/01/19 Суб 19:38:24 #77 №190004767 
>>190004732
Развитие беспроводных технологий. Про вай-фай не слышал? По нему и синхронизируются.
Аноним 19/01/19 Суб 19:38:29 #78 №190004771 
>>190004698
Потому что у тебя член хуёвый. У меня прекрасно получается.
Аноним 19/01/19 Суб 19:39:03 #79 №190004799 
>>190004767
Да ну
Аноним 19/01/19 Суб 19:40:38 #80 №190004874 
>>190004799
Ну некоторые бабы постарше синхронизируются по блютусу.
Аноним 19/01/19 Суб 19:40:45 #81 №190004881 
original.jpg
>>190004771
что то не верится.
Получается, безрукий слепец может читать книжки с шрифтом Брайля хуйцом?
Аноним 19/01/19 Суб 19:40:46 #82 №190004882 
>>190001255 (OP)
>>190001486
>Ребёнок, мне 27 лет.
Или тебе намного меньше, или ты умственно отсталая.
В любом случае, тебе не понять.
Аноним 19/01/19 Суб 19:40:49 #83 №190004886 
>>190001255 (OP)
Тут все как-то игнорируют пятый вопрос.
Вообще это работы Альбины Гайнуллиной же и они бывают...мммм, неоднозначными. В частности, градиентики её обычно признают за моветон.
Дизайн хороший, когда он подходит, вывеска шавермной с ярко-красным текстом и пикчей жратвы на фоне может быть удачной, потому что уместно.
Лично мне логотипы кажутся говном, но имхо, экспресс-дизайн у Лебедева покупают для пиара.
Аноним 19/01/19 Суб 19:42:18 #84 №190004951 
>>190004881
Конечно
Аноним 19/01/19 Суб 19:42:57 #85 №190004990 
1972590.jpg
>>190004881
Да, а при чтении литературы посложнее он будет говорить "Нихуя не понял".
Аноним 19/01/19 Суб 19:43:45 #86 №190005029 
g21beef9d9338d4ea57a901aaeeaf4fda21400x1100.jpg
>>190004951
вы меня разыгрываете
Аноним 19/01/19 Суб 19:44:22 #87 №190005065 
>>190004881
Не веришь? Велком вхуетред. Увидишь самый красивый хуй - знай что это мой.
Аноним 19/01/19 Суб 19:44:52 #88 №190005091 
>>190001598
Рыбы чувствуют воду так же как ты чувствуешь воздух.
Аноним 19/01/19 Суб 19:45:19 #89 №190005115 
Почему даунов не размножают на фермах и не выращивают на органы?
Аноним 19/01/19 Суб 19:45:22 #90 №190005119 
почему фотошоп есть на мак но нет на линукс?
Аноним 19/01/19 Суб 19:45:51 #91 №190005150 
>>190005119
Потому что курва.
Аноним 19/01/19 Суб 19:46:03 #92 №190005159 
>>190005119
фотошоп есть везде
Аноним 19/01/19 Суб 19:46:13 #93 №190005171 
>>190005115
Размножают
Аноним 19/01/19 Суб 19:46:17 #94 №190005176 
g76beef5068eb685d7b15a4628465301521400x1100.jpg
>>190005115
дауны бесплодны же, не?
Аноним 19/01/19 Суб 19:47:36 #95 №190005228 
ИГРУ МНЕ СКОНПИЛИЛ БЛЯТЬ
ИГРУ МНЕ СКОНПИЛИЛ БЛЯТЬ
ИГРУ МНЕ СКОНПИЛИЛ БЛЯТЬ
ИГРУ МНЕ СКОНПИЛИЛ БЛЯТЬ
ИГРУ МНЕ СКОНПИЛИЛ БЛЯТЬ


Аноним 19/01/19 Суб 19:47:38 #96 №190005231 
>>190001255 (OP)
1,2. Потому что линукс отличается от винды настолько, что работающий на винде код сложность выше хелловорлда на линуксе не будет работать. ФШ и студиям невыгодно портировать игру на линукс, так как это не окупится, так что жди вендекапец, мой красноглазый друг
Аноним 19/01/19 Суб 19:47:54 #97 №190005247 

>>190000000
Аноним 19/01/19 Суб 19:48:13 #98 №190005260 
>>190004382
> опасны
Ты очень мало знаешь о карательной психиатрии. Просто привяжут и заколят до состояния полного распада личности.
Аноним 19/01/19 Суб 19:48:21 #99 №190005264 
15477705478740-dvach-po-31463620.jpg
Чем взяли гет?
Аноним 19/01/19 Суб 19:48:29 #100 №190005271 
>>190005176
Нет, ты же родился
Аноним 19/01/19 Суб 19:49:44 #101 №190005320 
>>190001255 (OP)
1. Игры есть, но их мало. Стимос - одна из разновидностей линукса.
Линуксов разных и малосовместимых столько много, что разрабам лень пилить продукт под все.
Исходный код есть только у разрабов, они его не продают никому.
Отсутствие developer kit под линуксы.
Вот это вот всё.
Аноним 19/01/19 Суб 19:50:44 #102 №190005369 
>>190004683
ФШ изначально под маки делался, а они гораздо ближе к линуксу, чем к винде.
Аноним 19/01/19 Суб 19:51:58 #103 №190005437 
>>190001255 (OP)
3. Чтобы можно было взять за жопу любого
4. Выбирать было не из чего, тогда даже линуксов дестопкных не было. Но были средства украсивить этовсё.
Хорошо было бы, если бы мелкомягкие запилили всю ось в едином стиле, а не как сейчас с десяткой
Аноним 19/01/19 Суб 19:52:05 #104 №190005447 
>>190005260
Кстати, для Черного Дельфина это самый норм выход. Лучше уж под фармой быстро и безболезненно тронуться умом и перестать осознавать реальность, чем долго и мучительно сгорать от режима тюрьмы.
Аноним 19/01/19 Суб 19:52:17 #105 №190005457 
Антоны, поясните как люди "ходят в баню"? Я не про общественные помывочные бани, где все посетители трясут своими жеппами перед тобой, я спрашиваю про бани на дачах, на отдыхе и т.п. В компании корешей принято заходить голым или в плавках? если голым, то это как-то по-гейски расскажи опытный анон-шашлычник, любитель отдыха на природе как обычно это бывает?
Аноним 19/01/19 Суб 19:52:38 #106 №190005473 
>>190001255 (OP)
>4. Древние люди правда считали дизайн win98 и winXP красивым?
Да.

Правда мне не нравилась стандартная сине-зеленая тема и я всегда менял ее на Silver.
Аноним 19/01/19 Суб 19:53:22 #107 №190005515 
>>190005457
В плавках или простынях/полотенцах.
Аноним 19/01/19 Суб 19:53:24 #108 №190005518 
>>190005457
Нихуя гейского, тащемта.
Аноним 19/01/19 Суб 19:53:54 #109 №190005556 
>>190005264
Онеме же
>>190000000
Аноним 19/01/19 Суб 19:54:10 #110 №190005571 
>>190001459
Что должны подразумевать эти чешуйки внизу? Сколько смотрю на них, вижу только чипсы
Аноним 19/01/19 Суб 19:54:55 #111 №190005614 
136323443516212.jpg
Почему русские всегда ездят верхом на бронетехнике, а не внутри её?
Аноним 19/01/19 Суб 19:55:37 #112 №190005652 
>>190001598
Да
Аноним 19/01/19 Суб 19:55:42 #113 №190005654 
>>190005447
Человек до последнего верит в чудо. Они там прошения о помиловании и/или пересмотре дела строчат, как из пулемёта.
Аноним 19/01/19 Суб 19:56:28 #114 №190005693 
>>190005457
Один раз с одногруппниками ходили в баню. Там было еще джакузи - в нем сидели без трусов, я даже не помню почему. Ужратыми были уже. Но мы часто в шутку можем что-то пидорское сделать (двое даже целовались на спор).
Аноним 19/01/19 Суб 19:57:11 #115 №190005738 
14291239053540.jpg
Главный вопрос треда:

НА КАКОЙ ДОМЕН ПЕРЕЕХАЛ АРХИВАЧ?
Аноним 19/01/19 Суб 19:57:12 #116 №190005739 
>>190005457
> В компании корешей принято заходить голым или в плавках?
Ты в своём уме? Ясен хуй, на яйца надо что-то накинуть в парной, иначе сожжёшь, сидя на лавке.
Аноним 19/01/19 Суб 19:57:31 #117 №190005750 
>>190005176
Ну не придирайся к словам. есть же просто дибилы от рождения но с рабочим аппаратом.
Аноним 19/01/19 Суб 19:58:09 #118 №190005780 
>>190005614
При подрыве фугаса, внутри брони 146% труп или инвалид.
Аноним 19/01/19 Суб 19:59:06 #119 №190005824 
>>190005739
но лавки же деревянные, а не металлические
sage[mailto:sage] Аноним 19/01/19 Суб 19:59:11 #120 №190005828 
>>190001255 (OP)
>словно я долбоёб

Не словно, ты на самом деле тупорылый долбоёб.
Аноним 19/01/19 Суб 19:59:40 #121 №190005853 
>>190005738
arhivachovtj2jrp.onion
Аноним 19/01/19 Суб 19:59:43 #122 №190005856 
>>190005780
Водиле 146% пизда?
Аноним 19/01/19 Суб 20:00:57 #123 №190005918 
>>190004689
Хороший вопрос. Я не знаю. Это уже юридический момент. Мб, кто-нибудь ответит
Аноним 19/01/19 Суб 20:01:00 #124 №190005920 
>>190005614
Чтоб не ебнули весь экипаж кумулятивом
Аноним 19/01/19 Суб 20:01:02 #125 №190005922 
>>190005824
Наверное, врачи объяснят лучше, но в парной надо накрывать башку и яйки, иначе возможен вред здоровью.
sage[mailto:sage] Аноним 19/01/19 Суб 20:01:07 #126 №190005924 
>>190001255 (OP)
>сконпилировать

Не позорься, еблан, сначала изучи русский язык, потом пиши людям.
sage[mailto:sage] Аноним 19/01/19 Суб 20:01:30 #127 №190005954 
>>190005571
Корочка.
Аноним 19/01/19 Суб 20:01:41 #128 №190005961 
>>190001255 (OP)
1) Игры на DirectX от Microsoft, а для линукса нужен OpenGL.
2) Потому что системы разные.
3) Чтоб было. При желании за яйца взять могут или предотвратить теракт(но это не точно)
4) До сих пор считаю, при том что мне 22. ХР, конечно, так себе, но вот дизайн 98\Ме был охуенным по мне. Минимум свистоперделок.
5) Вообще похуй, раз столько внимания привлёк, то не говно.
Аноним 19/01/19 Суб 20:02:14 #129 №190005992 
>>190005738
.ng
Аноним 19/01/19 Суб 20:02:38 #130 №190006013 
>>190001420
> Полный контроль чего? Они даже нетеракт в ПТУ не смогли проконтролировать.
А как они должны были проконтролировать ПТУ если исполнитель весь свой план держал только в голове? Телепатическими способностями ни одна спецслужба мира не обладает.
Алсо, спецслужбам нужно знать тенденции настроений в обществе, как оно относится к власти, где могут возникнуть очаги нестабильности, чтобы соответствующе корректировать политику государства. Для того и читают массово и строят разные умные системы анализа.
Аноним 19/01/19 Суб 20:02:55 #131 №190006033 
>>190005856
На чём-либо тоньше Т-72 да, вон, видос в оружаче гулял, на учениях под мотолыгой взорвали что-то совсем слабое, водиле раздробило ноги.
Аноним 19/01/19 Суб 20:03:19 #132 №190006062 
>>190005780
почему тогда немцы, американцы и жыды в аналогичных условиях (зачистки и кары бабахов) на броню не лезут никогда?
И нахуя тогда вообще броня, если достаточно "шишиг" и "Уралов" с кулемётами в кузове?
Аноним 19/01/19 Суб 20:03:21 #133 №190006063 
У меня тупой вопрос.
Смотрите, если я сейчас зарегаю ВК через виртуальную временную симку — меня потом могут взломать как-то или нет? Не понимаю(((((((
Аноним 19/01/19 Суб 20:05:42 #134 №190006176 
>>190004689
Какая нахуй разница? Ты играть хочешь или думать о том, украли ли ради этого что-то?
Аноним 19/01/19 Суб 20:06:12 #135 №190006208 
>>190006063
В теории - да. Проще купить акк без привязки и сменить пароль. Или купить авторегу.
Аноним 19/01/19 Суб 20:07:25 #136 №190006263 
test
Аноним 19/01/19 Суб 20:07:35 #137 №190006273 
>>190006208
Так акков без привязки сейчас нет?
Ладно, потрачу 150 рублей на симку.
Аноним 19/01/19 Суб 20:08:06 #138 №190006296 
пасскоды нне нужны (captcha buster)
Аноним 19/01/19 Суб 20:08:15 #139 №190006298 
>>190001255 (OP)
> Древние люди правда считали дизайн win98 и winXP красивым?
Да, считали. На твоем же пике вот это облачко в углу в те времена выглядело прорывом в дизайне, на фоне унылой винды 3.11, ну а мультяшный ХР это был прорыв по отношению уже к надоевшему всем строгому дизайну и серым кнопочкам. Очень хорошо помню все эти эмоции, поскольку сам их испытывал.
Семерка в свою очередь, была как позврослевшая, причесанная и избавившаяся от лишних кучерявок хрюша - ну примерно как няшная пухлощекая лоли вырастает в красивую стройную тянку.
Аноним 19/01/19 Суб 20:08:20 #140 №190006303 
>>190006273
Регать без телефона вроде запретили.
Аноним 19/01/19 Суб 20:08:32 #141 №190006315 
>>190001980
сша
Аноним 19/01/19 Суб 20:09:04 #142 №190006338 
>>190006063
1) Симку перепродадут под ту же регу ВК, есть шанс
2) Ты запостишь фото где срешь себе в рот, его репортнут, модер вк блеванет и влепит тебе бан со сменой пароля обязательной. А симки нет.
Аноним 19/01/19 Суб 20:09:59 #143 №190006383 
>>190001255 (OP)
> сконпилировать
Блядь, ору
Аноним 19/01/19 Суб 20:10:04 #144 №190006386 
>>190006063
Не зарегаешь, впараша детектит виртуальные номера и запрещает регать на них
Аноним 19/01/19 Суб 20:11:10 #145 №190006431 
>>190001255 (OP)
> 1. Почему на линукс нет игр?

Да ты охуел.
https://store.steampowered.com/search/?os=linux
Аноним 19/01/19 Суб 20:11:42 #146 №190006454 
>>190002483
Рыба чувствует воду так же, как ты чувствуешь воздух.
Аноним 19/01/19 Суб 20:12:08 #147 №190006480 
>>190006062
У них переброска ЛС и мат.обеспечения, если есть хоть один шанс минирования дороги под колонной, осуществляется вертолётами. Заметь, абсолютно все видосы, где бабахи взрывают бронеавтомобиль на дороге - это одиночный патруль. У нас до сих пор перебрасыватся колоннами и могилизирутся, бабы ещё нарожают.
Как нахуя? А как врываться в кишлаки, на ослах? Если ты врываешься в населённый пункт ебашить терроров - на дороге мин нет.
Аноним 19/01/19 Суб 20:12:59 #148 №190006515 
>>190006386
Там не виртуальные номера, а реальные симки к которым тебе дают доступ получить 1 смс с активацией. Они скупают симки, и продают на них регу ВК, авито, тг и прочее
Аноним 19/01/19 Суб 20:15:40 #149 №190006636 
>>190004197
Причем тут сжв к кодингу? Барнаул, алтайский край.
Аноним 19/01/19 Суб 20:17:26 #150 №190006725 
>>190001870
Испанский стыд.
>Андроид - тоже линукс.
Во первых. ОП говорил про десктоптные дистры.
Во вторых. Линукс это не ОС. Есть дистрибутивы базирующихся на ядре GNU/Linux.
Во третьих. Андроид очень кастрирован, и от линукса осталось только ядро и ещё чуть-чуть барахла, во стольном же сходств с дистрам на линукс - нет.
В четвертых. Игры на андроид нельзя сравнивать с играми на виндувс.
В пятых. Игры на линукс есть.
В шестых. Линуксов - нет, как ты сказал - неверно.
В седьмых. Есть proton, который позволяет запустить большую часть игр.
В восьмых. Вопрос с играми и вопрос с фотошопом, условно один и тот же вопрос. Если бы ты тупо ответил на вопрос с играми, как на вопрос с фотошопом - так бы не обосрался.
Аноним 19/01/19 Суб 20:18:27 #151 №190006770 
ya loh
Аноним 19/01/19 Суб 20:18:43 #152 №190006781 
>>190006515
Помню в свое время пытался регить на бесплатные симки которые у метро раздавали, симки были рабочими, но вк говорил "этот номер телефона не может быть использован для регистрации"
Аноним 19/01/19 Суб 20:19:21 #153 №190006815 
>>190006636
Потому что выбирая между хуевым программистом геем негром инвалидом, который ведет твиттер, открыто рассказывая о борьбе за меньшинства, при этом относя себя к ним, и шарящим охуенным программистом, но которы является белым гетеросексуальным мужчиной, выберут первого. Это тру стори
Аноним 19/01/19 Суб 20:19:22 #154 №190006818 
>>190001255 (OP)
>Древние люди правда считали дизайн win98 и winXP красивым?

Во времена 98 не было понятия дизайна операционки как такового и этого вашего пидорского UX.
ХР была невероятно красива, надежна и удобна в сравнении с парашей на ядре 98.

>Что придёт на смену современному минималистичному плоскому дизайну?

Пойдёт на второй круг, как всё в жизни. Сначала интерфейс упростят до двух кнопок, а потом сделают их псевдо-3Д.
>
Аноним 19/01/19 Суб 20:23:59 #155 №190007072 
>>190004238
очевидно на xp, но с большим неудовольствием и постоянно плевался
Аноним 19/01/19 Суб 20:24:24 #156 №190007098 
>>190006770
ya sosal menya ebali
Аноним 19/01/19 Суб 20:26:28 #157 №190007198 
>>190001255 (OP)
98 был красивый, просто после доса 95 98 и еще потом ВЕБ - это целый клуьтурный пласт, это было просто в само сабой разумеющееся. Все эти клип арты, верстка таблицами, гиф итд. Это и была гик культура. Сейчас к этому возвращаются в виде ретро вейва.
Аноним 19/01/19 Суб 20:26:28 #158 №190007199 
Как происходит стык софта с железом? На каком моменте клик мышкой в программе условно приводит в действие ну принтер например? И где почитать про архитектуру компьютера подробно так чтобы объяснение было не на уровне "комп это не большой черный ящик, а много маленьких черных ящиков и взаимодействуют они между собой вот так:..." а именно пояснялась физика этих самых черных ящиков.
Аноним 19/01/19 Суб 20:28:41 #159 №190007316 
Почему всякую ерунду типа фемиинизма просто не запретят законодательно? Зачем нужно поощрять всякие меньшинства?
Аноним 19/01/19 Суб 20:28:49 #160 №190007325 
>>190007199
Погугли тред на архиваче про CPU. Там с транзисторов и их работы все начинает поясняться. Типа, xor, and, or и т.д.
Аноним 19/01/19 Суб 20:33:09 #161 №190007537 
>>190007316
Хуемразь закукарекала
Аноним 19/01/19 Суб 20:36:38 #162 №190007736 
>>190007098
Дима, ты?
Аноним 19/01/19 Суб 20:36:54 #163 №190007753 
>>190005961
Тащемта есть замена DirectX. Смысл кукарекать, если ты линукс в глаза не видел?
>>190001819
Один вопрос. Ты почему такой тупой? Ты знаешь что такое wine, но на знаешь, что на нём можно запускать игры.
>>190004086
Если будут софт, будут и юзеры, а если будут юзеры, будут и те, кто купит. На винде можно все спиратить, но лицензии же существует. Да и условно, юзеры уже есть и кто то из них купил бы даже подписку на ФШ. А "понятия" у линуксоидов не в том что бы не покупать, а в том, что бы использовать свободный, открытый код, в котором они могут быть уверены на все 100%.
>>190004488
1). Железо просто не вытягивает. Если бы решили пилить под старое железо, то потенциал нового железа не раскрылся бы. Один выжмет все сто из нового железа, получит графон лучше чем у остальных и естественно соберёт больше денег, потому что лучше, интереснее и т.д, а остальные будут вынуждены тоже вилимать все сто, ибо если они так не сделают, игру назовут допотопной. Крч, новые технологии требуют больших мощностец, а старое железо не справляется. Да и оптимизация стоит денег, поэтому забивают хуй.
>>190005119
GNU/Linux != UNIX. Аналогичные вопросы уже были, по той же причине.
Аноним 19/01/19 Суб 20:38:28 #164 №190007847 
>>190007316
Потому что народу это не нравится. Чем больше запретов, тем худе страна. То есть, запрет есть запрет, но оно не решает проблему, а только усложняет.
Аноним 19/01/19 Суб 20:40:03 #165 №190007931 
>>190007198
Бля... Даун ты ебанный, retrowave - 80-е года, рассвет технологий пришел на начало нулевых.
Аноним 19/01/19 Суб 20:40:23 #166 №190007952 
>>190002235
Сервер — это компьютер или нет, блядь?!
Аноним 19/01/19 Суб 20:41:26 #167 №190008025 
>>190007952
Да. Только он тот компьютер, к которому подключается остальные.
Аноним 19/01/19 Суб 20:41:47 #168 №190008040 
1547919700357.jpg
>>190007952
Сервер — это человек.
Аноним 19/01/19 Суб 20:44:20 #169 №190008175 
>>190007931
В 80х уже в ммо играли
Аноним 19/01/19 Суб 20:46:02 #170 №190008276 
>>190008175
И что? Это не отрицает тот факт, что ретровейв не то, что он сказал. Да и технологии развивались тогда не так быстро.
Аноним 19/01/19 Суб 20:46:16 #171 №190008285 
1. Есть.
2. А нахуй он нужен?
3. Нет, чтобы засадить тебя на минимум года 3.
4. Я и сейчас его считаю довольно красивым.
5. Да, Да и еще раз да.
Аноним 19/01/19 Суб 20:47:03 #172 №190008327 
Какое говно на вкус?
Аноним 19/01/19 Суб 20:47:45 #173 №190008362 
>>190008327
Как винда.
Аноним 19/01/19 Суб 20:47:46 #174 №190008364 
>>190001598
тебе в жопную дыру затекает7
Аноним 19/01/19 Суб 20:48:01 #175 №190008373 
>>190001571
>тоже
Что значит "тоже"?
Аноним 19/01/19 Суб 20:48:47 #176 №190008419 
>>190008364
А анал == вагина?
Аноним 19/01/19 Суб 20:49:26 #177 №190008456 
Если меня выебать в жопу, то я обращусь в пидора. Процедура понятна и проста.
Какая поцедура обратного превращения из пидора в нормального человека?
Аноним 19/01/19 Суб 20:49:58 #178 №190008487 
>>190008456
Ее нет.
Аноним 19/01/19 Суб 20:50:53 #179 №190008528 
>>190008456
А что есть "нормальный" человек?
Аноним 19/01/19 Суб 20:51:15 #180 №190008555 
О чем мем "Слава Силе, латыш убей латыша", где и как он появился?
Аноним 19/01/19 Суб 20:51:49 #181 №190008585 
>>190008487
Тогда по законам какой-то там ебени матери вероятности количество пидоров должно постоянно возрастать, пока все люди на планете не станут пидорами. Почему это не произошло?
Аноним 19/01/19 Суб 20:52:08 #182 №190008612 
>>190008528
Трудно описать, но он не пидор.
Аноним 19/01/19 Суб 20:52:32 #183 №190008633 
>>190008585
Потому что нет деления на пидр/не пидр.
Аноним 19/01/19 Суб 20:53:42 #184 №190008692 
Когда выйдет новая глава Берсерка?
Аноним 19/01/19 Суб 20:54:06 #185 №190008713 
>>190008633
То есть все люди и так уже пидоры, но не знают об этом?
Аноним 19/01/19 Суб 20:54:09 #186 №190008715 
>>190008456
Это как с вампирами. Если хочешь превратиться обратно в человека нужно убить вампира который тебя укусил. Если хочешь перестать быть пидором то нужно выебать того, кто выебал тебя.
Аноним 19/01/19 Суб 20:54:40 #187 №190008741 
>>190008585
Потому что рождается больше людей чем становится пидорами, очевидно же.
Аноним 19/01/19 Суб 20:56:01 #188 №190008822 
>>190008612
А кто такой "пидр"? У того, у кого влечение к мужчинам и сам он с хуем? Или тот у кого "не стандартная" ориентация и он с хуем? Или тот , кого выебали в жопу при том, что он с хуем? Если пидр тот, кого выебали, то их очень мало в процентом соотношении.
Аноним 19/01/19 Суб 20:56:27 #189 №190008855 
>>190008741
А если папа пидор и мама пидор, то сын родится пидором?
Аноним OP 19/01/19 Суб 20:56:30 #190 №190008859 
>>190005437
А как сейчас с десяткой?
Аноним 19/01/19 Суб 20:56:47 #191 №190008876 
Как стать мухою?
Аноним 19/01/19 Суб 20:57:24 #192 №190008904 
>>190008713
Нет, ибо только 45% процентов людей могут быть пидорами, а реальное их количество ещё меньше.
Аноним 19/01/19 Суб 20:59:14 #193 №190008994 
>>190008876
Очень просто: поменяй в паспортном столе имя, а фамилию на Карасик.
Аноним 19/01/19 Суб 20:59:26 #194 №190009009 
>>190008859
Он тупанул. Десятка еще не доделала, много старых интерфейсов, он про них. Например "панель управления", "выполнить" и т.д
Аноним 19/01/19 Суб 21:02:14 #195 №190009149 
Когда сейчас смотришь ТВ архивы из 90-х, то они выглядят довольно плохо, но тогда они казались норм. Это пленка состарилась или действительно так было?
Аноним 19/01/19 Суб 21:02:16 #196 №190009152 
Господа экономисты и все кто разбирается, поясните пожалуйста, чем плохо падение рубля? Ну вот мы же продаем к примеру нефть за доллары, а в стране используем рубли. Казалось бы, теперь то за доллары больше рублей дают, разве не профит?
Аноним 19/01/19 Суб 21:03:42 #197 №190009235 
>>190004105
Кассовый аппарат выбивает 2 чека обычно. Один дают покупателю (иногда надорванным), другой остаётся во втором рулоне ленты.
Это для отчётности, чтоб оба чека различались радикально - надрывом. Чтоб комар носу не подточил
Аноним 19/01/19 Суб 21:04:18 #198 №190009261 
>>190007952
Сторона света
Аноним 19/01/19 Суб 21:04:38 #199 №190009279 
Таки да, дизайн хп параша
Аноним 19/01/19 Суб 21:04:47 #200 №190009283 
>>190009149
Так и было, только ты смотрел в нативном разрешение, а не в растянутом +привычка.
>>190009152
Зарплаты дают в рублях. С каждой секундой у тебя меньше зарплата, приятно? Да и если все покупают в долларах, а доллар дорогой, то и все дорогое. А так, информация необходима для роста экономики.
Аноним 19/01/19 Суб 21:05:32 #201 №190009321 
>>190009152
Не профит, потому что мы полностью на долларах. Цены в магазинах — в долларах. Если доллар подскакивает, то и цены подскакивают. А то, что ты расплачиваешься в магазине рублями, то это частности.
Аноним 19/01/19 Суб 21:05:54 #202 №190009343 
>>190009283
Инфляция
Быстрофикс
Аноним 19/01/19 Суб 21:06:34 #203 №190009372 
>>190007931
Хуя, культурный аналитик выскочил.
Аноним 19/01/19 Суб 21:08:18 #204 №190009464 
>>190004396
>воздух
>1 атом
>атом воздуха
Ты либо толсти потоньше либо иди нахуй
Аноним 19/01/19 Суб 21:09:39 #205 №190009541 
>>190009009
Там в некоторых местах еще проскакивают иконки из 95-й лол
Аноним 19/01/19 Суб 21:13:26 #206 №190009721 
Опен сорс нужен, чтобы пользователь мог убедиться, что программе нет шпионских зондов. А возможен ли опен сорс, но не для софта, а для железа? Как пользователи или аудиторы смогут убедиться, что в выбранном "опен сорсном" процессоре нет зондов? Ведь микросхемы очень маленькие, там всего 14 нм.
Аноним 19/01/19 Суб 21:15:02 #207 №190009796 
>>190009721
По этой причине у нас в стране начали делать эльбрусы.
Аноним 19/01/19 Суб 21:15:47 #208 №190009830 
>>190009796
Там нанометров, конечно, побольше, но всё равно нужно специальное оборудование, чтобы провести аудит.
sage[mailto:sage] Аноним 19/01/19 Суб 21:16:42 #209 №190009878 
>>190009721
Нет, нет такого. И скорее всего, зонды там есть, но если у тебя есть оборудование и знания, то ты сможешь изучать строение железа и выевлять зонды, как и с кодом, ты же должен его уметь читать, в чем то открывать, да и опенсорс не отвечает за то, что он без зондов.
Аноним 19/01/19 Суб 21:17:07 #210 №190009897 
>>190009152
Ничем в целом
Аноним 19/01/19 Суб 21:17:20 #211 №190009909 
>>190009878
Сага приклеилась.
Аноним 19/01/19 Суб 21:19:20 #212 №190009993 
144922064825342267.jpg
Сегодня уже в один тред писал, напишу и сюда.
Могу ли я этот датчик (не ебу как он называется, на старинных магнитофонах был) въебать вместо лампочки LED HD, чтоб вместо мигания у меня лампово стрелочка дёргалась?
Аноним 19/01/19 Суб 21:20:26 #213 №190010051 
>>190009993
Нет, скорее всего. Да и нахуя тебе это?
Аноним 19/01/19 Суб 21:20:40 #214 №190010063 
>>190009993
Да. Но надо думать.
Аноним 19/01/19 Суб 21:21:24 #215 №190010093 
>>190010051
Я занимаюсь моддингом системников
Аноним 19/01/19 Суб 21:22:09 #216 №190010131 
>>190001255 (OP)
1-2. На прыщах нет соответствующих библиотек, алсо, исходные коды закрыты. Но есть вайн и виртуализация.
3. Выше раскрываемость.
4. Да, считали. Что будет дальше - никто не знает, могу только сказать, что мода циклична, а вебпанк-эпоха ещё не собирается умирать.
5. Нет, нет.
Аноним 19/01/19 Суб 21:22:55 #217 №190010159 
>>190010093
И что? Это же бесполезно, да так можно сделать, но тебе это не по силам. Не еби мозгм, короче.
Аноним 19/01/19 Суб 21:25:26 #218 №190010284 
>>190010131
Так дизайн был такой не из-за того, что так было модно. И это не цикличный процесс.
Аноним 19/01/19 Суб 21:29:28 #219 №190010470 
1.png
>2019 год
>432 килобайта
Принесли с просьбой НАКИДАТЬ МУЗЫКИ на флэху. Когда посмотрел свойства - охуел. Флэха новенькая, прилагалась к мп3 колонке. На ней было пара мп3 файлов хуиного качества длительностью секунд по 10.
Как я понял эта флэха предназначается для проверке при покупке данной колонки на работоспособность.
Вопрос - нахуя вообще мастерить на фабриках такие флэхи, когда колонка и так стоит копейки?! В чём профит!?
Аноним 19/01/19 Суб 21:30:25 #220 №190010509 
>>190002364
Почему челики-игроделы не полюбили DirectX 12?
Аноним 19/01/19 Суб 21:30:47 #221 №190010530 
>>190010470
Флехи - брак, из просто используют вторично.
Аноним 19/01/19 Суб 21:32:11 #222 №190010608 
>>190010530
Хм, разумно. То-то она у меня перестала форматироваться через пару дней. Я хотел её для хранения паролей использовать. Уж на это места-то хватило бы
Аноним 19/01/19 Суб 21:33:11 #223 №190010685 
Что будет с человеком, если он на долю секунды попадет на поверхность солнца?
Аноним 19/01/19 Суб 21:33:51 #224 №190010718 
>>190010685
На какую долю? Точнее.
Аноним 19/01/19 Суб 21:34:08 #225 №190010741 
>>190010685
Вода сдетонирует.
Аноним 19/01/19 Суб 21:34:36 #226 №190010768 
Почему девочки ведут себя как пидоры?
Аноним 19/01/19 Суб 21:35:36 #227 №190010826 
>>190010718
На десятую, сотню, тысячную, например
Аноним 19/01/19 Суб 21:35:58 #228 №190010853 
>>190001255 (OP)
1 и 2. Потому что любая игра или фотошоп - это лишь верхушка айсберга, под которой гора библиотек, под которыми ядро ОС с драйверами. И все это существенно отличается у разных платформ. Даже софт для андроида просто так под десктопного линукс не перенести, хотя ядро общее - потому что у него гора своих библиотек, которые конфликтуют с теми, что в настольном линуксе, надо их как-то разграничивать, а еще устройства ввода и видеокарта заняты дисплейным сервером десктопного линукса и надо как-то события ввода преобразовывать для андроид приложения и эмулировать ему доступ к видеоподсистеме андроида, а потом то, что оно нарисует в буфере, транслировать в окно. Даже если использовать кроссплатформенные библиотеки, будет много багов, проявляющихся на отдельных конфигурациях - на винде так же, но если 1% покупателей со сборкой конкретной видеокарты и проца сложно послать нахуй, объяснив, что они неудачники и должны купить консоль как у большинства играющих данную игру, то 2% пользователей линукса вполне можно. Тем более, что для исправления багов с линуксом нужны отдельные спецы, которые ближе знакомы с его архитектурой.
3. Потому что любой гражданин может стать помехой состоятельным господам и его переписка может оказаться козырем.
4. Для большинства красиво то, что сейчас носят состоятельные господа. Если вышла новая ось, которая требует дорогого апгрейда и ее лук не хуже, чем у предыдущих поколений - она будет нравится большинству. Плоскота останется, скорее всего, т. к. значков нужно рисовать все больше, вкладывать много сил в каждый никого не прет, а минимализм по-своему привлекателен. Пока не создадут какие-нибудь нейросети, которые позволят влегкую рисовать детализированные значки по простым эскизам.
5. Они отлично привлекли внимание биомассы к рекламируемым объектам. Остальное никого не интересует.
Аноним 19/01/19 Суб 21:36:18 #229 №190010873 
>>190002364
Аналоги directX есть на линукс и без вайна.
Аноним 19/01/19 Суб 21:36:21 #230 №190010874 
>>190010768
Не экстраполируй свои замашки на незнакомых людей, пидор
Аноним 19/01/19 Суб 21:37:03 #231 №190010910 
>>190008994
А имя?
Аноним 19/01/19 Суб 21:37:28 #232 №190010938 
>>190010768
А кто они, по-твоему? Пидоры — это те, кто ебутся с мужиками. Бабы — пидоры.
Аноним 19/01/19 Суб 21:37:47 #233 №190010954 
Как пишут языки программирования? На чём блять их писать!? НА КАКОМ ЯЗЫКЕ!?
Аноним 19/01/19 Суб 21:38:26 #234 №190010986 
>>190010910
И имя поменяй.
Аноним 19/01/19 Суб 21:39:25 #235 №190011036 
>>190010954
На машинном коде. Двоичную систему все понимают.
Аноним 19/01/19 Суб 21:39:41 #236 №190011047 
>>190010853
Тащемта минимализм - сложнее того, что было раньше. Ибо нарисовать хуйню проще, чем все по минимуму, но красиво. Иначе бы минимализм зародилися раньше.
Аноним 19/01/19 Суб 21:40:10 #237 №190011080 
15166609984060.jpg
>>190006725
Лол, зачем же ты так раскусил это больное завистливое животное? Сейчас ему срачелло же как прострелит, как он зальет весь тред своим бугуртом и сементвом.
Аноним 19/01/19 Суб 21:40:25 #238 №190011096 
>>190010986
Тоже на Карасик?
Аноним 19/01/19 Суб 21:40:48 #239 №190011113 
>>190011036
Ты мне саму технологию опиши
Аноним 19/01/19 Суб 21:43:20 #240 №190011239 
>>190011096
Если дабл — думай, трипл — делай.
Аноним 19/01/19 Суб 21:44:02 #241 №190011274 
>>190011113
На обычных командах процессора, которые заложены в него.
Аноним 19/01/19 Суб 21:44:13 #242 №190011289 
>>190010826
Думаю, ничего не будет, правда ослепнуть может.
Аноним 19/01/19 Суб 21:45:19 #243 №190011347 
>>190001393
И тред интересный.
Аноним 19/01/19 Суб 21:47:03 #244 №190011434 
>>190011289
Думаю много чего будет. Свет тело разбомбит к хуям.
Аноним 19/01/19 Суб 21:48:07 #245 №190011501 
>>190011434
И не только свет.
Аноним 19/01/19 Суб 21:52:17 #246 №190011719 
Почему облока вращается вместе со землёю вокруг оси планеты?.
Аноним 19/01/19 Суб 21:53:03 #247 №190011765 
>>190011719
Гроветация
Аноним 19/01/19 Суб 21:55:32 #248 №190011895 
>>190011501
И тьму тоже?
Аноним 19/01/19 Суб 21:58:00 #249 №190012023 
>>190011765
Она удерживает атмосферу, и облока, но не удерживает их относительно одной точки поверхности земли. А что будет, если запустить вертолет ровно вверх, и потом не лететь в стороны. Земля повернется, а вертолет переместиться, хоть и не летел в сторону?
Аноним 19/01/19 Суб 21:59:00 #250 №190012076 
>>190011895
И не только свет будет бомбить тело. Я это хотел сказать.
sage[mailto:sage] Аноним 19/01/19 Суб 22:00:48 #251 №190012161 
>>190001255 (OP)
> открыть исходный код игры
> почему нельзя открыть исходный код фотошопа
Наверное, тебя, долбоёба, уже сотню раз обоссали, но я ещё добавлю.
ПССССССССССССССССССССССССССССС
Какой же ты долбоёб, пиздец просто!
Аноним 19/01/19 Суб 22:01:04 #252 №190012175 
>>190012023
Нет
Аноним 19/01/19 Суб 22:01:58 #253 №190012208 
>>190009464
Я имел в виду что там типа если набрать 88 галонов той штуки, что есть в космосе, то внутри будет только 1 атом (не считая оболочки галона). Я реально это где-то вычитал и хочу узнать, правда ли это?
Аноним 19/01/19 Суб 22:02:48 #254 №190012246 
Какого хуя?
Аноним 19/01/19 Суб 22:02:51 #255 №190012248 
1547924581771.png
>>190011434
Наверно я проебался.
Попробую рассчитать.
Q=cm(t1-t2) - формула количества теплоты
E = S∙t∙ σ∙Т4 - формула энергии, излучаемой абсолютно черным телом.
Попробуем рассчитать количество теплоты, нужное, чтобы вскипятить воду, находящуюся в человеке массой 80 кг.
t1 пусть будет комнатная температура 25 градусов, t2 - температура кипения воды 100 градусов.
Получается 20 160 кДж.
Энергия, излучаемая поверхностью Солнца площадью 0,5х0,5 м2 за 0,1 с - 1 837 кДж. Не хватает.
Попробуем тогда не 100 градусов, а 50.
Получается Q = 8 064 кДж. Тоже не хватает.
Попробуем вместо теплоемкости воды взять теплоемкость кожи.
Кожа по вики составляет 4-6% от массы тела, а ее теплоемкость по сайту из гугла составляет 3700.
Для нагрева кожи до 50 градусов получается 444 кДж. Во! Теперь хватает.
Для нагрева кожи до 100 градусов получается 1 332 кДж. Тоже хватает.
Получается, что человек за 0,1 секунду обгорит.
Аноним 19/01/19 Суб 22:05:11 #256 №190012365 
Вот типа говорят, что до языков программирования были более простые языки, а до них был машинный код. Может кто-нибудь по-подробнее объяснить, как это работает? К примеру, прямо здесь написать ЯП или хотя бы ОС на машинном коде.
Аноним 19/01/19 Суб 22:05:41 #257 №190012385 
>>190007072
Ждал, когда флэт появится?
Аноним 19/01/19 Суб 22:06:03 #258 №190012402 
>>190012023
Вертолет не на вакуум лопастями опирается, а на воздух, который вместе с планетой поворачивается, следовательно, вертолет поворачивается с планетой тоже.
sage[mailto:sage] Аноним 19/01/19 Суб 22:07:03 #259 №190012454 
>>190012365
Пиздуй, блять, в гугол, и вбивай, how assembler is programmed, или how c was wtirren, ты что, сука, обезьяна безрукая?
Аноним 19/01/19 Суб 22:07:14 #260 №190012464 
>>190012365
Машинный код - это нолики-единицы. Числа, то есть. Одно число - одна команда, второе число - вторая команда. Для человека это неудобно.
А вообще читай архитектуру Таненбаума, там все подробно описано.
Аноним 19/01/19 Суб 22:07:52 #261 №190012499 
>>190012365
Языки высокого уровня говорят компилятору, что надо делать, а компилятор сам решает какими машинными кодами это сделать. На низком уровне ассемблер и те самы коды - ты сам решаешь как. Это сложно. Но ОС на ассемблере существует KolibriOS
Аноним 19/01/19 Суб 22:08:42 #262 №190012539 
>>190012248
Для горения необходим кислород. Интересно, кислорода в клетках хватит, что бы тело сгорело? Или хотя бы пригорело?
>>190012402
Да, тупанул. Но не думаю, что воздух прям спешит за телом, и движение все же будет, только это зависит от высоты и разрядности воздуха.
Аноним 19/01/19 Суб 22:08:45 #263 №190012544 
>>190012365
А ОС на перфоленте не хочешь?
Аноним 19/01/19 Суб 22:09:08 #264 №190012560 
>>190012365
Ну смотри, я использую всего три слова.
ОП - это имя ячейки памяти.
= это оператор присваивания.
хуй это константа.

Пишем простейшую программу:
ОП = хуй

Всё, наш язык программирования готов.
Аноним 19/01/19 Суб 22:09:10 #265 №190012563 
>>190012208
Заебал тупить! Не существует атомов воздуха. Воздух, это блять смесь разных газов. Выбери газ из состава воздуха и про его атомы и пиши, двоечник!
Аноним OP 19/01/19 Суб 22:09:22 #266 №190012572 
image.png
>>190012161
Аноним 19/01/19 Суб 22:09:57 #267 №190012596 
>>190012539
Я не говорю, что горение будет. Я написал, обгорит. То бишь вся кожа ожогами покроется.
Аноним 19/01/19 Суб 22:10:20 #268 №190012611 
>>190001255 (OP)
скоНпилировать.

Серьёзно?
Аноним 19/01/19 Суб 22:11:47 #269 №190012674 
>>190012208
ну может один атом какого-нибудь элемента и попадётся, но не 100%. В космическом вакууме дохуища всякого говна летает, но неравномерно. Не забывай, что у частиц, даже самых мельчайших. есть свойство притягиваться друг к дружке. Другими словами - "где-то густо, где-то пусто"
Аноним 19/01/19 Суб 22:13:08 #270 №190012757 
>>190012596
Я и не говорил, что ты не прав.
Аноним 19/01/19 Суб 22:13:35 #271 №190012780 
>>190012674
> Другими словами - "где-то густо, где-то пусто"
Двачую этого. Где-то может и тот 1 атом на 88 галлонов, а где-то в пространстве находятся моря сверхплотного вакуума.
Аноним 19/01/19 Суб 22:14:26 #272 №190012825 
За что ответственны продюсеры в кинопроизводстве? Вот режиссер - главное лицо на съемках, ответственен за все, над всеми нависает, чтобы итоговый продукт был максимально близок к его задумке. Операторы и постановщики там ракурсы-хуякурсы и прочее шаманят.

А продюсер что? Что значит продюсировать? По лекции Кевина Смита понял только то, что это какое-то хуйло, которое дает деньги режиссеру с условиями, типа "хочу огромного паука в конце".
Аноним 19/01/19 Суб 22:19:14 #273 №190013064 
>>190012825
Режисёр занимается только творческим процессом, ака поясняет дебичам как вертеть камерой и куда посветить фонариком шоб було красивше, продюссер же руководит всем проектом, начиная с выбора идеи фильма, нахождении спонсоров, поиске режиссёра, етц
Режиссёр - один из микроподсосов продюссера
Аноним 19/01/19 Суб 22:19:21 #274 №190013076 
>>190012825
Продюсер ответственен за то связи, где чего достать для съёмок подешевле, где актёров найти познаменитее, и за то, чтобы спонсоры думали, что фильм получается так, как они хотят.
Аноним 19/01/19 Суб 22:19:33 #275 №190013091 
>>190012248
Кстати, почему жидкости в теле равны 25 градусам, а не 36.6?
Аноним 19/01/19 Суб 22:19:40 #276 №190013101 
>>190012825
>хуйло, которое дает деньги режиссеру с условиями, типа "хочу огромного паука в конце".
Вот это и есть продюсер. Без него этого фильма вообще не было бы.
Аноним 19/01/19 Суб 22:19:45 #277 №190013105 
>>190012825
> а что ответственны продюсеры в кинопроизводстве?
Организационные и финансовые вопросы (где будут снимать, как будут снимать, на что будут снимать). И еще нужно объяснять режиссеру, что он тупой долбоеб и за такие деньги он хочет дохуя.
Аноним 19/01/19 Суб 22:21:01 #278 №190013160 
>>190013091
Кстати да.
Аноним 19/01/19 Суб 22:21:30 #279 №190013193 
>>190012825
Присоединяюсь к вопросу
Аноним 19/01/19 Суб 22:21:54 #280 №190013217 
>>190004277
вместа тру крипта уже есть его наследник VeraCrypt, так же она может открывать старые контейнеры тру крипта, все тоже самое, радует что еще и кирилицей можно пароли писать
Аноним 19/01/19 Суб 22:22:36 #281 №190013252 
>>190013091
Человек оказался на поверхности солнца. Охуеть да? Там тысячи градусов.
А ты до мелочей доебался.
Аноним 19/01/19 Суб 22:24:02 #282 №190013328 
>>190013252
Как показывает формула, за 0.1 секунды на тело будет действовать не так уж и много энергии, потому даже эти 11° вещественны.
Аноним 19/01/19 Суб 22:24:53 #283 №190013370 
>>190001461
А мне почему то запомнилась windows 2000. такая ламповость было. Хотя я юзал вообще все оси мелкомягких, такую ламповость как у 2000 не могу припомнить у других.
Аноним 19/01/19 Суб 22:26:47 #284 №190013461 
>>190013252
Он правильно доебался. При нагреве с 37 до 100 получается Q = 1 693 кДж. То есть уже по расчетам хватает, чтобы вскипятить. Но это без учета мышц, кожи, одежды. Хотя вон у кожи теплоемкость даже меньше, чем у воды, так что человеку точно пизда придет.
Аноним 19/01/19 Суб 22:29:37 #285 №190013598 
Почему во второй части терминатора Арнольд не догадался замороженые кусочки Т-1000 быстро раскидать подальше. А в идеале вообще раскидать по разным пакетам/коробкам/бочкам/жестянкам? Дело-то в сталеплавильном цехе заводском было! Мог бы кстати догадаться сгрести всё в кучу и сразу отправить к проотцам в домну. Это ж блять компьютер! Умная машина
Аноним 19/01/19 Суб 22:30:53 #286 №190013660 
>>190012248
Так же на удельную теплоемкость воды влияет атмосферное давление.
Аноним 19/01/19 Суб 22:32:24 #287 №190013735 
>>190013598
Они пот со лба не успели утереть, как сжиженный азот от нагрева испарился и Т-1000 стал собираться из кусочков вновь. Они даже отвернуться не успели. Пересмотри этот момент.
Аноним 19/01/19 Суб 22:33:17 #288 №190013781 
>>190013461
Ты чо, самый умный блять!
Ты не учёл теплопроводность. Из-за немгновенного распространения тепла приповерхностные ткани успеют испариться, а внутренности всё ещё будут холодными. Это в первую 0,1 сек. Тоесть твои 1,6 мегаджоуля уйдут на испарение кожи и подкожного жира, а не всего человека.
Ты мало того, что теплопроводность не учитываешь, так ещё и до мелочей в 11,6 градусов доебался. Да иди ты нахуй, склифасофский.
Аноним 19/01/19 Суб 22:34:40 #289 №190013831 
>>190012539
>горения необходим кислород. Интересно, кислорода в клетках хватит, что бы тело сгорело? Или хотя бы пригорело?
Кислород (точнее окислитель) нужен для огня.
А ожоги не связаны с огнем, это просто реакция химических веществ тела на воздействие высокой температуры. Ну там вещества распадаются, реакции всякие химические происходят. Источник температуры не важен. Например может быть электрический ожог - когда ток проходит через организм и выделяется в виде тепла внутри во всем объеме тела, которое приводит ко всяким пиздецам в органах. При этом никакого открытого огня нет.
Аноним 19/01/19 Суб 22:37:30 #290 №190013973 
>>190009721
>Опен сорс нужен, чтобы пользователь мог убедиться, что программе нет шпионских зондов.
Это хуита. Можешь погуглить, куча зондов или уязвимостей годами были в опенсорс софте, и никто их не находил.

> А возможен ли опен сорс, но не для софта, а для железа?
В теории да, на практике успешных проектов я не припомню. Так-то были какие-то попытки сделать опенсорс смартфоны или еще что-то. Но слишком дохуя разного железа надо производить, а производство микроэлектроники это тебе не код писать, это кучка задротов не осилят.
А если ты начинаешь использовать готовые процессоры или любые компоненты, то грош цена твоему опенсорсу.
Аноним 19/01/19 Суб 22:38:52 #291 №190014033 
1.png
Во сколько раз возрастет время работы (горения) стеариновой свечки, если использовать расплавленый, но не сгоревший стеарин заново?
Смотри мою гениальную схему
Аноним 19/01/19 Суб 22:39:01 #292 №190014040 
image002.jpg
image015.jpg
6-2.jpg
>>190006480
>>190006062
Ещё потому что у западной техники броня - сложная система, умеющая улавливать кумулятивные снаряды. Всякие системы выхода газовых струй и пластины под разными углами внутри ещё. А у российской техники - просто бронированный металлический лист.
Аноним 19/01/19 Суб 22:40:12 #293 №190014092 
>>190014033
Горит-то фитиль, а не воск. Сколько фитиля сделал, столько и будет гореть.
А так подставки типа твоей даже использовались ИРЛ и продавались.
Аноним 19/01/19 Суб 22:40:24 #294 №190014100 
>>190014033
А как она гореть будет? Как нитка гореть будет, как?!
Аноним 19/01/19 Суб 22:40:35 #295 №190014108 
>>190013781
Ну так один хуй гг будет.
Аноним 19/01/19 Суб 22:40:36 #296 №190014109 
>>190012780
Каким хуем тот анон, которому ты отвечал наберёт хотя бы галлон вакуума? Вакуум - это, сука, давление в первую очередь, его невозможно набрать, его можно создать. И, блядь, "галлон".. Мсье брит?
Аноним 19/01/19 Суб 22:42:46 #297 №190014204 
e7ba6b738dfe356d8b8366463bb48c5628155700b.jpg
>>190013735
А что было бы если бы у терминатора были кутикулы с настоящей спермой? Если бы он трахнул Сару Коннер, родились бы андроиды с железными костями и микросхемами в мозгу или обычные люди?
Аноним 19/01/19 Суб 22:43:07 #298 №190014222 
>>190014204
Чье сперма?
Аноним 19/01/19 Суб 22:44:07 #299 №190014266 
>>190014092
Еблан, горят пары стеарина (фитиль заодно горит, он выполняет функцию.... ФИТИЛЯ, блять!). Короче по фитилю поднимается жидкий стеарин, как кровь по капиллярам)
Аноним 19/01/19 Суб 22:44:08 #300 №190014267 
>>190014204
Так обычно рождаются навальнята. С титаном вместо мозга.
Аноним 19/01/19 Суб 22:44:34 #301 №190014286 
>>190001255 (OP)
> Древние люди правда считали дизайн win98 и winXP красивым
Выглядит много лучше плиточного говна
Аноним 19/01/19 Суб 22:45:16 #302 №190014320 
>>190014266
Но фитиль все равно сгорит и по нему уже ничто бежать на будет.
Аноним 19/01/19 Суб 22:45:19 #303 №190014325 
>>190014222
Человеческий
Аноним 19/01/19 Суб 22:45:30 #304 №190014334 
>>190014266
Фитиль все равно сгорает. Без него гореть не будет.
Аноним 19/01/19 Суб 22:45:36 #305 №190014340 
>>190014100
Ну когда основная свечка догорит, ёмкость заполнится, поджигаешь фитиль получившейся свечки и айда-ынды
Аноним 19/01/19 Суб 22:46:00 #306 №190014353 
>>190014325
Значит будет ребенок от того человека, от кого сперму взяли. Гугли банки спермы.
Аноним 19/01/19 Суб 22:46:18 #307 №190014367 
>>190014340
Но условно, свечки так и делают.
Аноним 19/01/19 Суб 22:46:43 #308 №190014383 
/гороскоп
Аноним 19/01/19 Суб 22:47:22 #309 №190014420 
>>190014383
Тобi пiзда.
Аноним 19/01/19 Суб 22:47:35 #310 №190014429 
1547927233736.mp4
>>190014109
А где ты его хранить будешь, этот вакуум?
Аноним 19/01/19 Суб 22:47:41 #311 №190014431 
1.png
>>190014320
>>190014334
Бля, ну вот же новый фитиль. Просто я хуёво нарисовал
Аноним 19/01/19 Суб 22:48:30 #312 №190014475 
/гороскоп
Аноним 19/01/19 Суб 22:48:47 #313 №190014492 
\гороскоп
Аноним 19/01/19 Суб 22:48:50 #314 №190014493 
>>190007098
Откуда этот прикол?
Аноним 19/01/19 Суб 22:49:23 #315 №190014513 
>>190009993
Да, скорее всего, нужно только резистором регулировать. Эта поебень просто дергается в зависимости от напряжения на входе (и силы тока в самой хуете зависящей от напряжения и сопротивления)
Что за LED HD?
Аноним 19/01/19 Суб 22:49:24 #316 №190014514 
>>190014431
Застынет раньше, чем добежит до конца ёмкости.
Аноним 19/01/19 Суб 22:49:44 #317 №190014530 
>>190014431
Ты слишком большой поток нарисовал. Там парафина столько не натечет.
Аноним 19/01/19 Суб 22:50:12 #318 №190014546 
>>190014429
Честно, лень расписывать..
Читани:
https://ru.wikipedia.org/wiki/Методы_создания_высокого_вакуума
Аноним 19/01/19 Суб 22:50:28 #319 №190014560 
image.png
>>190014514
Да все добежит, базарю, это известная тема

Аноним 19/01/19 Суб 22:50:44 #320 №190014573 
>>190014109
>Вакуум - это, сука, давление
Вот даун. Это отсутствие какого-либо давления!
Анон >>190014429 правильно тебе вебмку доставил. Только смял цистерну не вакуум внутри, а внешнее давление
Аноним 19/01/19 Суб 22:52:48 #321 №190014674 
>>190014560
Так как было изображено у тебя - нет, да и смысл этой хуйни? Ты свечки когда в последний раз юзал? кроме анальных, ты пидр, каждый день их вставляешь
Аноним 19/01/19 Суб 22:53:07 #322 №190014685 
>>190014092
>Горит-то фитиль
В твоей зипповской китайской зажигалке фитиль горит или всё таки топливо в первую очередь?
Аноним 19/01/19 Суб 22:54:09 #323 №190014742 
>>190014685
Пердак.
Аноним 19/01/19 Суб 22:54:59 #324 №190014792 
>>190014674
Да ясен хуй что особой практической ценности у этого нет.
Всерьез свечки юзал наверное лет 15 назад, когда свет отключали, а фонарики в мобилках еще практически не встречались (да и мобилки еще далеко не у всех были). Раньше всегда в шкафу в туалете лежала пара свечей на такой случай. Теперь-то нужда совсем отпала, в доме куча гаджетов которые могут служить источником света достаточно долго. Хотя может где-то в ебенях где часты перебои со светом это может и востребовано до сих пор.
Аноним 19/01/19 Суб 22:55:30 #325 №190014821 
Снимок.PNG
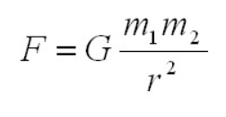
Правда, что гравитация действует на бесконечное расстояние? Ведь какие значения не подставляй в формулу, F все равно будет >0.
Аноним 19/01/19 Суб 22:55:35 #326 №190014825 
>>190014560
К дополнению хочу сказать, что и условия для такой хуйни ебаннутые. Фитиль должен быть ровный, свечка должна стоять ровно, без наклона, сквозняк тоже может все испортить.
Аноним 19/01/19 Суб 22:56:23 #327 №190014862 
>>190014821
Да.
Аноним 19/01/19 Суб 22:57:44 #328 №190014925 
>>190014862
Быть такого не может. Это как это так? Меня че, притягивает какая-нибудь звезда на другом конце галактики? Да ну нахуй.
Аноним 19/01/19 Суб 22:58:03 #329 №190014938 
>>190014821
Ну да, все правильно. И тела, отдаленные друг от друга на миллиарды световых лет, тоже притягиваются друг к другу, только с очень малой силой, порядка -30 степени
Аноним 19/01/19 Суб 22:59:08 #330 №190015000 
>>190001255 (OP)
1. Потому что 90% игр под windows использует в качестве графического api - DirectX. DirectX - собственность компании microsoft, поэтому для linux'а он недоступен. Портирование игр на opengl и vulkan зачастую нецелесообразно, ввиду малой аудитории и большей направленности на профессиональное использование, нежели чем на развлечения.
Аноним 19/01/19 Суб 22:59:10 #331 №190015005 
>>190014925
Да, так и есть, только на тебя со всех сторон сила действует +- одинаково, если не учитывать землю и солнце, а где то в ебенях.
Аноним 19/01/19 Суб 23:00:18 #332 №190015056 
>>190014204
> что было бы если бы у терминатора были кутикулы с настоящей спермой? Если бы он трахнул Сару Коннер
Хроники сары коннор, там в одной из серий был терминатор со стоящим хуем ебущий жену-человека. То был Т-888, и от него родился бы человек т.к. сперма была бы тоже человекоподобная, но например от Т-3000 (из Терминатора-5) родился бы терминатор, но уже не из железок а из нанороботов как его отец.
Аноним 19/01/19 Суб 23:01:45 #333 №190015114 
>>190014825
Дело не в этом. Изначально вопрос был о том что на сколько хватит стеарина (до полнейшего сгорания) относительно обычной свечки, которая сгорая, оставляет кучу несгоревшего расплавленного стеарина?
Не обязательно юзать какие-то формы для свечек, стеарин, пока он тёплый можно как пластилин лепить и вылепить свечу.
Мимо_лепил_однажды
Аноним 19/01/19 Суб 23:02:21 #334 №190015147 
Я читал про гравитацию, но так и не понял. В квантовой физики гравитация - гравитоны. Что будет, если тела не станет? Гравитация исчезнет, или исчезнет тогда, когда другое тело примит гравитоны?
Аноним 19/01/19 Суб 23:04:57 #335 №190015284 
>>190014925
Ну давай посчитаем, твоя масса, допустим, 70 кг, масса звезды на другом конце галактики пусть будет как солнечная - 1.910^30 кг, за другой конец галактики возьмем ее диаметр - 10^21 м. Тогда F = 6.710^-11701.910^30/10^42, это примерно 910^-21 ньютона, впадлу точно считать
Аноним 19/01/19 Суб 23:05:17 #336 №190015298 
>>190015284
блядская разметка, короче разберешься
Аноним 19/01/19 Суб 23:06:40 #337 №190015376 
Гравитация влияет на свет, искажая его. Так что получается, звезда когда его испускает, сама же его тормозит? Тогда что, скорость света - не постоянная?
Аноним 19/01/19 Суб 23:07:56 #338 №190015458 
>>190015000
Почему челики, разрабатывающие игры, не любят DirectX 12?
Аноним 19/01/19 Суб 23:07:59 #339 №190015461 
>>190015284
Для сравнения стограммовое яблоко у тебя в руке притягивается к тебе с силой 6.7х10^-11х70х0.1/1 = 4.7х10^10 Н, то есть в триллион раз сильнее
Аноним 19/01/19 Суб 23:08:13 #340 №190015480 
>>190015147
>Что будет, если тела не станет
А как тела не станет-то? Можно разорвать тебя на атомы или еще какие-то частицы, но они в итоге останутся, и их масса никуда не денется.
Аноним 19/01/19 Суб 23:08:18 #341 №190015486 
>>190015461
10^-10 разумеется
Аноним 19/01/19 Суб 23:08:28 #342 №190015501 
>>190015376
Нет, она не влияет на скорость света. Она искривляет пространство так, что свет летит не по прямой.
Аноним 19/01/19 Суб 23:08:35 #343 №190015507 
>>190015298
Ебанный Абу добавил бы тупо код. Было бы проще людям в /sci/ и /s/
Аноним 19/01/19 Суб 23:09:50 #344 №190015578 
>>190015507
Просто пишешь через е.
Например 1,68е-7
Аноним 19/01/19 Суб 23:11:14 #345 №190015659 
>>190015480
Тоже об этом подумал, когда писал, но сам факт, что будет то?
>>190015501
А что есть скорость света?
Аноним 19/01/19 Суб 23:13:03 #346 №190015781 
>>190015659
> А что есть скорость света?
Вообще правильнее называть эту поебень скоростью причинности. То есть максимальная скорость, с которой события могут влиять друг на друга.
Аноним 19/01/19 Суб 23:13:18 #347 №190015799 
>>190015659
Скорость с которой распространяется свет.
Аноним 19/01/19 Суб 23:14:08 #348 №190015845 
>>190001255 (OP)
>Что придёт на смену современному минималистичному плоскому дизайну?
А он минималистичный? У винды95 поболе минимализма будет.
Аноним 19/01/19 Суб 23:14:55 #349 №190015900 
>>190015578
Проблема со знаками умножения, которые движок имиджборды трактует как теги для курсива и съедает.
Аноним 19/01/19 Суб 23:17:15 #350 №190016021 
>>190003840
не согласен. В большей части бизнесу нужно стандартное решение. Попытка сделать свою хуйню обычно приводит к пиздецу. Плавали, знаем.

Работал в крупной конторе, они с нуля за каким то хуем ебашили стандартный процесс по обучению. В итоге соснули и купили готовое от вебсофта.
Аноним 19/01/19 Суб 23:17:15 #351 №190016022 
>>190015900
А, ну умножение через х надо, это очевидно по моему.
Аноним 19/01/19 Суб 23:18:08 #352 №190016068 
>>190015900
Используй для умножения х. например: 2х2=4.
Аноним 19/01/19 Суб 23:18:10 #353 №190016072 
>>190015659
> но сам факт, что будет то?
Ничего, потому что это невозможно. Это вопрос из серии про ту палку из сверхжесткого материала, нарушающего теорию относительности. Нафантазировать можно что угодно.
Алсо вроде про гравитацию вообще мало что известно, как она передается, так что правильный ответ - ХУЙ ЕГО ЗНАЕТ.
Аноним 19/01/19 Суб 23:18:11 #354 №190016075 
>>190004105
>Нахуя кассирши рвут чек?
Малолетний долбоеб непалится. Раньше было касса - отдельно от прилавка - идешь на прилавок, говоришь чего тебе надо, тебе говорят сумму, затем на кассу идешь, говоришь сумму, тебе пробивают ее, с чеком идешь на прилавок и вот там его рвут, чтобы ты, чухло, снова с ним не пришел к ней попозже.
Аноним 19/01/19 Суб 23:20:10 #355 №190016179 
>>190016022
>>190016068
Ну к своему второму посту я это выкупил, но во время написания первого мне и в голову не пришло, что надо изъебываться
Аноним 19/01/19 Суб 23:20:23 #356 №190016189 
>>190016021
Не существует двух одинаковых компаний, у всех какие-то свои требования и нюансы.
Стандартные решения тоже требуют постоянной допилки под хотелки заказчика. Везде зоопарк своего софта, который надо интегрировать друг с другом.
Аноним 19/01/19 Суб 23:20:36 #357 №190016202 
>>190004732

Он не синхронизируется. Просто у разных женщин длина цикла индивидуальная, и если следить за несколькими, то в один момент циклы совпадут. Потом снова разойдутся.
Аноним 19/01/19 Суб 23:26:33 #358 №190016529 
>>190001255 (OP)
В /crypt/ местные криптошизики говорят, что остаются онанимусами, покупая пасскоды и сидя с ВПНов. Но ведь пасскоды они своей/мамкиной карточкой оплачивают, не так ли?
Аноним 19/01/19 Суб 23:28:34 #359 №190016638 
>>190016529
Так.
А еще гугл и яндекс собирают статистику, а Абу ее использует.
Аноним 19/01/19 Суб 23:34:52 #360 №190017014 
>>190016075
Двачую. В конце нулевых работал в магазе цифровой хуеты, и помимо продаж "клал" деньги на телефон. Так вот процедура эта выглядела так:
- МНЕ 10 РУБЛЕЙ НА ТЕЛЕ2
БЕРУ ДЕНЬГИ
- НОМЕР ПОЖАЛУЙСТА ПРОДИКТУЙТЕ
- 8-800-555-35-35
ВВОЖУ, ПРОВОЖУ ОПЛАТУ, ПОЛУЧАЮ ЧЕК
- ПРОВЕРЬТЕ ПОЖАЛУЙСТА СВОЙ НОМЕР НА ЧЕКЕ И РАСПИШИТЕСЬ НА НЁМ. ЧЕК ДО ПОСТУПЛЕНИЯ СРЕДСТВ НЕ ВЫБРАСЫВАЙТЕ
Расписываются, забирают чек, съёбывают. Смысл подписи, чтоб потом предъяв не было - "вы не на тот номер положили"/"я неправильно продиктовал/а"

Аноним 19/01/19 Суб 23:47:59 #361 №190017670 
Зачем нужны производные и как они работают? Ну как так вышло, что F=m*dp/dt, кто вообще придумал эту магию?
Аноним 19/01/19 Суб 23:50:30 #362 №190017804 
>>190017670
Ну типо, дифференциал туда-сюда, получается приращение функции.
Аноним 19/01/19 Суб 23:50:31 #363 №190017805 
>>190015147
>В квантовой физики гравитация - гравитоны. Что будет, если тела не станет?
связь гравитации с массой - это классическая физика. а возбуждений поля гравитации, квантовых гравитонов никто в глаза не видел.
Аноним 19/01/19 Суб 23:52:55 #364 №190017918 
>>190015376
>Тогда что, скорость света - не постоянная
скорость света - величина зависящая от локальной метрики, она максимальна в любой окрестности, но не обязана быть одинаковой по всей вселенной.
Аноним 19/01/19 Суб 23:53:10 #365 №190017928 
>>190017670
Производная это отношение бесконечно малого приращения функции к бесконечно малому приращению аргумента, а геометрический смысл этой ереси в том, что это касательная к графику в точке, а численно это тангенс угла между касательной и осью х
Аноним 19/01/19 Суб 23:56:04 #366 №190018076 
>>190017670
>как так вышло, что F=m*dp/dt, кто вообще придумал эту магию
сила - причина изменения импульса, придумано Ньютоном.
Аноним 20/01/19 Вск 00:00:13 #367 №190018256 
>>190016075
>Раньше
Да похуй что там при мамонтах было, сейчас-то зачем это делать?
Аноним 20/01/19 Вск 00:03:04 #368 №190018359 
>>190004732
Мы все биороботы. Цикл по идее подстраивается под альфа самку, биологический механизм, да.
Аноним 20/01/19 Вск 00:05:30 #369 №190018461 
>>190015458
Певдомногопоточный рендеринг, ебанутый конвеер команд, api очень сильно изменилось, под dx12 не то чтобы не хотят писать - пишут, но при условии сохранения обратной совместимости с dx11 выжать из него что-то реально прорывное - трудно.
DX12 не провал - под него будут активно писать, равно как и 11 директ очень поздно сместил dx9 - сейчас же, все игры пишут исключительно под 11ый.
Аноним 20/01/19 Вск 00:05:59 #370 №190018486 
>>190006062
>зачистки и кары бабахов
Это ж не транспортировка по потенциально минированной местности а бой, где нужно под броней экипаж прятать, але.
Аноним 20/01/19 Вск 00:11:45 #371 №190018742 
1) Разработка не окупается.
2) Разработка не окупается.
3) Спецслужбы хотят успешнее делать вид, что обеспечивают безопасность. Получать под это больше ставок сотрудников, денег из бюджета.
4) Дизайн win98 охуенен. Вернёмся к нему.
5) Да.
Аноним 20/01/19 Вск 00:12:10 #372 №190018762 
>>190001947
>На каждый случившийся теракт, приходится штук 100 предотвращённых
Есть пруфы? Помнится, какое-то расследование проводили и нихуя не нашли судебных дел по этим сотням предотвращенных террактов
Аноним 20/01/19 Вск 00:15:17 #373 №190018923 
image.png
Почему от героина худеют, а от алкоголя наоборот? Ведь первое же депрессант и от него также хочется расслабится и нихуя не делать. От стимуляторов я понимаю почему, ибо человек тупа насилует свой организм и не ест и не спит на протяжении более долгого времени, а от герыча почему, он же действует в противовес стимуляторам.
Аноним 20/01/19 Вск 00:18:52 #374 №190019081 
>>190001947
>На каждый случившийся теракт, приходится штук 100 предотвращённых.
Ты работник гебни
@
Даешь задание завербованному главбабаху, чтобы тот направил своих байцов из ячейки делоть теракт
@
Даешь задание своим подчиненным поймать бабахов
@
И так сто раз
Аноним 20/01/19 Вск 00:19:14 #375 №190019093 
>>190018923
Нихуя от него не худеют. С чего ты взял, что с него худеют? Может быть от образа жизни вмазался-приляг, забыл поесть и худеют, а от героина нет.
Аноним 20/01/19 Вск 00:20:53 #376 №190019177 
>>190018923
>Почему от героина худеют, а от алкоголя наоборот?
Это, может быть, поначалу не худеют - и то не из-за алкоголя, а потому что жрут с ним как не в себя. А все запущенные алкаши - сухие как доски.
И алкоголь - тоже депрессант.
sage[mailto:sage] Аноним 20/01/19 Вск 00:21:20 #377 №190019195 
>>190001255 (OP)
>Древние люди правда считали дизайн win98 и winXP красивым?

Это не просто тупой вопрос. Это тебе завтра в школу.
Аноним OP 20/01/19 Вск 00:23:23 #378 №190019273 
>>190019195
Ребёнок, мне 27 лет.
sage[mailto:sage] Аноним 20/01/19 Вск 00:24:46 #379 №190019324 
>>190019273
Кому ты пиздишь блять уёбок малолетний. Ты сука задал такой ебанутый вопрос, что просто перешагнул все ебанутые вопросы, которые существовали в этой параше. Сука, такой вопрос только школьник мог задать. Исключительно ребенок, несовершеннолетний человек, человек не проживший то время, да еще и тупой кстати. Был бы ты хоть умным школьником, но ты пиздец тупой нахуй.

А ЧТО ТЫ БЛЯТЬ ХОТЕЛ В 2000 ГОДУ? СУПЕРДИЗАЙН 2015 ГОДА? Ну это просто дебильный вопрос нахуй. Надеюсь тебя нахуй в школе отхуярят об стенку. Желаю тебе всего самого наихудщего пидор малолетний.
Аноним 20/01/19 Вск 00:24:58 #380 №190019336 
>>190019195
>Это тебе завтра в школу.
Алё, дядя, завтра воскресенье вообще-то.
Аноним 20/01/19 Вск 00:26:07 #381 №190019383 
>>190019081
Ещё лучше:
Ты рабоник гэбни
а
Пиздишь таджика
а
Заставляешь признаться, что он хотел делать терракт
а
Высылаешь его за счет налогоплательщиков, конечно
а
Получаешь звездочку
а
Повторить
Аноним 20/01/19 Вск 00:27:04 #382 №190019418 
>>190019177
>И алкоголь - тоже депрессант.
Ну в том то и суть вопроса, ведь и то и то депрессанты, но всегда какой нибудь алкаш ассоциируется с пухлым лицом и животом, а опиатный наркоман с худобой чуть ли не до анорексии и с синяками под глазами что более характерно для спидовых, нежели опиатных.
Аноним 20/01/19 Вск 00:27:54 #383 №190019444 
>>190008419
анус > вагина
Аноним 20/01/19 Вск 00:31:55 #384 №190019601 
>>190015458
Потому что кроме, собственно, графики приходится программировать еще половину драйвера видеокарты.
Аноним 20/01/19 Вск 00:32:35 #385 №190019627 
>>190001255 (OP)
Основная проблема переноса софта с одной оси на другую в том, что они по разному предоставляют ресурсы компа этим прогам. По сути прогу написанную кокретно под видну, придётся немного переписывать под nix систему.
Но при этом часть игр под линукс и мак есть нативно, часть можно запустить через эмуляцию. В последнее время стим в этом очень помогает. Некоторые даже большие игры там есть сразу под линукс, доя остальных они запилили свой эмулятор винды на базе wine, что бы игры в режиме эмуляции шли из коробки. Сходу список уже оптимизированных работает хорошо, остальные могут запускаться с небольшими багами или не запускаться. Вероятно в будущем список настроек эмуляции под каждую игру будет расширен. Одно можно сказать точно - по сравнению с прошлым гейминг на линуксе сильно улучшился и стал реальностью.
Аноним 20/01/19 Вск 00:33:13 #386 №190019660 
>>190001255 (OP)
>Древние люди правда считали дизайн win98 и winXP красивым?

Почему древним людям нравились думы и квейки, они что ебанутые? Почему они не играли в ГТА 5 и Ведьмака 3. МДА НУ УЖ ВАЩЕ...
Аноним 20/01/19 Вск 00:37:24 #387 №190019807 
>>190019444
Влагалище по дефолту, как и жеппа, сжато, и не пускает в себя прост воду из бассейна. Но если направить достаточно сильную струю, то вода туда вполне зальётся. Как и в анус.

>>190001255 (OP)
>Древние люди правда считали дизайн win98 и winXP красивым?
Там не до красоты было, а лишь бы тупые бухгалтерши смогли понять, куда тыкать и что делать. Поэтому папка в форме папки, сохранить это дискетка, мусор - в мусорную корзину, ну а кнопки рисовали объемными, как ИРЛ кнопки на телефонах, например. Сейчас уже все подучились и попривыкли к компам/телефонам, так что можно делать kpacuBo. Алсо, вычислительные мощности ОЧЕ увеличились, и у дизайнеров сейчас намного больше развязаны руки в плане прожорливости их хуйни. ХЗ, что дальше, наверное Маск таки запилит интерфейс напрямую в мозг. Как это будет "выглядеть", не представляю.
Ах да, всё это дело в те времена считали красивым, потому что вин95 был оче красивым по сравнению с 3.11 или что там было, а ХР была оче красивой по сравнению с 98 МЕ не помню
Аноним OP 20/01/19 Вск 00:47:17 #388 №190020226 
>>190019324
Ребёнку со стрима мудисана (тебе) бомбит. Зашивайся, ребёнок.
Аноним OP 20/01/19 Вск 00:48:18 #389 №190020253 
>>190019660
Ребёнок, зачем ты срёшь под себя?
Аноним 20/01/19 Вск 00:49:44 #390 №190020314 
>>190019807
> наверное Маск таки запилит интерфейс напрямую в мозг
Не запилит, он боится восстания ИИ
Аноним 20/01/19 Вск 00:51:42 #391 №190020380 
>>190014821
Вопрос в скорости гравитации.
Аноним 20/01/19 Вск 00:55:05 #392 №190020525 
>>190020380
>>190020380
иди нахуй, бот ебаный.
Аноним 20/01/19 Вск 01:11:18 #393 №190021287 
"На мой взгляд, деньги и власть всего лишь показывают, какой на самом деле человек. Власть и деньги - это защита, под которой можно не бояться показать свои истинные качества, окружающим же людям кажется, что человек изменился, а на самом деле он таким был всегда."
- какой то там анон
Аноним 20/01/19 Вск 01:33:06 #394 №190022336 
>>190021287
че значит какой-то там анон, это и так всем ясно, дебч
Аноним 20/01/19 Вск 01:33:33 #395 №190022355 
>>190004689
https://zakon.ru/blog/2016/10/11/reversinzhiniring_i_rossijskoe_pravo
знакомься
Аноним 20/01/19 Вск 01:40:55 #396 №190022703 
>>190012825
В игрострое вроде бы продюсер следит за графиком, координирует почти все процессы. Помогает специалистам взаимодействовать и все успевать. В кино примерно то же самое
comments powered by Disqus