Сохранен 357
https://2ch.su/b/res/58766346.html
К сожалению, значительная часть сохранённых до 2024 г. изображений и видео была потеряна (подробности случившегося). Мы призываем всех неравнодушных помочь нам с восстановлением утраченного контента!

Разрыв между умными и глупыми

 Аноним Срд 11 Дек 2013 04:16:58  #1 №58766346 
1386721018510.jpg

Руководитель лаборатории социальной психологии СПбГУ, глава центра "Диагностика и развитие способностей" Людмила Ясюкова также более двадцати лет работает школьным психологом. В интервью "Росбалту" она рассказала о результатах мониторинга интеллектуального развития школьников и студентов.
— Вы занимаетесь мониторингом интеллектуального развития школьников и студентов, причем, определяете интеллектуальное развитие на основании сформированности понятийного мышления. Что такое понятийное мышление?

— Истоки этого понятия следует искать в работах выдающегося советского психолога Льва Выготского. Обобщив, понятийное мышление можно определить через три важных момента. Первый — умение выделять суть явления, объекта. Второй — умение видеть причину и прогнозировать последствия. Третий — умение систематизировать информацию и строить целостную картину ситуации.

Те, кто обладают понятийным мышлением, адекватно понимают реальную ситуацию и делают правильные выводы, а те, кто не обладают… Они тоже уверены в правильности своего видения ситуации, но это их иллюзия, которая разбивается о реальную жизнь. Их планы не реализуются, прогнозы не сбываются, но они считают, что виноваты окружающие люди и обстоятельства, а не их неправильное понимание ситуации.

Степень сформированности понятийного мышления можно определить с помощью психологических тестов. Вот пример из тестирования детей шести-семи лет, с которым не всегда справляются и взрослые. Синица, голубь, птица, воробей, утка. Что лишнее? К сожалению, многие говорят, что утка. У меня были недавно родители одного ребенка, горячились, доказывали, что утка – правильный ответ. Папа – юрист, мама – учитель. Я им говорю: "Почему утка?" А они отвечают, потому что она большая, а птица, птичка это, по их мнению, что-то маленькое. А как же страус, пингвин? А никак, у них в сознании закреплен образ птицы как чего-то маленького, и они полагают свой образ универсальным.

— И какой же процент наших соотечественников умеет выделять суть и видеть причинно-следственные связи?

— По моим данным и по данным других исследователей меньше 20% людей обладают полноценным понятийным мышлением. Это те, кто изучал естественные и технические науки, научился операциям выделения существенных признаков, категоризации и установления причинно-следственных связей. Их, однако, среди принимающих решения о развитии общества мало. Среди политических консультантов у нас психологи, философы, неудавшиеся педагоги – люди, у которых с понятийным мышлением не очень хорошо, но которые умеют ловко говорить и завертывать свои идеи в красивые обертки.

— Это российская статистика. А как выглядит ситуация в мире?

— Если брать развитые страны, то приблизительно так же. Могу сослаться на исследования Льва Веккера, который работал и в СССР и в США и в Европе и в России. Его исследования 1998 года показывают, что больше 70% взрослых, людей, психологов, с которыми он сотрудничал в ходе исследования мышления детей, и сами мыслят как дети: обобщают от частного к частному, а не по существенному признаку, не видят причинно-следственные связи…

Наверное, есть некоторая разница между странами, и можно предположить, что тенденции увеличения-уменьшения процента людей с понятийным мышлением разные в разных странах, но таких детализированных кросс-культурных исследований никто не ведет. Или, по крайней мере, таких данных нет в открытой печати.

По жизни сформировать понятийное мышление невозможно, оно приобретается только в ходе изучения наук, поскольку сами науки построены по понятийному принципу: в их основе базовые понятия, над которыми выстраивается пирамида науки. Такая понятийная пирамида. И, если мы выходим из школы без понятийного мышления, то, сталкиваясь с тем или иным фактом, мы не сможем его объективно интерпретировать, а действуем под влиянием эмоций и наших субъективных представлений. В результате решения, принятые на основании такой допонятийной интерпретации происходящего, невозможно реализовать. И мы это видим в нашей жизни. Чем выше в социальной иерархии стоит человек, тем дороже цена его необъективных интерпретаций и решений. Посмотрите, сколько у нас принимается программ, которые ничем не заканчиваются. Прошел год-два и где программа, где человек, который ее декларировал? Иди, ищи.

— Школьные программы последние двадцать лет беспрерывно меняются. Как этовлияет на формирование понятийного мышления?

— Раньше основы понятийного мышления начинали закладываться на природоведении. Теперь у нас вместо природоведения "Окружающий мир". Вы видели, что это такое? Это бессмысленная окрошка. Видеть в этом логику могут только составители, у которых у самих нет понятийного мышления. Якобы это практико-ориентированный, исследовательский предмет. Ничего там этого нет.

Дальше, раньше с 5-го класса начинались ботаника и история как история развития цивилизаций. Теперь у нас в 5-классе природоведение в виде рассказов о природе без всякой логики, а вместо истории цивилизаций — "История в картинках" — та же окрошка без логики, что-то про первобытных людей, что-то про рыцарей.

В шестом-седьмом классах раньше была зоология, опять же со своей логикой. Дальше в восьмом была анатомия, и уже в старшей школе общая биология. То есть, выстраивалась некая пирамида: растительный и животный мир, которые, в конце концов, подчинены общим законам развития. Теперь ничего этого нет. Все идет вперемешку – и ботаника и животный мир и человек и общая биология. Принцип научной подачи информации заменен принципом калейдоскопа, сменяющихся картинок, который разработчики считают системно-деятельностным подходом.

С физикой такая же картина. Тоже рассказы о космосе, о планетах, о законах Ньютона… Вот, сидит у меня мальчик, я его спрашиваю: "Хоть задачки-то решаете на физике?". Он отвечает: "Какие задачки? Мы презентации делаем" Что такое презентация? Это пересказ в картинках. Если нет задач по механике на разложение сил, то о формировании понятийного мышления в физике можно не говорить.

— Но у нас же декларируется, что мы движемся в сторону европейского и американского образования. Что там-то творится?

— Там все по-разному. На Западе действительно полная свобода, и школы существуют очень разные. В том числе и такие, куда отбирают не по кошельку, а по уровню развития. И там, безусловно, есть школы отличного уровня, где готовят элиту, обладающую и понятийным и абстрактным мышлением. Но никакого стремления отлично образовывать всех и каждого там нет – зачем это надо? К тому же там обучение идет не по классам, а по программам. Дети, которые показывают хорошие результаты, объединяются в группы, изучающие более сложные программы. В результате те, кому это надо, в любом случае имеют возможность получить хорошее образование и поступить в университет. Это вопрос мотивации в семье.

Интересный пример — Финляндия. Всеми признано, что там сейчас лучшая система образования в Европе. Так вот, они как раз взяли наши советские программы и принципы образования. У нас не так давно была конференция по вопросам образования, и там выступила одна наша высокопоставленная дама, автор многих из последних нововведений. Она с гордостью провозгласила, что наконец-то мы уходим от всех этих мифов о хорошем советском образовании. В ответ выступила представитель Финляндии и сказала – извините, но советская система образования в школе была отличная и мы как раз у вас и заимствовали многое, что позволило нам улучшить нашу систему. Они и учебники наши перевели, и учителей старой школы с большим удовольствием берут, чтобы они делились с их учителями советским методикам преподавания.

— А у нас, если я вас правильно понимаю, интеллектуальный уровень снижается, и процент людей с понятийным мышлением становится меньше?

— Да и это не мои предположения, а данные исследований, которые я веду в школах уже больше двадцати лет, из года в год.

Аноним Срд 11 Дек 2013 04:17:28  #2 №58766363 

— Может быть, взамен этого у детей формируются какие-то другие важные качества, помогающие в жизни?

— К сожалению, нет. Потери в школе видны, а приобретений пока что нет.

— А сохраняются, или может быть появляются в России школы и вузы, готовящие прекрасно образованных и логически мыслящих людей? Нарастает ли, грубо говоря, разрыв между умными и глупыми, также как увеличивается разрыв между богатыми и бедными?

— Разрыв нарастает, и еще как. Безусловно, есть отличные школы и вузы, откуда выходят выпускники не только профессионально образованные, но и с высокоразвитым интеллектом. Этот разрыв начал быстро расти в 1990-е годы и ситуация все усугубляется.

Знаете, у меня есть своя гипотеза, довольно циничная, относительно образовательной политики нашего руководства. Мы сырьевая страна третьего мира. Нам не надо много людей с хорошим образованием и умением думать и делать выводы. Их некуда трудоустроить, они тут никому не нужны.

На образование при этом тратятся огромные деньги, действительно огромные. И что происходит? Наши высокообразованные специалисты уезжают и работают в более развитых странах по всему миру. Целые компании русских программистов работают в США, например. Я знаю одну такую в Бостоне, у них вообще все, кроме уборщицы-негритянки, русские.

Зачем нашему правительству готовить высококвалифицированные кадры для США, Канады, Австралии, Европы? А вы знаете, что в США даже есть математические школы на русском языке с нашими методиками? И те, кто закончили эти школы, отлично устраивают свою жизнь. Но нашей стране эти люди ни к чему. Здесь нужны те, кто работают бурильщиками, строят дома, мостят улицы и укладывают асфальт. Думаю, в эти профессиональные сферы и пытается наша власть перевести население. Но ничего не выходит. Люди в эти сферы не идут, предпочитая торговлю в разных видах. Приходится ввозить все больше людей из Азии, у которых нет никаких амбиций. Пока.

А наши классные специалисты, выпускники лучших школ и вузов, уезжают, не находя себе здесь достойного места. То есть, общий уровень снижается.

Что же касается людей из министерства образования, допускаю, что они действительно не понимают, что делают. Искренне заблуждаются, думая, что слепое заимствование некоторых западных подходов способно что-то привнести в нашу школу. Раньше у нас учебники писали математики, физики, биологи, теперь этим занимаются педагоги и психологи. Эти люди не специалисты в предмете, который излагают. На этом образование заканчивается.

— А что вы думаете по поводу нарастающей языковой неграмотности?
— За нарастающую неграмотность во многом надо благодарить так называемые фонетические программы обучения, на которые мы перешли в 1985 году — спасибо членкору АПН Даниилу Эльконину. В русском языке мы слышим одно, а должны писать по языковым правилам другое. А в методике Эльконина формируется слуховая доминанта. Произношение первично, а буквы вторичны. У детей, которых учат по этой методике, а сейчас всех так учат, есть так называемая звуковая запись слова и они там пишут "йожык", "агур’эц". И эта звуковая запись идет по седьмой класс. В результате у нас вырос процент якобы дисграфиков и дислексиков. Заговорили о вырождении нации. А на самом деле это просто плоды метода обучения на основе приоритетности фонематического анализа.

Букварь Эльконина был создан в 1961 году, но не был внедрен, потому что желания это делать не было. Считалось, что он, возможно, интересен как новый подход, но в школе будет с ним трудно. Тем не менее, Эльконин с соратниками настойчиво продолжали попытки внедрения своего метода, и когда в семидесятые годы в школы пошли дети, поголовно умеющие читать, то сложилось мнение, что букварь работает неплохо, давая детям более объемное видение и слышание языка.

Эльконин был человек очень активный, видный ученый, он и его ученики "продавили" внедрение букваря, обучение по которому началось в 1983-85 годах. Но именно тогда экономическая ситуация в стране стала меняться: в девяностые в школу пошли дети, которых родители не научили читать, потому что им уже не хватало времени и денег, и дефект новой системы стал абсолютно очевиден.

Фонетическая система не учила читать, не учила грамотности, наоборот порождала проблемы. Но у нас ведь как? Не букварь плохой, а дети плохие, не подходят к букварю. В результате стали учить фонетическому разбору с детского сада. Ведь чему учат детей? Что "мышка" и "мишка" начинаются по-разному и обозначают их в фонетической системе по-разному. А "зуб" и "суп" в этой системе оканчиваются одинаково. А потом бедные дети начинают писать буквы и оказывается, что их предыдущие знания не сочетаются с новыми. Зачем, спрашивается, им было все это заучивать и отрабатывать? Они потом и пишут "фторник", "ва кно" вместо "в окно".

— А какая под этим теоретическая подкладка?

— У Эльконина была теория, что чтение — это озвучивание графических символов, вот он это и стремился всеми силами внедрить. А на самом деле чтение это понимание графических символов, а озвучивание — это музыка. У него вообще много теоретически сомнительных высказываний и все это с пиететом цитируется. На этом люди делают диссертации и потом, естественно, держатся за эти подходы. У нас другого преподавания нет, только этот принцип обучения. А мне, когда я пытаюсь с этим спорить, говорят – вы академический психолог, не педагог, и не понимаете, что без фонетического разбора и фонематического слуха чтению не научить. А я, между прочим, четыре года работала в школе для глухонемых и они прекрасно учились грамотному письму тем же методом, которым учили нас – зрительно-логическим. А у них, как вы понимаете, нет ни фонематического слуха, ни какого-либо другого.

— Хочу с вами поговорить еще об одной болевой точке – системе ценностей, формирующейся у школьников

— У нас сейчас полиментальная страна, в которой параллельно существует много систем ценностей. И прозападная, и советская, и этнически-ориентированные системы, и криминально-ориентированные. Ребенок, естественно, бессознательно перенимает ценностные установки от родителей и окружения. Школа в этом никак не участвовала до двухтысячных годов. Задачи воспитания из современной школы на какое-то время ушли, сейчас их пытаются вернуть.

Пытаются ввести культурно-просветительские циклы, например, для формирования толерантности. Только никакой толерантности эти циклы не формируют. Дети могут на эту тему написать сочинение или подготовить рассказ, но отнюдь не становятся более терпимыми в своей бытовой жизни.

Надо сказать, что как раз-таки у детей с более развитым понятийным мышлением спокойное восприятие другого бытового поведения, другой культуры выражены больше. Потому что у них прогностические способности выше и "другие" для них не столь непонятны, так что не вызывают такого чувства тревоги или агрессии.

— Много говорят и пишут об агрессивности российской школьной среды. Вы это видите?

— Я этого не вижу. Хотя, конечно, в совсем уж неблагополучных школах я сейчас не работаю, не знаю, что там творится. И раньше мы в школах дрались и выясняли отношения, только разговоров об этом было меньше. А вообще, чем выше культурный уровень родителей и школы (гимназии, лицея), тем меньше кулаков, драк и ругани. В приличных школах уровень агрессии невысок, там даже и грубых слов не так много.

Аноним Срд 11 Дек 2013 04:18:00  #3 №58766381 

Покушать принес вам, братишки.
http://www.rosbalt.ru/main/2013/12/04/1207437.html

Аноним Срд 11 Дек 2013 05:07:50  #4 №58767478 

Bump.

Аноним Срд 11 Дек 2013 05:11:02  #5 №58767531 

Ну я умный, лол. Умным быть хорошо. Задавайте вопросы.

Аноним Срд 11 Дек 2013 05:12:10  #6 №58767556 

Бабушка у нас не слышала о "non-lateral thinking".

Аноним Срд 11 Дек 2013 05:18:00  #7 №58767632 

>>58767556
хня это. либо мышление есть, либо его нет совсем

Аноним Срд 11 Дек 2013 05:21:05  #8 №58767670 

> "фторник", "ва кно"
А я думал откуда это всё берётся?

Аноним Срд 11 Дек 2013 05:22:33  #9 №58767698 

>>58766346
Я сразу ответил "птица"
Какого хера я не успешен, анон?

Аноним Срд 11 Дек 2013 05:22:51  #10 №58767700 

>>58766346
ПРочитал немного,ну охуеть.Не хуя не делает а руководитель лаборатории блять,исследования свои печатает блять.Я такую хуйню на ходу могу генерировать.

Аноним Срд 11 Дек 2013 05:23:50  #11 №58767714 

>>58767698
Читай дальше, она же пишет, что у нас в руководстве, преимущественно, долбоебы.

Аноним Срд 11 Дек 2013 05:25:18  #12 №58767738 

>>58767632
Н-да. У тебя скудная психика.

Аноним Срд 11 Дек 2013 05:25:22  #13 №58767739 

>>58767714
Но при чем тут долбоебы в руководстве?

Аноним Срд 11 Дек 2013 05:25:59  #14 №58767750 

>>58767700
Загуглил бы, хуец.

Аноним Срд 11 Дек 2013 05:28:17  #15 №58767793 

>>58767531
>я умный
> лол

Аноним Срд 11 Дек 2013 05:34:05  #16 №58767878 
1386725645398.png

на деле нужно:
усидчивость, концентрация, способность въебывать и въебывание, тогда ты идешь к успеху, даже если ты довольно тупой
в тоже время умные, но ленивые(с) корзиночки часто сосут бесконечные хуйцы и остаются у параши, если не могут побороть свою лень, так как школьная программа им дается вообще без всяких проблем, они живут в расслабоне, а, например, вузовская, уже нет, но корзиночка не привыкла к трудностям, не хочет начинать въебывать, и вылетает со своим ахуительным умом
оп-пост не читал, лол

Аноним Срд 11 Дек 2013 05:35:03  #17 №58767898 

Вот, кстати, да, очень плохо что сейчас жестокий дроч цифр заменили яркими картинками. По всем предметам презентации, презентации, ссаные презентации. Нет, я ничего не имею против хорошо сделанной, нарисованной и свёрстанной презентации, которая дополняет докладчика.
Но вот, блядь, изучать по презентациям основы ядерной физики в 10-11 классе — это же пиздец. Я намедни зашёл в свою бывшую школу, повидаться с учителями, мне бывшый классный руководитель всё рассказывала про то какое у них теперь всё инновационное с проекторами, интерактивными досками и прочей ебенью. И картинки. Яркие. А цифр нету.
Цифры надо дрочить и формулы, понимаете? Тогда будет понимание.

sageАноним Срд 11 Дек 2013 05:37:06  #18 №58767932 

>>58766346
Спасибо, ОП, было интересно читать.

Аноним Срд 11 Дек 2013 05:41:47  #19 №58768002 

>>58767878
есть 2 человека
1 нихуя не делает, сидит дует в общаге, смотрит комедийные сериалы - имеет стипендию и наверное получит красный диплом
2 учит, пытается во всем разобраться - троечник

Аноним Срд 11 Дек 2013 05:42:15  #20 №58768012 

>>58767878
Двачую.
мимо-ленивый-корзиночка

Аноним Срд 11 Дек 2013 05:45:31  #21 №58768050 

>>58767878
Двачую даблдабл

Аноним Срд 11 Дек 2013 05:46:17  #22 №58768064 

>>58766346
>В ответ выступила представитель Финляндии и сказала – извините, но советская система образования в школе была отличная и мы как раз у вас и заимствовали многое, что позволило нам улучшить нашу систему. Они и учебники наши перевели, и учителей старой школы с большим удовольствием берут, чтобы они делились с их учителями советским методикам преподавания.
Анон, правда или нет, а то ватой что-то несвежей потянуло ?

Аноним Срд 11 Дек 2013 05:47:31  #23 №58768088 

>>58768002
Ролл

Аноним Срд 11 Дек 2013 05:48:14  #24 №58768092 

>>58768064
> а то ватой что-то несвежей потянуло
если тебе кажется что от всех тянет ватой, не значит ли это что вата это ты?

Аноним Срд 11 Дек 2013 05:49:26  #25 №58768110 

>>58766346
Опять у этой жидовки русские тупые. Пусть в анус свои пропагандонские "исследования" засунет.

Аноним Срд 11 Дек 2013 05:52:01  #26 №58768150 

>>58767738
сказало быдло с б

Аноним Срд 11 Дек 2013 05:52:13  #27 №58768157 

>>58768002
Ролл.

Аноним Срд 11 Дек 2013 05:52:45  #28 №58768165 

>>58768092
Иди проспись, дурилка, конкретный же вопрос задал, может в теме кто.

Аноним Срд 11 Дек 2013 05:52:56  #29 №58768168 

>>58768110
А вот и умный РУSSКИЙ ITT. Он не понял сути написанного, но уже раскукарекался

Аноним Срд 11 Дек 2013 05:54:25  #30 №58768199 

>>58768165
ну погугли сам. пиздеть тут все горазды, спрашивать что-либо у таких-же диванов как ты бессмысленно

Аноним Срд 11 Дек 2013 05:55:24  #31 №58768223 

>>58768168
Это ты сути не понял, поэтому и сидишь спокойно.

Аноним Срд 11 Дек 2013 05:55:33  #32 №58768226 

>>58767739
Они не стараются создавать условия, позволяющие извлекать пользу для общества из умных, а просто имитируют бурную деятельность.

Аноним Срд 11 Дек 2013 05:56:21  #33 №58768240 

>>58768110
русские очень умные. в недавнем треде тягались интеллектом в арифметическом подсчете 6/2*3. что только не получалось

Аноним Срд 11 Дек 2013 05:56:38  #34 №58768246 

>>58768226
>просто имитируют бурную деятельность.
Как что-то плохое.

Аноним Срд 11 Дек 2013 05:58:09  #35 №58768283 

>>58768246
для быдла не плохо, для быдла это стиль жизни

Аноним Срд 11 Дек 2013 05:58:42  #36 №58768296 

>>58768165
> Вторая ступень образования в Финляндии – основная школа, где ребенок учится с 7 до 16 лет (не сильно отличается от ситуации в России, не находите?). А вот дальше начинаются отличия. Во-первых, в финских школах не сдают экзаменов. Даже выпускных. Во-вторых, дифференциация обучения, выделение одних предметов и их углубленное изучение в ущерб иным – не приветствуется. В-третьих, не существует "элитных" классов. Да и вообще, сектор частных школ в Финляндии незначителен. Министерство образования Финляндии проводит политику выравнивания системы образования – это значит, что образование должно быть везде и для всех одинаковым как по содержанию, так и по доступности. Политика выравнивания вплотную упирается в географическую проблему. Дело в том, что согласно этой образовательной парадигме плотность школ по территории страны должна быть одинакова. Что вызывает определенные трудности в слабозаселенных областях страны – например, на севере – в Лапландии. Вроде и население небольшое, а школ должно быть ничуть не меньше, чем в куда более густонаселенной центральной части страны.
> Интересный факт: оказывается, что здания школ в Финляндии проектируются ведущими архитекторами страны, при этом учитывается и мнение самих учеников (старших классов) и их родителей, поэтому финские школы не похожи ни на казармы, ни на больницы. Как и в любой другой европейской школе, подход к занятиям носит индивидуальный характер, т.е. к каждому ребенку необходимо находить свой путь. В одном классе одновременно работают двое учителей – это снимает нагрузку с каждого из них и серьезно упрощает и ускоряет процесс принятия решений. После каждого урока школьники могут рассказать, что они смогли понять, а что нет. Причем, непонимание предмета не считается виной ребенка, а признается недоработкой учителя по проектированию системы подачи знаний.
> В Финляндии существует традиция, согласно которой детей отдают в ближайшую школу. Раньше вообще было запрещено родителям самостоятельно выбирать школу для своего ребенка, и только в последние годы этот запрет был снят. Тем не менее, большинство родителей не утруждает себя лишними поисками, предпочитая отправлять детей в ближайшую к месту жительства школу.
> И только на третьей ступени образования финны имеют право выбирать – на кого им собственно учиться, а главное где? Выбор небольшой: либо профессиональное училище, либо гимназия. В настоящее время в Финляндии действует 441 гимназия (с общим количеством учащихся 130 тысяч человек) и 334 профессиональных училищ (со 160 тысячами учащихся). Так же как и в случае школьников, в случае учащихся государство берет на себя заботу о полном обеспечении учащихся: им оплачивают питание, учебники и проезд до дома. Собственно гимназии и профессиональные училища – суть старшая школа.
>
> В 19 лет школьное образование в Финляндии заканчивается окончательно. По его завершению вчерашними школьниками сдается матрикуляционный – первый, единственный и последний, - общенациональный экзамен. Его значение трудно оценить, ибо для поступления в вузы он не играет практически никакой роли. Поступление гарантирует только удачное прохождение вступительных экзаменов в самом вузе. Причем организация вступительных экзаменов целиком и полностью ложится на вузы. На этом этапе становится понятно различие между гимназиями и профессиональными училищами. Выпускники первых, как правило, поступают в университеты, выпускники вторых – в институты. Это не значит, что выпускники профучилищ не могут поступать в университеты – формальных ограничений тому нет – просто такова статистика. К слову о статистике, лишь не более трети выпускников школ продолжает свое образование в высших учебных заведениях.

Аноним Срд 11 Дек 2013 05:59:36  #37 №58768311 

>>58768199
>пиздеть тут все горазды
А разве мы не для этого тут собрались? Ох щи.

Аноним Срд 11 Дек 2013 05:59:41  #38 №58768313 

>>58768150
Зато он придумал новый термин, чтобы попытать показаться умным. А чего добился ты?

Аноним Срд 11 Дек 2013 06:01:11  #39 №58768341 

>>58768311
"пиздеть" в смысле "говорить не правду" я имел в виду

Аноним Срд 11 Дек 2013 06:01:58  #40 №58768358 

>>58768313
так этот термин придумал не он, а гуманитарно одаренные.

Аноним Срд 11 Дек 2013 06:05:32  #41 №58768407 

>>58768296
Спасибо, добра тебе.
>>58768341
>в смысле "говорить не правду"
Понятно, ты прав и тебе добра.

Аноним Срд 11 Дек 2013 06:05:44  #42 №58768408 
1386727544767.png

Русские - нация дураков. Вот пруф.

Аноним Срд 11 Дек 2013 06:06:11  #43 №58768414 

>>58768358
Доставь перевод штоле. "Lateral thinking" - это "нестандартное мышление" вестимо. Тогда "non-lateral thinking" - не-нестандартное? Вторично стандартизированное? Имитация мышления?

Аноним Срд 11 Дек 2013 06:06:35  #44 №58768420 

>>58767698
Потому что ты невнимательный долбоеб. Это тест для пяти-шестилетних детей.

Аноним Срд 11 Дек 2013 06:10:13  #45 №58768467 

>>58768414
латеральное значит боковое, как я понял. латеральные мышцы спины - боковые мышцы.
боковое - значит непрямое, мышление без анализа. другими словами - гуманитарный пиздеж.

Аноним Срд 11 Дек 2013 06:10:48  #46 №58768480 
1386727848019.jpg

>>58767878
То чувство когда ты и есть тот самый ленивый корзиночка только в добавок ещё и тупой.

Аноним Срд 11 Дек 2013 06:12:41  #47 №58768509 

>>58768467

>другими словами - гуманитарный пиздеж.

Лол, всегда веселила спесь технарьков. Что такое "гуманитарный пиздеж"?

Аноним Срд 11 Дек 2013 06:13:05  #48 №58768514 

" После школы я безуспешно пыталась поступать в Политехнический институт на физико-механический факультет, потом не сразу, только в 1970 году поступила на факультет психологии Ленинградского государственного университета."

С сайте сией госпожи. Мне кажется, это симптом (или как там у психологов).
1)Все кроме технарей и естественнонаучников - словоблуды.
2)Я - не технарь и естественнонаучник.
Вообщем, спасибо, что она сразу распределила себя в категорию мнение которой стоит выслушать в последнюю очередь.

Аноним Срд 11 Дек 2013 06:15:03  #49 №58768546 

>>58768509
Это то чем ты занимаешься вот прямо сейчас

Аноним Срд 11 Дек 2013 06:16:16  #50 №58768563 

>>58768514

Одна маленькая деталь - нужно разграничивать способность к точным наукам, способность к наукам общественным и, собтвенно, ум. Благо советских технарей родная Сова разводила только так, и да судя по двачу я бы не сказал, что технари особенно умные.

Словоблудить, ксатати, уметь надо.

Аноним Срд 11 Дек 2013 06:16:53  #51 №58768569 

>>58768546

Я задал вполне конкретный вопрос. Ты не можешь ответить?

Аноним Срд 11 Дек 2013 06:17:41  #52 №58768578 

>>58768569
>гуманитарий
>конкретный вопрос

Аноним Срд 11 Дек 2013 06:18:04  #53 №58768581 

>>58768514
как ты сам оцениваешь нынешнюю систему российского образования?

Аноним Срд 11 Дек 2013 06:18:24  #54 №58768589 

>>58768514
>я безуспешно пыталась поступать в Политехнический институт на физико-механический факультет, потом не сразу, только в 1970 году поступила на факультет психологии
Всякое в жизни бывает с поступлениями, но эта особа явно не элитный мыслитель, расходимся, я по крайней мере.

Аноним Срд 11 Дек 2013 06:19:21  #55 №58768603 

>>58768569
Гуманитарный пиздеж - словоблудие, не имеющее под собой подтверждения.

Аноним Срд 11 Дек 2013 06:19:47  #56 №58768609 

>>58768581

Как гуманитарий скажу, что и советская, и российская система образования заточена под создание тупого быдла и техобслуги. Ни думать, ни действовать она не учит. Аспект гуманитарного знания сведен там к минимуму, увы. Только обрезки. Даже логики нет.

Аноним Срд 11 Дек 2013 06:20:08  #57 №58768618 

>>58768569
> боковое - значит непрямое, мышление без анализа. другими словами - гуманитарный пиздеж.
Тебе этого мало, не смог проанализировать текст и просишь чтобы тебе его кто-то разъяснил?

Аноним Срд 11 Дек 2013 06:21:33  #58 №58768630 

>>58768563

Я же не собственную меру "оценивая ума" прикладываю, а описанную ею, прямая цитата: "По моим данным и по данным других исследователей меньше 20% людей обладают полноценным понятийным мышлением. Это те, кто изучал естественные и технические науки, научился операциям выделения существенных признаков, категоризации и установления причинно-следственных связей. "

Таким образом, либо она не обладает "полноценным" понятийным мышлением, либо психология стала естественнонаучной/технической дисциплиной.

Аноним Срд 11 Дек 2013 06:21:42  #59 №58768632 

>>58768603

Ты вообще заметил, что все твое утверждение - это один сплошной пиздежь?

Аноним Срд 11 Дек 2013 06:22:00  #60 №58768636 

>>58768609
А логика, стало быть, гуманитарная наука?
Ба, да это ведь пример "гуманитарного пиздежа"!

Аноним Срд 11 Дек 2013 06:22:05  #61 №58768638 

>>58768609
> Ни думать, ни действовать она не учит.
> Аспект гуманитарного знания сведен там к минимуму, увы
взлольнул

Аноним Срд 11 Дек 2013 06:23:07  #62 №58768651 

>>58768636
Само собой. Софистика и демагогия. Чем она ещё может быть?

sageАноним Срд 11 Дек 2013 06:24:36  #63 №58768678 

Не узнаю свой двощик.
Сажа. скрыл.

Аноним Срд 11 Дек 2013 06:25:06  #64 №58768687 

>>58768630

Ну так она хуйню написала. По теме охуенного технарьского ума неплохо Константин Крылов прошелся в свое время, будучи кибернетиком из МИФИ и философом из МГУ, да. Да я и сам такое заметил по своему знакомому. Технарь от бога, но по общественной части - ебаный дубарь. Как и большинство людей вообще. Как бы так есть две ветки гуманитарного знания - для людей, и для блядей тот самый "пиздежь".

Аноним Срд 11 Дек 2013 06:25:24  #65 №58768694 

>>58768630
Может быть она изучала естественные и технические науки. Просто не в качестве основного университетского образования.

>>58768651
>Чем она ещё может быть?
Внезапно, логикой. Софистика и демагогия - о другом же.

Аноним Срд 11 Дек 2013 06:25:44  #66 №58768697 

>>58768609
>и советская, и российская система образования заточена под создание тупого быдла и техобслуги
Не том дело что заточена, а в том что всё через жопу выполняется. Образование от семьи идёт, из быдлёнка анхумана лепить никому нахуй не упало, кроме святых и ебанутых.

Аноним Срд 11 Дек 2013 06:26:48  #67 №58768714 

>>58768636

Да, это именно гуманитарная наука. При том - базисная. Ещё - философия, риторика, социология, юриспруденция, теория государства и права - это все надо знать чем раньше, тем лучше.

Аноним Срд 11 Дек 2013 06:28:39  #68 №58768737 

>>58768694

>Внезапно, логикой. Софистика и демагогия - о другом же.

Охлол. Софистика и демагогия - это как раз входит в логику.

>>58768697

Власти банально выгодно держать быдло в темноте. Люди на самом деле глупые.

Ну ка, технарьки, с чего начинается власть?

Аноним Срд 11 Дек 2013 06:29:42  #69 №58768756 

>>58768737
Сила, авторитет, закон.

Аноним Срд 11 Дек 2013 06:31:07  #70 №58768776 

Тащемта - она тоже нихуя не понимает. Вернее - нихуя особо дельного не говарит.

все тот де гуманитарий.

Аноним Срд 11 Дек 2013 06:32:01  #71 №58768789 

>>58768756

Как они возникают?

разделение одних и объединение других

Аноним Срд 11 Дек 2013 06:33:07  #72 №58768803 

>>58768737
>Власти банально выгодно держать быдло в темноте
Просто электрификация всех мозгов банально дорогая хрень и власти не выгодна, не надо теорий заговора, Бро.

Аноним Срд 11 Дек 2013 06:34:37  #73 №58768818 

>>Синица, голубь, птица, воробей, утка.

Сижу сейчас загадку для шестилетних решаю, сам полусонный, шесть часов же по МСК. Нихуя ничего не вижу, только с третьего разу дошло, что лишнее птица, лол. Рили, каждый раз на это слово не обращал внимание. Может, с моим понятийным мышлением не все так плохо.

Аноним Срд 11 Дек 2013 06:35:20  #74 №58768828 

>>58768803

Как бы тебе так сказать, хм, ты сам сказал, что власти это не выгодно, значит власть понимает свою не выгоду, и соответственно осознанно не делает эту твою электрификацию мозгов. А потом ты говоришь, что не надо теорий заговора, лол.

Аноним Срд 11 Дек 2013 06:36:52  #75 №58768848 

> Те, кто обладают понятийным мышлением, адекватно понимают реальную ситуацию и делают правильные выводы, а те, кто не обладают… Они тоже уверены в правильности своего видения ситуации, но это их иллюзия, которая разбивается о реальную жизнь.
вся суть этого трэда

Аноним Срд 11 Дек 2013 06:37:45  #76 №58768863 

>>58768828

Просто успокойся. Каких-то сто лет назад мы и о всеобщем бесплатном среднем образовании не могли подумать, так что даже в современных условиях не все так плохо. В любом случае, кому надо, тот получит заветную путевку в жизнь, а кому не надо, тот уже в восемнадцать будет иметь жируху-жену, выблядков детей и бомжатник вместо квартиры, зато все как у людей.

Аноним Срд 11 Дек 2013 06:37:48  #77 №58768864 

Кстати, объясню разницу между техническим и гуманитарным мышлением - изобрести ружье - техническое мышление. А вот как его использовать потом - гуманитарное.

Аноним Срд 11 Дек 2013 06:38:24  #78 №58768873 

>>58768864
Значит, все беды от гуманитариев.

Аноним Срд 11 Дек 2013 06:39:58  #79 №58768890 

>>58768864

А если не ружье, а, например, МБР, что скажешь, что его опять используют гуманитарии? Просто соль та вся в том, чтобы запустить МБР помощь технарей все равно понадобится, лол.

Аноним Срд 11 Дек 2013 06:40:35  #80 №58768900 

>>58768863

Ты мало в жизни не понимаешь, няш. Социум формирует человека, а не человек социум. Человек появился после социума. Поэтому людей делать можно, как пластилин. В рамках свойств пластилина, но все равно - лепить.

>Каких-то сто лет назад мы и о всеобщем бесплатном среднем образовании не могли подумать

Зря так говоришь. Там уже до переворота 17-го шел курс на всеобщее, про Европу молчу.

Аноним Срд 11 Дек 2013 06:40:40  #81 №58768903 

>>58768873

Все беды из-за идиотов. Правда, я тоже идиот. Значит все беды из-за меня. Непревзойденная логика итт!

Аноним Срд 11 Дек 2013 06:41:58  #82 №58768930 

>>58768890
Ну почему же. Гуманитарий возьмёт то самое ружьё и угрозой принудит технаря. Один откажется - найдёт другого.

Аноним Срд 11 Дек 2013 06:42:06  #83 №58768936 
1386729726504.jpg

Я бы её выебал.

Аноним Срд 11 Дек 2013 06:42:12  #84 №58768939 

>>58768828
Я имел в виду что власть просто расчётлива, а не демонически злонамеренна.

Аноним Срд 11 Дек 2013 06:42:43  #85 №58768949 

>>58768714
> Ещё - философия, риторика, социология, юриспруденция, теория государства и права
сколько университетов начали готовить долбоёбов по этим направлениям в 90х, а лучше жить один хуй не стали. никому они не нужны, не на что не способны. только в ушлые мусора да политику идут самые блатные.

Аноним Срд 11 Дек 2013 06:44:38  #86 №58768985 

>>58768890

Так это, касатик, конечно техобслуга нужна, и конечно же технари помогут запустить, а не помогут - трибунал, ага.

А вот куда хуйнуть - решать будут гуманитарии.

Видишь ли, какое дело - главные в жизни науки: как брать и удерживать власть, как забирать чужое и сохранять свое. Вот сделали технари ракету - а она же не в их собственности, её дяди будут распоряжаться, у которых власть, которые технарям всю научную малину организовали, на которых технари-то и работают.

Аноним Срд 11 Дек 2013 06:44:43  #87 №58768987 

>>58768818
о да, ты гений просто

Аноним Срд 11 Дек 2013 06:45:17  #88 №58768997 

>>58768900

>Ты мало в жизни не понимаешь, няш. Социум формирует человека, а не человек социум. Человек появился после социума. Поэтому людей делать можно, как пластилин. В рамках свойств пластилина, но все равно - лепить.

Пиздец открыл Америку. Ты бы мне чаще зачитывал прописные истины, анон.

>Там уже до переворота 17-го шел курс на всеобщее

Я не хуже тебя знаю, что подвижки были. Но давай отдавать себя отчет: конкретно сто лет назад, несмотря на все подвижки, всеобщего бесплатного среднего образования не существовало. Нас же интересует сам факт, а не какие-то возможные прогнозы, которые в итоге не сбылись?

Аноним Срд 11 Дек 2013 06:45:49  #89 №58769007 

>>58768949

>а лучше жить один хуй не стали

Кто лучше жить не стал?

Аноним Срд 11 Дек 2013 06:46:39  #90 №58769018 

>>58768900
> Социум формирует человека, а не человек социум.
Об обратной связи ты не слышал?

Аноним Срд 11 Дек 2013 06:47:54  #91 №58769041 

>>58768987

Спасибо, анон. После того, как увидел наконец слово, почувствовал себя идиотом. Утка, блядь-нахуй, ебанный стыд.

Аноним Срд 11 Дек 2013 06:49:00  #92 №58769060 

>>58769007
ты

Аноним Срд 11 Дек 2013 06:49:02  #93 №58769062 

>>58769018

Социум - человек - социум - человек, а не человек - социум - человек - социум.

Сначала идет социум. потом уже человек. Мы все появились позже него, а те, кто его лишен - маугли, а не люди. Умные звери.

И вот если социум правильно устроен, КАК НАДО КОМУ-ТО, то людишечки будут формировать его потом в правильном направлении.

Аноним Срд 11 Дек 2013 06:49:10  #94 №58769065 

>>58768240
Ответ 1?
мимогуманитарий

Аноним Срд 11 Дек 2013 06:50:08  #95 №58769078 

>>58769060

Неа. У меня вся успешная родня - гуманитарии, например. Юристы-экономисты. И это сказывается на мне.

Аноним Срд 11 Дек 2013 06:51:13  #96 №58769104 

>>58768985

Вот слушай. Пиздит Путин перед журнализдами, пиздит Медведев, правительство, министры, депутаты, а кто пишет им текст, чтобы грамотно пиздеть? Гуманитарии. Многие из этих людей, которые нами управляют не только на понятийное мышление не способны, но порой и двух слов связать не могут. Так что в нашем мире нередко заслугами и трудом одних пользуются другие. И нередко другие куда тупее первых, зато им достается вся власть.

Аноним Срд 11 Дек 2013 06:51:17  #97 №58769105 

>>58769062
молодец

Аноним Срд 11 Дек 2013 06:52:32  #98 №58769125 

>>58766346
ярчайший пример того, как не могущие в естественную науку люди, занимаются 20 ебаных лет абстрактными вопросами, полагаясь на статистические данные, и из воздуха взятый тест, выявляющий лишь нестандартность мышления у отдельных личностей не совсем вписывающимися в данный социум.

Аноним Срд 11 Дек 2013 06:52:40  #99 №58769130 

>>58768296
> В 19 лет школьное образование в Финляндии заканчивается окончательно
Пиздец, мне только 16 стукнуло, когда выпустился.

Аноним Срд 11 Дек 2013 06:52:53  #100 №58769134 

>>58769065

нет, девять.

Аноним Срд 11 Дек 2013 06:54:01  #101 №58769156 

>>58769104

Маленький секрет - в начальстве не дураки сидят. А то, что ты их дураками считаешь - это технология такая, давняя, лол.

Просто "глупые действия" кажутся тебе глупыми потому, что они наносят вред "обществу" и "стране" и вообще античеловечные - но эти действия вовсе не глупые, это просто нас ебут.

Думаю, ты понимаешь, что я исчерпывающе ответил на твой пост.

Аноним Срд 11 Дек 2013 06:54:07  #102 №58769158 

>>58769130

>заканчивается окончательно

Полагаю, что и там существуют "коррекционные школы" для самых умных из финнов.

Аноним Срд 11 Дек 2013 06:54:32  #103 №58769169 

>>58768240
9

Аноним Срд 11 Дек 2013 06:55:37  #104 №58769187 

>>58769156

Я с тобой согласен. Тем не менее, согласись, что тот же Рамзан Кадыров уж явно не тянет на академика. Он сам по себе тупой кауказский быдлан.

Аноним Срд 11 Дек 2013 06:55:51  #105 №58769190 

>>58769125

Так скажем - птица - это общее множество, в которое входят остальные объекты. Птица - это общий признак, множество, а синица, утка и теде - нет.

Аноним Срд 11 Дек 2013 06:56:41  #106 №58769209 

>>58766346

1. Баба-педагог в 90% случаях тупая курица, которой хотелось в институт, но в другие не брали
2. Баба-психолог в 99% случаях-смесь пароварки и собаки. Что несут? а хуй его знает
3. сосач не знает что цена нии-бабушкин сундук и 800 рублей гос.пошлины
4. Таких охуитительных историй, аля мнений о взрослости-куча, рекомендую сыночкам Камю и его "Миф о Сизифе" прочесть. И да опусти бороду, Анон, поменяешьсявылечил меня в свое время от синдрома Питера Пена

мимо педагог-психолог

Аноним Срд 11 Дек 2013 06:57:22  #107 №58769223 

>>58769187

Ты не понимаешь - это все спициально, чтобы большие люди профит имели, от того все так. Оно не по глупому - оно по вредному относительно одних, и по выгодному относительно других. А Кадыров - это сипай, тонтон-макут. "Царек зверей". Технология древняя.

Аноним Срд 11 Дек 2013 06:57:24  #108 №58769224 

>>58769187
Нет, он няша.

Аноним Срд 11 Дек 2013 06:57:27  #109 №58769226 

>>58769125

>занимаются 20 ебаных лет абстрактными вопросами

Зато они у мамы фелосафы, выблядок.

Аноним Срд 11 Дек 2013 06:57:30  #110 №58769227 

>>58769134
6/2*3=6/6=1.

9 как-то слишком очевидно.

Аноним Срд 11 Дек 2013 06:57:46  #111 №58769238 

>>58769187
Губернатор не может быть умнее начальства, и вообще не должен понимать, почему и как им руководят, зато быть послушным и верным.

Аноним Срд 11 Дек 2013 06:58:27  #112 №58769252 

> Синица, голубь, птица, воробей, утка. Что лишнее?
Лишнего ничего нет, так как слово птица может подразумевать под собою любую птицу кроме вышеперечисленных.

Аноним Срд 11 Дек 2013 06:58:37  #113 №58769255 

>>58769223

специально, лол.

Аноним Срд 11 Дек 2013 06:58:49  #114 №58769260 

>>58769227
Лол, ты только что умножил знаменатель без числителя.

Аноним Срд 11 Дек 2013 06:59:32  #115 №58769276 

>>58769223

Я понимаю, что все люди стоят на нужных местах и все не просто так. С этого кто-то, но имеет профит, правда мне и тебе от этот отнюдь не лучше. Имеем профит же не мы в конченом случае, а уж ком мы должны позаботиться и думать, как не о себе?

Аноним Срд 11 Дек 2013 06:59:49  #116 №58769286 

>>58769209

>вылечил меня в свое время от синдрома Питера Пена

Автор Питера Пена как раз любил подростков возраста Питера Пена.

Аноним Срд 11 Дек 2013 07:00:28  #117 №58769299 

>>58769276
О Родине, сынок, о Родине.

Аноним Срд 11 Дек 2013 07:00:53  #118 №58769304 

>>58769260

Я тоже сначала подумал, что за хуйня, а потом представил 6\2 в виде дроби, и все стало на свои места.

Аноним Срд 11 Дек 2013 07:02:01  #119 №58769333 

>>58769260
А, понял. Тогда пиздец. Но в чем понт примера тогда?

Аноним Срд 11 Дек 2013 07:02:00  #120 №58769334 

>>58769227

Очевидное и невероятное, анон.

Аноним Срд 11 Дек 2013 07:02:31  #121 №58769344 

>>58769304
А мне на двачах говорили, что скобки нинужны!

Аноним Срд 11 Дек 2013 07:02:33  #122 №58769347 

>>58769276

>Имеем профит же не мы в конченом случае, а уж ком мы должны позаботиться и думать, как не о себе?

Вот, тут уже начинается гуманитарное знание для людей - это мышление в логике относительность, в логике своих интересов, в логике группового мышления, кто свои, кто чужие, с кем что делать, чего добиваться, что нужно и так далее. И там уже начинаются знания и концепции, которые нихуя не политкорректны и толерантны. Простые истины, которые лучше держать при себе и говорить только своим.

Аноним Срд 11 Дек 2013 07:03:35  #123 №58769374 

>>58769209
> рекомендую сыночкам Камю и его "Миф о Сизифе" прочесть
Стоит ли жизнь того, чтобы ее прожить.
Такое с моей многолетней депрессией вряд ли совместимо.

Аноним Срд 11 Дек 2013 07:03:50  #124 №58769380 

>>58769333

В том, что стоит представить пример в другой форме, как узкость мышления сразу же дает о себе знать, и простейший пример становится непреодолимой трудностью даже для некоторых взрослых. Считай, детектор идиотов. Ну или гуманитариев, что почти одно и тоже.

Мимо недотехнарь-кун.

Аноним Срд 11 Дек 2013 07:05:37  #125 №58769416 

>>58769252
срыв покровов ITT

Аноним Срд 11 Дек 2013 07:05:39  #126 №58769417 

>>58769380

>Ну или гуманитариев, что почти одно и тоже.

Я 9 ответил.

гуманитарий из треда

Аноним Срд 11 Дек 2013 07:06:11  #127 №58769430 

>>58769416
>>58769252

Двачую этих пацанов.

Аноним Срд 11 Дек 2013 07:06:21  #128 №58769436 

>>58769417
а я 1

другой гуманитарий

Аноним Срд 11 Дек 2013 07:06:57  #129 №58769446 

>>58769238

Тоже верно. А российская власть не должгна быть умнее белых людей. Гнать нефтедоллары за кордон, да детишек там держать. И бабло.

Аноним Срд 11 Дек 2013 07:07:25  #130 №58769459 

>>58769430
Птица - более объёмное понятие, оно включает в себя всех птиц, стало быть оно и есть лишнее, потому что потому. Как джокер отличен от туза и семёрки.

Аноним Срд 11 Дек 2013 07:07:49  #131 №58769464 

>>58769380
Не понял... Где тут другая форма? Кто-то не понимает, что слэш - деление, звездочка - умножение?

Аноним Срд 11 Дек 2013 07:08:43  #132 №58769480 

>>58769459
В туза можно пороться. А в джокера? В семёрку?

Аноним Срд 11 Дек 2013 07:09:41  #133 №58769496 
1386731381902.jpg

>>58769446

А мировая власть не должна быть умна, она должна послушно следовать велению жидорептелоидов. Она должна лишь растлевать белых людей да поощрять потреблядство.

Аноним Срд 11 Дек 2013 07:10:39  #134 №58769512 

>>58766346
>Синица, голубь, птица, воробей, утка. Что лишнее? К сожалению, многие говорят, что утка.
Как ж я проиграл!
>Окружающий мир
>История в картинках
>Какие задачки? Мы презентации делаем
А вот тут я уже забеспокоился. На самом деле такая хуйня в школах?

Аноним Срд 11 Дек 2013 07:11:27  #135 №58769526 

>>58769436

Предположу, ты просто не можешь в технгарьку, но и не можешь в гуманитарку, но на гуманитарке дураку легче, ведь гуманитарка - это царство индивидуальности, не требующее высокой точности и стандарта, тут додумывать надо все самому, хотя и можно задрочить куда более легкие для задрочки вещи, чем в технарьке.

Аноним Срд 11 Дек 2013 07:11:35  #136 №58769527 

>>58769512
Я на физике просто сплю, всё ок.

Аноним Срд 11 Дек 2013 07:11:40  #137 №58769529 

>>58769464
Тут вопрос в том, каков же делитель.
Если 2*3, то 6:(2*3)=1.
Если 2, то (6:2)*3=9.

Аноним Срд 11 Дек 2013 07:12:06  #138 №58769535 

>>58769496

А дурачки должны меньше использовать уловку "чучело".

Аноним Срд 11 Дек 2013 07:12:12  #139 №58769538 

>>58769227
Тут зависит от того, как представить число. Ведь (6/2)*3 будет девять, а 6/2*3 будет 1. Ведь если дробь умножаем на число, то число идёт в ЧИСЛИТЕЛЬ.

sageАноним Срд 11 Дек 2013 07:12:18  #140 №58769540 

>>58769529
налажал, похуй

Аноним Срд 11 Дек 2013 07:13:19  #141 №58769558 

>>58769538

Деление и умножение идут друг за другом в порядке написания, если нет скобок.

гуманитраий

Аноним Срд 11 Дек 2013 07:15:21  #142 №58769586 
[url]

Вы лучше, братцы, посмотрите, жидорептелоиды уже пробрались к Обаме! Караул!

sageАноним Срд 11 Дек 2013 07:15:26  #143 №58769587 

>>58769526
Предположу, что ты толстяк, потому что вероятность того, что провоцирующий техносрач пост утром в 7:09 на харкаче в 2013 году написал не тролль с каждой секундой всё страстнее стремится к нулю.

Аноним Срд 11 Дек 2013 07:16:03  #144 №58769597 

>>58769558
Алсо, 6:2*3 - вот твой порядок. Тут же дробь с числителем 6 и знаменателем 2*3, но опять же, есть подвох. Задание в таком написании (6/2*3) не совсем корректно. Оно бы больше подошло во всякую психологию на НЕСТАНДАРТНОСТЬ мышления.

Аноним Срд 11 Дек 2013 07:16:29  #145 №58769604 
1386731789906.jpg

>>58769496>>58769586

Аноним Срд 11 Дек 2013 07:16:34  #146 №58769605 

>>58769464

Блядь, вместо дробной черты тут поставили слэш, в этом, собственно, и заключается другая форма. Всё.

Аноним Срд 11 Дек 2013 07:17:47  #147 №58769621 

>>58769374
Дак какая же ты корзинка?

Аноним Срд 11 Дек 2013 07:17:48  #148 №58769622 

Что может быть лучше сидеть на сосачике утром, пацаны? Пойти что-либо сварить чайку и обратно за комп?

Аноним Срд 11 Дек 2013 07:18:40  #149 №58769632 

>>58769597

Блядь, блядь, блядь. 6 знаменателем и 2 умножить на три числителем - это 6/2/3, а не 6:2*3.

Какой у тебя айкью? Академический интерес.

sageАноним Срд 11 Дек 2013 07:18:44  #150 №58769634 

>>58769622
Иди спать. Вечером проснёшься полным сил, и снова сядешь двачевать.

Аноним Срд 11 Дек 2013 07:19:24  #151 №58769644 

>>58768002
Нихуя это не значит. Из моего класса были две отличницы. Одна стала тупой пиздой подстилкой под папика, а вторая спилась и сейчас на заправке на кассе стоит.

Аноним Срд 11 Дек 2013 07:20:35  #152 №58769665 
[url]

Даже Джон Керри жидорептелоид! Вот откуда ноги растут!

Аноним Срд 11 Дек 2013 07:21:07  #153 №58769673 

>>58767898
удваиваю
ОП

Аноним Срд 11 Дек 2013 07:21:18  #154 №58769679 
[url]

>>58769665

бля, не тот видос.

Аноним Срд 11 Дек 2013 07:23:57  #155 №58769725 

>>58769597

>нестандартное мышление

как же я дико с этого проиграл

Аноним Срд 11 Дек 2013 07:24:56  #156 №58769741 

Анон, я тут с грыжей лежу, поддержи меня (:
Алсо, по теме треда, объясните, как понимать слабые способности к математическому анализу при общем нормальным развитием логики? Всегда динамил предмет, теперь мне кажется, что сам себя заранее на фейл настраиваю. 20лвл

Аноним Срд 11 Дек 2013 07:25:37  #157 №58769749 

>>58767898
А зачем так обучают, ккакие цели такого обучения, ты себе этот вопрос не задавал?

Аноним Срд 11 Дек 2013 07:25:59  #158 №58769756 
1386732359637.jpg

>>58769741
Уже прооперировали, кстати.

Аноним Срд 11 Дек 2013 07:26:54  #159 №58769770 

>>58769190
в данном случае ты подумал о множестве - логично, ребенок подумал о размере с его стороны тоже логично.>>58769226

>>58769226
твоя агрессия выглядит неуместно, как я понял мы оба считаем что она занимается хуйней.

Аноним Срд 11 Дек 2013 07:27:14  #160 №58769774 

>>58769741
Анон, я тут без тян, сосущей мой член, сижу, поддержи меня (:
Алсо, по теме треда, объясните, как понимать высокие способности к математическому анализу при общем дегенеративном развитии логики? Всегда дрочил на предмет, теперь кажется, что заранее обречен на успех. 20лвл.

Аноним Срд 11 Дек 2013 07:27:38  #161 №58769779 
1386732458738.jpg

>>58766346

Тред не читал, сразу отвечаю. Вот моя паста, где я объясняю примерно то же приятелю:

А идея такая. Есть такой возрастной психолог - жан пиаже. Он изучал процесс формирования интеллекта. Согласно его теории, высшей формой интеллекта является формально-логическое мышление (в оп посте называется "понятийным"- прим.). Эти люди обладают широкой децентрацией взглядов и убеждений, фундаментальными знаниями, быстро учатся, креативны могут решать сложные задачи.
Но формально-логическое мышление формируется лишь у меньшинства. А что же остальные? Остальные обладают неким "профессиональным мышлением". Иными словами, их можно научить выполнять одну примитивную работу, они в состоянии с горем пополам овладеть некой профессией, но их интеллект недоразвитый.

согласно его теории, форм-логич. мышление уже примерно к 14 либо сформировано, либо нет.

я приведу аналогию. вот люди с форм-логическим мышлением имеют качественное отличие, а не количественное. Они имеют 4-х ядерный процессор.
А с "профессионыльным" одноядерный.

Отправляем двоих одинадцатикласников в вузы, при условии, что один проф. а другой форм-логич. Если им удалось закончить, то это не значит что у профа появилось еще три ядра, формальное мышление. Нет. Он просто нахватался знаний по верхам. Нет качественного изменения. Оно невозможно. Три ядра не вырастут. Поэтому ему нечего делать в вузе. Ему надо получить простую специальность и все.

Скажем, стать поваром.

Еще раз. Если ты установишь на свой компьютер дохуя программ, у тебя что лишние ядра появятся? Нет, конечно.

Да даже если представим у чувака "профа" есть вышка и знания. что с того? Он что, сможет создать бизнес? Или сможет вести дела в суде? Да даже если и сможет, то бизнес его прогорит, и все дела он просрет.
Тут речь не о знаниях. А об интеллекте. Между ними нет равно.

Простых профессий много. Водилы, строители, повара, мелкие менеджеры, работники магазинов и сферы несложных услуг и так далее. Не сложная гос. служба, скажем.

Аналогия более чем верная. Интеллект - это не информация. Это способность информацией оперировать. Вот это сформировано примерно к 14. Или нет.

Ты говоришь нет вышки - нет интеллекта. А почему все так выглядит? Да потому, что для поступления в вузы существует интеллектуальный барьер. Те, кто проходят его сами по себе уже имеют формальный интеллект. В вузе им просто знания заливают и все.
Вот и кажется, что вуз как-то влияет. На самом деле нет.

А что влияет спросишь ты тогда?

Влияют 4 фактора.

1. наследственность. гены.
2. социальная среда.
3. активность ребенка, его деятельность.
4. стремление к адаптации.

Все. Но работает это только примерно до 14.

До двух лет у детей сенсорно-моторный интеллект, потом до 8 лет примерно конкретно-операциональный. И потом только может развиться формально-операциональный.

Как-то так.

Аноним Срд 11 Дек 2013 07:28:13  #162 №58769787 

НУ МЫ ТОЧНО УМНЫЕ, АКНАНАСЫ ЖЕ

Аноним Срд 11 Дек 2013 07:30:00  #163 №58769814 

>>58769770

Понимаешь, логика не может быть своя и наша, иначе получается колхоз. Это буренка моя, а это государственная, колхозная. Есть общее, а есть частное и, если человек не способен обобщать частные случаи или, наоборот, выделять частное из общего, то человек заранее мыслит отнюдь не в русле понятийного мышления. Остальные оправдания не принимаются.

Аноним Срд 11 Дек 2013 07:30:41  #164 №58769824 

>>58769774
Не нужно намекать на взаимоисключение, у меня все нормально со смежными областями, например.

Аноним Срд 11 Дек 2013 07:32:28  #165 №58769855 

>>58769756

Спасибо, только фотки с волосатыми ногами не хватало.

Аноним Срд 11 Дек 2013 07:33:52  #166 №58769882 
1386732832294.jpg

>>58766346
> выдающегося советского психолога Льва Выготского
Дальше читать не смог.

Аноним Срд 11 Дек 2013 07:36:07  #167 №58769923 

>>58769882

Почему? Сукпздц.

Аноним Срд 11 Дек 2013 07:36:37  #168 №58769933 

Особо не осиливал, но паста короче я так понял - долго и нудно умными словами про то, что школота - недоразвитые дебилы. Ну так это мы итак знаем.

Аноним Срд 11 Дек 2013 07:36:51  #169 №58769936 

>>58769882

Это верно. Иди, цветные картинки посмотри.


>>58769779-кун

Аноним Срд 11 Дек 2013 07:37:19  #170 №58769946 

>>58769814
Ладно не про логику сейчас. Почитай тред тут>>58769252
и тут
>>58769459
>>58769480
относительно себя все правы, но относительно друг друга мы по разному думаем. в этом смысл. где-то раньше картинки мелькали такие же типа шуба, роза, яблоко, портфель - выбери лишнее, так такие треды за 20 минут в бамплимит утекали. все потому, что каждый говорил своё.

Аноним Срд 11 Дек 2013 07:37:55  #171 №58769959 

>>58769855
Ну я же не трап, чего ты, братишка

Аноним Срд 11 Дек 2013 07:38:02  #172 №58769962 

>>58769933

Паста про то, что большинство и после школы остается недоразвитыми дебилами.

>>58769779-кун

Аноним Срд 11 Дек 2013 07:39:29  #173 №58769986 

>>58769923
Потому что советская психология это как польская космическая программа.

Аноним Срд 11 Дек 2013 07:39:44  #174 №58769994 

>>58769962
Я, например, вообще по жизни дебил-даун.

Аноним Срд 11 Дек 2013 07:40:27  #175 №58770002 

>>58766346

Статью читал по диагонали. Смысл в том, что придурки-улучшатели, кричащие, что "советская система прогнила надо менять но новую не отвечает требованиям современного мира" - соснули?

sageАноним Срд 11 Дек 2013 07:40:54  #176 №58770011 

>>58766346
>Среди политических консультантов у нас психологи, философы, неудавшиеся педагоги – люди, у которых с понятийным мышлением не очень хорошо, но которые умеют ловко говорить и завертывать свои идеи в красивые обертки.

Дальше не читал. Бред старой кобылы.

Аноним Срд 11 Дек 2013 07:41:10  #177 №58770013 

>>58769959

И не членосос?

Аноним Срд 11 Дек 2013 07:42:19  #178 №58770028 
1386733339761.jpg

>>58769621 Korzinochki... Korzinochki never changes...

Аноним Срд 11 Дек 2013 07:43:17  #179 №58770045 

>>58770013
Нет, откуда такие подозрения? Плавки на мне - это чтобы мошонка не отекала

Аноним Срд 11 Дек 2013 07:43:22  #180 №58770048 

>>58766346
> Синица, голубь, птица, воробей, утка. Что лишнее?
Птица, блядь почему утка то?
Синица вид птицы.
Голубь вид птицы.
Воробей вид птицы.
Утка вид птицы.
Птица это птица.

Аноним Срд 11 Дек 2013 07:44:11  #181 №58770059 

>>58766346
>Я им говорю: "Почему утка?"
Нет, ну а что, по ее мнению, правильно? Голубь, блядь, что ли???

Аноним Срд 11 Дек 2013 07:44:37  #182 №58770065 

>>58770002

Нет.

ВСЕ СОСНУЛИ РАЗОМ, ПОНЯТНОЕ МЫШЛЕНИЕ ОТСУТСТВУЕТ, ЕБАННЫЙ ТЫ ДАУН, БЛЯДЬ. ПСИХОЛОГИЯ, СОВЕТСКАЯ СИСТЕМА ОБРАЗОВАНИЯ, ЕСТЕСТВЕННЫЕ И ТЕХНИЧЕСКИЕ НАУКИ. ВСЕ ГОВНО, А Я ТЕХРАНЬ, МАЛАФЬЯ ПОЛИЛАСЬ НАХУЙ!

Аноним Срд 11 Дек 2013 07:44:44  #183 №58770069 

>>58770011
>политических консультантов
ты за новостями совсем не следишь? наши политические деятели иногда так мастерски словоблудят что заставляют верить народ, что путин бог медведев пророк его, а ональный иуда-оппозиционер.

Аноним Срд 11 Дек 2013 07:45:08  #184 №58770078 
1386733508087.jpg

Добавлю только то что это все очередное совковое кудахтанье про лучшее в мире образование не имеюшее аналогов.
Есть и были действительно сильные школы - физика, математика, но в основном крестьянским детям везде кроме может ДС давали минимум, давали такие же тупые и не годные больше ни на что как языком трепать тян.
Образование туда, образование сюда. А на деле что такое образование? Это операционно-понятийная среда, от того что ты знаешь что небо это небо, а хуй это многое не меняется при условии что ты сам по себе тупой и не можешь эти знания применить/продать.
Сравнение эффективности образование в рыночной и плановой экономики это совсем ПУШКА, тк никаких показателей не было, было распределение после учебных заведений. Грубо говоря образование осталось таким же говном как и было, кто посообразительней от природы и может в науку с дисциплиной тот съебывает, все остальные стабильно сосут хуй за минимум денег чтоб от голода не сдохли. В муррике с неквалифицированным персоналом так же кстати.

Аноним Срд 11 Дек 2013 07:45:09  #185 №58770079 

>>58766346
>Я им говорю: "Почему утка?"
>А они мне "азазаз потому шта ты праститутка!" :(

Аноним Срд 11 Дек 2013 07:45:41  #186 №58770095 

>>58770059
Потому что в утку прокажённые ссут.

Аноним Срд 11 Дек 2013 07:46:02  #187 №58770102 

>>58770002
Не соснули, а детям за щеку сунули.

Аноним Срд 11 Дек 2013 07:46:03  #188 №58770103 

>>58766346
Она перестанет страдать хуйнёй?

Аноним Срд 11 Дек 2013 07:46:52  #189 №58770116 

>>58770059
Толсто.

Аноним Срд 11 Дек 2013 07:47:11  #190 №58770122 
1386733631822.png

>>58770045

Дай я тебя обниму, братело!

Аноним Срд 11 Дек 2013 07:47:34  #191 №58770128 

>>58770079
Обосрался.

Аноним Срд 11 Дек 2013 07:49:04  #192 №58770156 

>>58770048
Хороший детектор средних способностей - демонстрация понимания элементарных вещей.

Аноним Срд 11 Дек 2013 07:50:15  #193 №58770172 

>>58770122
Тоже с грыжей лежал?

Аноним Срд 11 Дек 2013 07:51:18  #194 №58770191 

>>58770156
> элементарных вещей
не думаю что,
> Папа – юрист, мама – учитель.
не смогли сказать что лишнее, мне кажется бред сивой кобылы.

Аноним Срд 11 Дек 2013 07:51:28  #195 №58770195 

>>58769986

Можно спросить, а кого ты читал из советской психологии?
Я тут просто приведу пару фамилий, а ты выберешь, да?
Выготский, Леонтьев, Лурия, Бернштейн, Рубиншейн, Анохин, Узнадзе, Зейгарник?
Ты хоть слышал про этих людей?

Боже, с какими же ДАУНАМИ я сижу на одной борде.

Аноним Срд 11 Дек 2013 07:52:21  #196 №58770209 

>>58770191
> Папа – юрист, мама – учитель.
Это ещё ничего не значит.

Аноним Срд 11 Дек 2013 07:52:26  #197 №58770212 

>>58770013
Что плохого в том, чтобы сосать член? Ох уж эти общественные устои с их гомофобскими настроениями. Мужские члены выглядят очень красиво, момент камшота так и вовсе выглядит чудесно.
мимо-тайный-би, не сосущий из-за резкого изменения отношения близких людей, в случае, если бы это произошло

Аноним Срд 11 Дек 2013 07:52:37  #198 №58770217 

>>58770172

Нет, просто ты натурал. Я тоже.

Аноним Срд 11 Дек 2013 07:53:13  #199 №58770228 
[url]

>>58770195

Аноним Срд 11 Дек 2013 07:54:27  #200 №58770246 

>>58770212

Ничего плохого. Но ты пидор, пусть и латентный.

Аноним Срд 11 Дек 2013 07:54:40  #201 №58770251 

>>58767878
вот ведь сука, и правда ведь

Аноним Срд 11 Дек 2013 08:03:51  #202 №58770412 

>>58767531
Хуи сосешь?

Аноним Срд 11 Дек 2013 08:04:20  #203 №58770426 

а какая птица - правильный ответ и почему?

Аноним Срд 11 Дек 2013 08:05:26  #204 №58770445 

>>58769529
Это арифметика, изучалась раньше с 1 по 2 класс школы.

Аноним Срд 11 Дек 2013 08:10:44  #205 №58770533 

>>58768569
Петушиное кукареканье, например.

Аноним Срд 11 Дек 2013 08:18:15  #206 №58770623 

>Разрыв между умными и глупыми нарастает
Одну из причин вижу в навязывании своего мнения обучающимся. А именно: ты должен повторить слова учителя/критика, мнение которого учитель/родитель/рандомный человек считает правильным собственное мнение? Да иди ты на хуй со своим мнением, Василий Бахряпкин сказал так, значит будет так; влияние быдла на своих одноклассников, "учиться никруто", "фу, батан!", "этот долбаеб что-то хочет узнать? Давайте побьем его лучше", "ты чего там раскудахтался, заткнись, не нервируй нас". Да, все эти фразы были сказаны когда-то мне, после чего желание узнавать новое и критиковать точку зрения кого-либо постепенно пропадало.
Ящитаю, нужно разделять на группы учеников по способностям и откровенное тупое быдло убирать подальше от основной массы.

Аноним Срд 11 Дек 2013 08:19:42  #207 №58770639 

Сразу выделил птицу, потом ещё пару минут обособлял другие термины по каким-нибудь уникальным признакам.
Работаю аутисаналитиком в IT.

Аноним Срд 11 Дек 2013 08:21:41  #208 №58770663 

>>58770623
>откровенное тупое быдло убирать подальше от основной массы
Они и есть основная масса.

Аноним Срд 11 Дек 2013 08:24:11  #209 №58770690 

>>58770639
И к каким выводам пришёл? Там нет же однозначного ответа, все ответы будут верны в равной степени.

Аноним Срд 11 Дек 2013 08:31:52  #210 №58770778 

>>58770623
Всегда так было. Это естественные процессы в социуме.
Проблема в том, что родители кладут хуй на своих детей. Ясное дело, что если ты существуешь между дебилами-ерохиными и батиным ремнём, то хуй что из тебя вырастет.
Однако стоит пару-тройку раз показать дитю принципиально иную среду, как он сам поймёт что все его авторитеты относительны и что жить можно иначе. Что можно класть хуй на нормы и жить как хочешь.
Далее остаётся лишь подкрепить эту установку качественным и фундаментальным образованием.

Аноним Срд 11 Дек 2013 08:32:33  #211 №58770791 

>>58770690
Если психология в прогнозировании пользуется настолько неоднозначными тестами, есть ли смысл прислушиваться к ней? В смысле, что её от астрологии отличает?

Аноним Срд 11 Дек 2013 08:33:11  #212 №58770806 

>>58770690
Птица - обобщающее понятие. Все остальные слова - конкретизация вида.
Обращаясь к логике, все утки и синицы являются частями множества "птица".

Аноним Срд 11 Дек 2013 08:36:49  #213 №58770863 

>>58770690
1. Синица - поет.
2. Воробей - передвигается прыжками, хотя хуй знает как ходят синицы.
3. Утка - употребляется в пищу, одомашнена, имеет больший размер и другое строение клюва.
4. Голубя можно пнуть, хотя утку, в принципе, тоже, но не так весело.
5. На улице холодно.
6. Зря я так рано поехал на работу, мог бы спать ещё два часа.
7. ОП - хуй.

Аноним Срд 11 Дек 2013 08:39:26  #214 №58770914 

>>58770863
>Утка одомашнена
Но ведь существует целое семейство птиц - "утиные". Там хуева туча видов, особенно диких. Дохуя уток, понимаешь?

Аноним Срд 11 Дек 2013 08:39:27  #215 №58770915 

>>58770791>>58770806>>58770863
Вот об чём и речь. Тест-то весьма спорный.

Аноним Срд 11 Дек 2013 08:41:21  #216 №58770950 

>>58770915
Обыкновенный тест на элементарную логику. "a, b, c, D, e" - сомневаться могут лишь толстяки и идиоты.

Аноним Срд 11 Дек 2013 08:42:50  #217 №58770979 
1386736970697.png

Объясните где ошибка, иначе я сегодня не усну.

мимо даун-гуманитарий

Аноним Срд 11 Дек 2013 08:44:51  #218 №58771014 
1386737091060.png

>>58770979

Аноним Срд 11 Дек 2013 08:46:19  #219 №58771043 
1386737179555.png

>>58770979

<---- Если рассматривать 6/2 как дробь, то на 3 умножается 6, а не 2.

Аноним Срд 11 Дек 2013 08:46:58  #220 №58771061 

>>58770979
Скобки не расставлены, поэтому открывается широкий простор для троллинга.

Аноним Срд 11 Дек 2013 08:47:10  #221 №58771068 

>>58770914
Если хотя бы один элемент из множества А является 1, а все элементы из множеств B и C являются 0, то почему бы не выделить множество А?
>>58770915
Шел бы ты нахуй, нестандартный. Тест очевиден, я сразу выделил класс “птица“, дальнейшие размышления - для аутистов вроде меня и к итоговому ответу отношения не имеют.

Аноним Срд 11 Дек 2013 08:47:21  #222 №58771073 

>>58771014
>>58771043
хайв

Аноним Срд 11 Дек 2013 08:47:55  #223 №58771082 

>>58770979
потому что ты делишь 6 на 2, а потом это все умножаешь на 3

Аноним Срд 11 Дек 2013 08:47:57  #224 №58771084 

>>58766346
Тётка Петрова смотрела, сразу видно.

Аноним Срд 11 Дек 2013 08:47:57  #225 №58771085 

>>58770778
>существуешь между дебилами-ерохиными и батиным ремнём, то хуй что из тебя вырастет
А вот тут то у меня и пригорело, хотя виноват в большей степени я сам.
>>58770979
2 и 3 в скобках? Нет? Тогда и не дели на 6.

Аноним Срд 11 Дек 2013 08:49:04  #226 №58771115 

>>58770950
логика не была бы логикой, будь она элементарной. На самом деле тред о спорности выбора, подтверждает мысль анона сверху, что социум формирует человека, у нас 2 случая:
1. это те кто считает однозначным ответом птица - люди подвергшиеся влиянию социума внешнего мира
2. те кто пытается выйти за рамки привычного, что собственно и требует имиджборда(иначе мы бы от паблика вк не отличались)
и то и то подвержено

Аноним Срд 11 Дек 2013 08:49:14  #227 №58771119 

>>58771068
> для аутистов вроде меня
это ты сам себе придумал?

Аноним Срд 11 Дек 2013 08:50:28  #228 №58771143 

>>58771115
1. Нормальные люди.
2. Идиоты, которые не понимают структуру и логику подобных тестиков. Ну, или те, кто намеренно извращается над ответами.

Аноним Срд 11 Дек 2013 08:52:10  #229 №58771174 
1386737530090.png

>>58770979
Нет ошибки.

Аноним Срд 11 Дек 2013 08:52:14  #230 №58771176 

>>58771061
правило ж, сначала деление потом умножение

Аноним Срд 11 Дек 2013 08:53:18  #231 №58771196 

>>58771176
у них нет правил. сначала то, что стоит левее.

Аноним Срд 11 Дек 2013 08:54:03  #232 №58771209 

>>58771196
>>58771176
Ну нинада, ну нитрольте.

Аноним Срд 11 Дек 2013 08:54:31  #233 №58771220 

>>58771115
Очевидно же, что птица более лишняя, чем другие, так как можно однозначно назвать признак отличия, а для других его нужно придумывать, хоть там и простор для выбора больше.

Аноним Срд 11 Дек 2013 08:54:46  #234 №58771225 

>>58771176
Вот только в математике принято выделять члены, чтобы не получалось такой каши. Поэтому и поясвились скобки. Когда у тебя есть чёткое членение, то легко можно расставить приоритеты.
В нашем случае такого нет. Поэтому все троллируют.

Аноним Срд 11 Дек 2013 08:55:11  #235 №58771234 
1386737711900.png

Я всё правильно понял?

мимо даун-гуманитарий

Аноним Срд 11 Дек 2013 08:55:13  #236 №58771235 

>>58771176
Умножение и деление равнозначны.

Аноним Срд 11 Дек 2013 08:55:53  #237 №58771246 

>>58771143
Почему анон так любит пересказать, что я только что написал?
>Идиоты, которые не понимают структуру и логику подобных тестиков. Ну, или те, кто намеренно извращается над ответами.
В данном социуме это считается нормой. Вот встанешь из-за компа все поменяется

Аноним Срд 11 Дек 2013 08:56:06  #238 №58771250 

>>58771014
Синдромо даунито хромомсом
6/2х3/1=9
6/2х1/3=1
Все выражения правильны

Аноним Срд 11 Дек 2013 08:57:23  #239 №58771267 
1386737843009.jpg

>>58771234
адавай тралить лаллак в мести))00
азазаз

Аноним Срд 11 Дек 2013 08:57:32  #240 №58771272 

>>58771250
почему ты перевернул дробь 3/1?

Аноним Срд 11 Дек 2013 08:59:34  #241 №58771321 

>>58771234
Не тройка представлена целым числом не дробью, если я так напишу 6:2*3:1

Аноним Срд 11 Дек 2013 08:59:51  #242 №58771329 
1386737991600.png

Посоны, где вы увидели ошибку? Все верно вычислено. Чего раскудахтались?

Аноним Срд 11 Дек 2013 09:01:00  #243 №58771353 

>>58771329
иди в вк, траленок

Аноним Срд 11 Дек 2013 09:01:17  #244 №58771357 

>>58771329
двойственность решения рвет шаблон всем черно-белым товарищам

Аноним Срд 11 Дек 2013 09:02:18  #245 №58771376 

>>58771321
Да это я понял, просто ебануто нарисовал. В изначальном примере нет скобок, поэтому там строго 9, если скобки добавить - 1. Так?

Аноним Срд 11 Дек 2013 09:02:49  #246 №58771385 

>>58771353
Ну, я пошел.
>>58771357
Все однозначно. Не понимаю тебя, извини. Кто такие черно-белые?

Аноним Срд 11 Дек 2013 09:04:10  #247 №58771412 

>>58771329
Первое решено неправильно, бо умножение и сложение нужно выполнять в первую очередь.

Аноним Срд 11 Дек 2013 09:06:16  #248 №58771444 

>>58767878
Гуманитарий не человек.

Аноним Срд 11 Дек 2013 09:06:22  #249 №58771446 

>>58771412
Портфель собрал?

Аноним Срд 11 Дек 2013 09:06:52  #250 №58771453 

>>58771444
Гуманитарий - сверхчеловек.

Аноним Срд 11 Дек 2013 09:07:56  #251 №58771465 

>>58771385
Вот >>58771225 анон пояснил про расчленение
поэтому можно и так (9), и так (1) решить.

Максималисты с ограниченным мышлением делящие все на белое и черное.

Аноним Срд 11 Дек 2013 09:08:50  #252 №58771475 

>>58771412
Либо ты сейчас прогуливаешь урок или хз, смартфон там, либо толстый. Или просто тупой гуманитарий.

Аноним Срд 11 Дек 2013 09:09:52  #253 №58771496 

>>58771453
У гуманитария бомбануло.

Аноним Срд 11 Дек 2013 09:11:52  #254 №58771523 

>>58771465
Ну блять заканчивайте эту хуйню, знаменатель без скобок это строго 9 или я чего-то не понимаю?

Аноним Срд 11 Дек 2013 09:11:58  #255 №58771525 

>>58769347
Вот этому масону два чая

Аноним Срд 11 Дек 2013 09:12:29  #256 №58771534 
1386738749382.jpg

>>58771496

Аноним Срд 11 Дек 2013 09:12:32  #257 №58771537 

>>58771465
А, эти черно-белые.
Тот анон и написал, что членение отсутствует, следовательно все троллируют верно.

Аноним Срд 11 Дек 2013 09:15:17  #258 №58771587 
1386738917330.jpg

Даже ему дают а вам нет

Аноним Срд 11 Дек 2013 09:17:57  #259 №58771627 

>>58771523
2 варианта тебе говорят есть первый 6\2 эт дробь на которую умножают 3 = 9
второй дробь тут 6 числитель\2*3 знаменатель и будет 1

Аноним Срд 11 Дек 2013 09:18:59  #260 №58771638 

>>58771272
Да, немного не так.
Запись 58770979 во второй строчке некорректна.
надо по идее писать (6*1)/(2*3)=1, т.е. 6/2 * 1/3 = 1
То есть в записи второй строчки надо умножить 6 на 1..
Это если правильно записывать и решать. Скобки ни причем.
Один анон-математи уже сказал, что умножение и деление равнозначны.
НЕКОРРЕКТНА ЗАПИСЬ ВЫЧИСЛЕНИЯ, ГДЕ ОТВЕТ =1.

Аноним Срд 11 Дек 2013 09:20:11  #261 №58771663 

>>58771627
да ебать
быть такого не может
если бы в учебнике по матеше попался этот пример, это чё типо опечатка была бы?
да идите нахуй, вы троллите

Аноним Срд 11 Дек 2013 09:22:11  #262 №58771698 

В выражении отсутствуют скобки, и оно включает в себя действия
только одной ступени, то тогда все операции выполняются по порядку
слева на право.
даже порядок исчисления для вас нагуглил
>>58771627>>58771523>>58771412>>58771376>>58771329

Аноним Срд 11 Дек 2013 09:22:47  #263 №58771711 

>>58771638
Что там неправильно? Другое вычисление - другой результат. БЛДЖАД Два разных вычислнич.

Аноним Срд 11 Дек 2013 09:23:38  #264 №58771734 

>>58771663
Вычислим:

72 : 8 • 33 : 11 • 2 =

Так как в выражении отсутствуют скобки и присутствуют действия
только второй ступени, то последовательность выполнения действий
будет слева на право.

72 : 8 = 9; 9 • 33 = 297; 297 : 11 = 27; 27 • 2 = 54.


72 : 8 • 33 : 11 • 2 = 54 .

Аноним Срд 11 Дек 2013 09:24:17  #265 №58771751 

>>58771698
>по порядку слева на право
а если дробь?

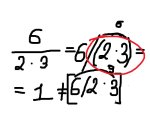
Аноним Срд 11 Дек 2013 09:26:24  #266 №58771799 

>>58771734
да это понятно, ты про дробь объясни. там тоже всё по порядку? если не по порядку вычислять - это ошибка?

Аноним Срд 11 Дек 2013 09:27:45  #267 №58771822 

>>58771751
дроб отстаточное явление от дкления. в нашем случае если мы поделим получиться целое без остатка а если дробь такой будет 4 и 3\4 то переводим в дробь вида 4*4+3=16+3=19 - 19\4-х

Аноним Срд 11 Дек 2013 09:29:50  #268 №58771858 

>>58771698
тогда объясни в чем этот >>58771329 неправ. я щас бля мозг сломаю

Аноним Срд 11 Дек 2013 09:30:00  #269 №58771862 

>>58771822
*деления
>>58771799
да, правила эти ещё в начальной школе преподают, т.к математика точная наука, то и правила исчисления строгие.

Аноним Срд 11 Дек 2013 09:31:33  #270 №58771898 

>>58771862
ну ок, успокоил

Аноним Срд 11 Дек 2013 09:35:52  #271 №58771996 

>>58771858
в первом случае он все по порядку сделал.
во втором есть маленький нюанс - это чисто троллефизикаматематика.
В математике / имеют ввиду дробь, и что у неё в низу в данном случае, нам не совсем ясно(то ли только 2, то ли 2*3), это и есть сложность. В учебниках, если будет знак деления: или ещё один, значит ебашь по правилу слева на права, если / - это именно дробь и там она ясно будет выглядеть.

Аноним Срд 11 Дек 2013 09:40:24  #272 №58772114 

>>58771996
>В математике / имеют ввиду дробь...
...и далее. Я не спорю. Но какое отношение это имеет к рисунку? Там все четко. Одно вычисление (по порядку) - один результат. Другое - другой.

Аноним Срд 11 Дек 2013 09:42:50  #273 №58772172 

>>58772114
нет во втором как раз не по порядку сравни:
1) делим 6:2 умножаем 3:3
2) уже умножаем 2*3 и делим 6:6

Аноним Срд 11 Дек 2013 09:43:41  #274 №58772190 

>>58772172
>там 3*3
фикс

Аноним Срд 11 Дек 2013 09:46:28  #275 №58772251 

>>58772172
Именно!! Они разные. И всё. Что там доказывать?

Аноним Срд 11 Дек 2013 09:48:47  #276 №58772308 

>>58772251
сука просто запомни что во втором тоже 9 и всё. это закон! тебе слишком долго объяснять придётся

Аноним Срд 11 Дек 2013 09:50:28  #277 №58772351 

ться, сука. или не ться

Аноним Срд 11 Дек 2013 09:51:47  #278 №58772385 

>>58772308
>во втором тоже 9
толсто, ты не тот анон:
>>58772172
>2) уже умножаем 2*3 и делим 6:6
делим 6 на 6 получаем 1

Аноним Срд 11 Дек 2013 09:54:22  #279 №58772453 

>>58772385
Во втором какой порядок у тебя?

Аноним Срд 11 Дек 2013 09:55:49  #280 №58772486 

>>58772385
да получаем 1, верно.
в это суть, тут изначально нам дали неточные сведения, при этом требуя точного ответа.
по идее - никто не прав, и все правы.

Аноним Срд 11 Дек 2013 09:57:59  #281 №58772541 
1386741479543.png

>>58772453

Аноним Срд 11 Дек 2013 10:00:11  #282 №58772600 
1386741611588.png

>>58772541
Откуда эти скобки? Изначально их нет. Ты их сам придумал?

Аноним Срд 11 Дек 2013 10:00:43  #283 №58772619 

>>58772486
вот этому вот это
>>58771638

Аноним Срд 11 Дек 2013 10:03:52  #284 №58772694 

>>58772486
Изначально нам пытались дать неправильные сведения, но лоханулись. Надо было писать текстом.
уроки траллевания уровня б

Аноним Срд 11 Дек 2013 10:04:13  #285 №58772702 

>>58772600
ты тупой и не можешь в логику математики?
ещё скажи, что вот в этом уравнении -(10-х)+23=20-(2х/6)^0 нет нигде множителя -1

Аноним Срд 11 Дек 2013 10:05:59  #286 №58772756 

>>58772702
> -(10-х)+23=21-(2х/6)^0
самофикс

Аноним Срд 11 Дек 2013 10:08:04  #287 №58772805 

>>58772600
Ты наверно кретин. Читай про порядок исчисления.
Либо толстячок. Читай про бег трусцой.

ДА! Я их сам придумал. Где я просчитался? Как ты раскусил-то?

Аноним Срд 11 Дек 2013 10:12:27  #288 №58772898 

не тральте плиз(

Аноним Срд 11 Дек 2013 10:13:33  #289 №58772926 

>>58766346
>Я им говорю: "Почему утка?" А они отвечают, потому что она большая, а птица, птичка это, по их мнению, что-то маленькое.
У меня мамаша такая - не считает ужей змеями. Мол, змея обязательно должна быть ядовитой. Значит, уж не змея. Уж, да и всё тут!

Аноним Срд 11 Дек 2013 10:14:16  #290 №58772946 

>>58772619
Нет, ты смеёшься что ле? Мало того, что от тройку в дробь 1\3 превратил, так он её к дроби 6\2 сохранил и вывел из-под числителя
ладно даже представим так
>(6*1)/(2*3)=1, т.е. 6/2 * 1/3 = 1
это второй вариант

но в первому его нельзя отнести потому, что он из тройки делает дробь. из целого числа, мать его, дробь ну ахуеть!

Аноним Срд 11 Дек 2013 10:15:04  #291 №58772972 

>>58772898
На, получай. Нна. Еще разок. Мало тебе? Нна! )))

Аноним Срд 11 Дек 2013 10:16:33  #292 №58773009 

>>58768064
Мой папа типа МОРЯК, они там на танкерах всякую хуйню возят. Работает он уже лет 30 в этом всем(сейчас капитан), очень много общался с разными людьми из разных стран. Сейчас вот у него был парень молодой из Эстонии, они там по истории даже первую и вторую мировые войны не проходили. Ну то есть Европа старается замолчать всю эту хуйню в истории. Ну это просто частный случай.
А вообще он сам видел разницу между совковым техническим образованием и каким-то другим, говорит что из совка были просто гении по сравнению с остальными. Ну и он всегда говорил мне, мол, ты думаешь, что все эти сопроматы и матаны тебе так уж сильно обязательно в жизни пригодятся? Нет, нихуя, это просто очень развивает мышление, ну, собственно, о чем эта тетка и писала.
Так что не думаю, что ватничество.

Аноним Срд 11 Дек 2013 10:18:44  #293 №58773059 

>>58772946
ты сука проще можешь объяснить?

Аноним Срд 11 Дек 2013 10:21:06  #294 №58773115 

>>58772541
>>58772600
>>58771329
>>58771234
>>58771174
>>58771043
>>58771014
>>58770979
Вы че блять серьезно обсуждаете пол треда задачку для пятого класса, которая решается за секунду?

Аноним Срд 11 Дек 2013 10:21:09  #295 №58773118 

>>58773059
Да издевается тыон, давай лучше образование наше гнобить.

Аноним Срд 11 Дек 2013 10:22:20  #296 №58773153 

>>58773115
Иди отсюда, у нас СЕРЬЁЗНЫЙ БИЗНЕС. Интернеты.

Аноним Срд 11 Дек 2013 10:23:12  #297 №58773174 

>>58773115
b/ - светоч науки, мы тут исследование проводим не мешай

Аноним Срд 11 Дек 2013 10:23:23  #298 №58773179 
[url]

>>58773153
Бля, видео отклеилось.

Аноним Срд 11 Дек 2013 10:23:39  #299 №58773184 

>>58773115
ну че ты ну че? умный дохуя? пойдём выйдем

Аноним Срд 11 Дек 2013 10:25:10  #300 №58773219 

>>58773118
Охуел? Я тут пол тренда пытаюсь двойственность троллеарифметики втолковать, а ты меня издиватором обзываешь?

Аноним Срд 11 Дек 2013 10:26:26  #301 №58773250 

>>58773219
Двойственность у тебя в штанах)

Аноним Срд 11 Дек 2013 10:27:03  #302 №58773269 

>>58773219
Не дуйся, пусечка. Я устал, я хоцю чяю.

Аноним Срд 11 Дек 2013 10:29:41  #303 №58773323 
1386743381625.png

>>58773219
А если бы ты поумнее был у меня, то давно бы делом занялся.

Аноним Срд 11 Дек 2013 10:30:00  #304 №58773339 

Я вот не освоил школьную программу, конечно по документам освоил, но внутри понимаю, что не знаю абсолютно ничего.

Аноним Срд 11 Дек 2013 10:30:01  #305 №58773342 

>>58773250
Тоесть, как в лизашоке я могу открывать у себя в паху разрыв и доставать от туда вагину или член побольше?

Аноним Срд 11 Дек 2013 10:32:27  #306 №58773407 

>>58773323
Не, это хоть какое-то разнообразие. Уж лучше чем в майдан треде сидеть.

Аноним Срд 11 Дек 2013 10:32:38  #307 №58773409 

>>58773342
А вагина - член поменьше, значит.

Аноним Срд 11 Дек 2013 10:33:16  #308 №58773428 

>>58769946
> относительно себя все правы, но относительно друг друга мы по разному думаем. в этом смысл
Пиздец ты тупой.

Аноним Срд 11 Дек 2013 10:33:23  #309 №58773433 

>>58773184
Пошли, я тя научу жизнь любить.

Аноним Срд 11 Дек 2013 10:35:08  #310 №58773467 
1386743708547.png

>>58773407
И не говори..

Аноним Срд 11 Дек 2013 10:35:36  #311 №58773477 

>>58773409
Нет, там физики были в параллельных вселенных разного пола, не уже ли не будет параллельной вселенной, где у меня будет побольше член?

Аноним Срд 11 Дек 2013 10:37:52  #312 №58773519 

>>58773477
Если принять, что Вселенная - бесконечна, то - данет. А вот хуй тебе, а не хуй тебе.

Аноним Срд 11 Дек 2013 10:37:58  #313 №58773520 

>>58773428
Поясни хоть, исправлюсь. Всю ночь не спал не вижу огреха.

Аноним Срд 11 Дек 2013 10:39:58  #314 №58773569 

>>58773520
есть задачи с единственным решением. как-то так.
мимопоехавший

ШОК СЕНСАЦИЯ Аноним Срд 11 Дек 2013 10:42:48  #315 №58773648 

>>58773519
Анона унижают в его параллельных вселенных

Аноним Срд 11 Дек 2013 10:45:14  #316 №58773724 

Поразительно, но большинство людей - конченые идиоты.

Большинство из них посредственно и кое-как учится в школе, потом также в институте, потом они также всю жизнь работают. Чтобы предсказать их действия, достаточно исходить из того предположения, что они из любой затруднительной ситуации будут стремиться выйти с как можно меньшими затратами интеллектуальных сил. Эмоции и никак не организованные в систему частности правят их миром и лежат в основе их решений. Логика и критическое мышление не развиты; общий набор познаний крайне скуден.

Есть люди более высокого уровня, которые хорошо учатся, хорошо работают, являются настоящими экспертами в своей области. У них развиты логика и критическое мышление в их области работы, однако, как то ни удивительно, эти же самые люди ничем не отличаются от первой группы, стоит им выйте за пределы своей профессии. И прекрасный умный врач или физик могут быть сущей легковедомой и удобовпечатляемой наивнотой в политических вопросах, не отличаясь от подлинного быдла.

И есть люди третьей категории - хорошо учатся, хорошо и с интересом работают, отличаются высокой культурой мышления, широтой познаний, строгой логикой и критическим мышлением, причем во всех областях, не только по работе.
Таких людей очень немного, т.к. для них думать - удовольствие, а не напряжение, как для первых двух групп. У таких субъектов есть общий способ думать о вещах, общие методологический принцип рассмотрения и движения суждений. Хорошими примерами будут люди с ярко выраженными естественно-научными способностями, одновременно интересующиеся широким кругом вещей и всюду распространяющие свою мысль - Рассел, Куайн, Витгенштейн, Фейнман, Лобачевский, Кант, Павлов. Достигая академического признания и обретая последователей среди интеллектуально развитых, они, однако, никогда не стоят у власти. У власти же стоят люди первой или второй категории, которые обращаются к и рассчитывают на людей только первой категории. Вот такой вот пиздец.

Разумеется, образование играет крайне важную роль в формировании критического мышления. Но гражданин, думающий самостоятельно и опирающийся на факты вместо эмоций, - кошмар любого политика; поэтому едва ли можно рассчитывать на то, что когда-то ситуация изменится к лучшему.

ШОК СЕНСАЦИЯ Аноним Срд 11 Дек 2013 10:49:50  #317 №58773839 

>>58773648
Анон подчинил себе Вселенную!!!!11

Аноним Срд 11 Дек 2013 11:00:31  #318 №58774126 

>>58770623
Была такая же фигня. К счастью, это не отбило желание осваивать знания. Правда, раньше я удивлялся - а как другим может быть не интересно постигать новое?
Из школы свалил при первой возможности и ни разу об этом не пожалел, в колледже уровень обучения и общий состав были на порядок-два лучше (в моём восприятии)

Аноним Срд 11 Дек 2013 11:07:45  #319 №58774304 

up

паста Аноним Срд 11 Дек 2013 11:20:23  #320 №58774622 

95% опрошенных из Великобритании и США признались, что избегают пользоваться многими сервисами и приложениями в мобильных телефонах и смартфонах из-за трудности их установки.
Однако же статистикоёбы напоминают, что 95% соответствуют интервалу из двух среднеквадратичных отклонений нормально распределённой случайной величины. То есть, если взять несколько дискретных случайных величин, характеризующих идиотизм среди населения, высчитать их математическое ожидание, затем дисперсию и среднеквадратичное отклонение, потом взять интервал в два среднеквадратичных отклонения вокруг мат. ожидания, то в этот интервал попадёт 95% результатов исследования. То есть 95% населения — идиоты.
Сие предполагает двусторонний доверительный интервал, то есть переводит архиидиотов из 2,5% населения в обособленную категорию. Алсо если применять правило 3σ, то просто идиотами окажутся 99,73% населения, а вместе с архиидиотами — все 99,865% (это меньше 9,5 млн умных людей на весь глобус). Вполне возможен и другой вариант, когда 5% архиидиотов приплюсовывается к 90% обычных, в сумме давая пресловутые 95%. Хотя это выглядит менее мизантропично. Однако, вероятность встречи инакомыслящего идиота с точки зрения отдельного их представителявсегда стремится к 100%, и лишь квантовомеханическая неопределённость наблюдаемых уменьшает ожидание до 95%.

Аноним Срд 11 Дек 2013 12:34:46  #321 №58776972 

>>58766346
> Интересный пример — Финляндия. Всеми признано, что там сейчас лучшая система образования в Европе. Так вот, они как раз взяли наши советские программы и принципы образования.
>советские программы и принципы образования.
Взлолировал. Пиздуй на рентв с такими пастами, жуёбок.

Аноним Срд 11 Дек 2013 12:44:04  #322 №58777234 

>>58766346
Почему так модно в последнее время считать всех идиотами? Кстати не только считать но и относится к ним с большой агрессией? С чего вы вообще это взяли? Как часто общаетесь с живыми людьми?
>>58774622
Квантовомеханическая неопределённость по отношению к социуму, ты понимаешь что ты поехавший? КМ неопределённость применяется лишь на малых расстояниях и при больших энергиях.

Аноним Срд 11 Дек 2013 12:50:13  #323 №58777437 
1386751813291.jpg

>>58769209
В нашей шараге баба-психолог рассказывала про астрологию. Говорит, что как притяжение луны влияется на приливы и отливы, так и притяжение светил влияет на людей. Мол мы все состоим из воды и под действием притяжения меняется кристаллическая решетка.

Аноним Срд 11 Дек 2013 12:52:34  #324 №58777532 

>>58777437Вопрос о луне

Нью-Йорк, 1 марта 1924 г.

(Был задан вопрос о Луне)

Ответ: Луна - большой враг человека. Мы служим Луне. Прошлый раз вы слышали о кундабуфере; кундабуфер и есть представитель Луны на Земле. Мы подобны овцам Луны; она чистит их, кормит и стрижет, сохраняя для своих целей; а когда проголодается, она убивает их в огромном количестве. Вся органическая жизнь работает на Луну.

Пассивный человек служит инволюции, активный - эволюции. Вы должны выбирать. Но тут есть принцип: на одной стороне, на одной службе вы можете надеяться на карьеру, а на другой получаете много, но без карьеры. В обоих случаях мы становимся рабами, потому что в обоих случаях у нас появляется хозяин. Внутри себя мы также имеем Луну, Солнце и т.д. Мы являем собой целую систему. Если вы знаете, что такое ваша Луна, что она делает, вы можете понять и космос...

Аноним Срд 11 Дек 2013 13:00:30  #325 №58777820 

>>58768936
>Лем
>Стругацкие

Тётя читает книги для подростков? Почему она тогда берётся рассуждать о том, у кого детское мышление, а у кого нет?
Вообще очень характерно то, что с своих теорий он быстренько скатилась в политику, верный признак всезнайки-пиздабола. Справедливости ради, говорит вещи интересные, но по слишком узнаваемой схеме "вот раньше было лучше". Критикует мышление других людей на основании того, что они неправильно, по её мнению, проходят нематематический тест (!). Хуйня всё это гуманитарная. Вот если бы она дала пруфы и результаты исследования, что такой-то образ мышления двигает человечество вперёд, а вот такой откатывает назад, то ещё куда ни шло. А то пиздит что при совке все были умные, только вот даже телевизора нормального изобрести не могли, не говоря уже обо всём остальном.

Аноним Срд 11 Дек 2013 13:06:07  #326 №58778032 

>>58768240
9. почему 1?

А вот вам посложнее.
2+2х2=?

Аноним Срд 11 Дек 2013 13:11:21  #327 №58778218 

>>58777532
Поподробнее, пожалуйста.

Аноним Срд 11 Дек 2013 13:12:47  #328 №58778272 

>>58778032
2+2х2=2+2х2

Аноним Срд 11 Дек 2013 13:22:00  #329 №58778627 

>>58777820
> Вот если бы она дала пруфы и результаты исследования, что такой-то образ мышления двигает человечество вперёд, а вот такой откатывает назад, то ещё куда ни шло
Тут и без исследований всем понятно, что человечество двигают философы, а физики напрасно коптят небо.

Аноним Срд 11 Дек 2013 13:24:34  #330 №58778739 

>>58771587
но он же кукла.
Да ты СКРЫТЫЙ КУКЛОЕБ?

Аноним Срд 11 Дек 2013 13:32:29  #331 №58779088 

>>58774622
Идиот - это медицинский термин.

Cамая глубокая степень олигофрении (умственной отсталости), в тяжёлой форме характеризующаяся почти полным отсутствием речи и мышления.

КУР меньше 30.

Имбецилы умнее идиотов. КУР 30-50.
Дебилы умнее имбецилов. КУР 50-80.
После дебилов идет норма 80-∞, плавно переходящая в интеллектуальный GOD TIER без категорий.

Аноним Срд 11 Дек 2013 13:38:19  #332 №58779325 

>>58779088
Мне так кажется, что анонов дебилов и ниже, по твоей стратиграфии, тут нет. Только озлобленные да школьники ярлыки друг другу навешивают.
Я у мамы совсем оптимист?

Аноним Срд 11 Дек 2013 13:39:09  #333 №58779358 
1386754749734.jpg

>>58766346
>>58766363
У шлюхи уже старческий маразм начинается, скоро будет про НЛО и потусторонний мир затирать. Схуяли я должен доверять её информации, особенно в стиле "КОкоко раньше было лучше"?
мимо-умная-корзиночка

Аноним Срд 11 Дек 2013 13:41:58  #334 №58779473 

>>58779325
Тут даже имбецилов быть не может.

азаза ты идиот я тибя затралил лалка - имбецила и на это не хватит.

Аноним Срд 11 Дек 2013 13:42:04  #335 №58779482 

>>58779325
Ага, тут одна элита сидит, из топовых вузов двачуют, с лекций по физике. При том, что к экзаменам ниготовились почти.
Да что я распинаюсь, просто создай IQ-тред, набегут мимокрокинестарались с IQ>130.

Аноним Срд 11 Дек 2013 13:43:26  #336 №58779548 

>>58779358
У меня 139, но только на русифицированном айзенке.
Для английского словарный запас маловат.

Дай линк на свою писькомерку.

Аноним Срд 11 Дек 2013 13:44:17  #337 №58779581 

>>58779482
>>58779548
Надо же. Я нечаянно подтвердил твою гипотезу.

Аноним Срд 11 Дек 2013 13:44:25  #338 №58779587 

>>58779482
Ну так правильно, раньше двач не был столь раковым филиалом вбыдлятни, и аудитория состояла из социофобов, омег, задротов и наркоманов, в основном.

Аноним Срд 11 Дек 2013 13:45:12  #339 №58779622 

>>58779482
Да какая элита. С 80 и выше тут сидят. Это НОРМА.

Аноним Срд 11 Дек 2013 13:46:42  #340 №58779690 

>>58779587
Думаешь, у этих социальных групп средний КУР выше?
Мамку тваю ипал лалка.

Аноним Срд 11 Дек 2013 13:48:20  #341 №58779748 

>>58779622
Норма где-то в окрестностях 100, ты попробуй тред-то создать, увидишь целую кучу гениев, проходящих такие тестики раз в неделю.

sageАноним Срд 11 Дек 2013 13:49:31  #342 №58779790 

>>58766346
Ну так заебись же, чем больше долбоёбов кругом, тем проще умному их объебать и жить в шоколаде. Надо извлекать профит из деградирования мира, хуле, поделать с этим ничего нельзя один хуй.

Аноним Срд 11 Дек 2013 13:50:02  #343 №58779814 

>>58779690
Конечно выше, в то время, когда социобляди дрочат качалочку, клубики, тяночек, занимаются прочей бесполезной хуетой, омега развивает полезные скиллы. И даже не суть важно какие, важно что мозги работают.

Аноним Срд 11 Дек 2013 13:50:45  #344 №58779850 

>>58779748
Ты так говоришь, как будто дебилов с iq<110 там нет.

sageАноним Срд 11 Дек 2013 13:51:04  #345 №58779867 

>>58766346
Пусть остаются глупыми и жалкими. Легче управлять.

Аноним Срд 11 Дек 2013 13:51:44  #346 №58779903 

>>58779748
1. 80 - самая далекая окрестность ста, которая еще в районе нормы.
2. Вот прошел ты этот тест. И у тебя, скажем, 92. Ты это запостишь, или сделаешь вид, что вообще не тестировался? Только честно.

Аноним Срд 11 Дек 2013 13:56:24  #347 №58780126 

>>58779903
>>58779850
>>58779748
>>58779690
>>58779325
>>58779622
>>58779482

>>58779850
Посоны, я сейчас перепроверил и понял, что немного обосрался с классификацией.
Норма начинается не с 80, а с 70.

>>58779088-кун

Аноним Срд 11 Дек 2013 13:57:22  #348 №58780170 

>>58779903
1. Йеп. Но это нижняя граница нормы.
2. Я не знаю, зачем их вообще постить.

Аноним Срд 11 Дек 2013 13:58:05  #349 №58780202 

>>58779850
Дебилы начинаются с iq<70. Все что выше - норма.

sageАноним Срд 11 Дек 2013 13:59:49  #350 №58780289 

>>58779814
>омега развивает полезные скиллы.
Это какие? Сидение на дваче, хиккачество, боязнь всего и вся, социальтная деградация? Охуительные скиллы, потом такие корзиночки попадают в общество и оно их перемалывает, вместе с этими "полезными" скиллами. Уж лучше быть социоблядком, чем омегой.

Аноним Срд 11 Дек 2013 14:05:54  #351 №58780547 

>>58780289
Вот поэтому ты и дегенерат ебучий. жопу зашей, быдло

Аноним Срд 11 Дек 2013 14:18:32  #352 №58781173 

>>58780547
Но тот анон прав. Какие еще полезные скиллы? Пока одноклассники гуляли, ты в героев играл, красноглазый?

Аноним Срд 11 Дек 2013 14:27:57  #353 №58781636 

>>58781173
Я математику задрачивал - заочная школа и просто задачки. Конплуктора не было. Хикка, омега, девственник. Зато квартиру на свои купил.

Аноним Срд 11 Дек 2013 14:39:10  #354 №58782141 

>>58766346
Суть пасты:
ТЫ ДОЛБОЕБ, ПОТОМУ ЧТО РОДИЛСЯ У РОДИТЕЛЕЙ ПРОЛЕТАРИЕВ С ПЛОХИМИ ГЕНАМИ, ПОТОМУ ЧТО УЧИЛСЯ В МУХОСРАНСКОЙ ШКОЛЕ А ПОТОМ В МУХОСРАНСКОМ УНИВЕРЕ НЕ НА ПРОГРАММИСТА (которые работают в сша кучами), ТЕПЕРЬ ТЫ ОБРЕЧЕН ДО КОНЦА СВОИХ ДНЕЙ ДРОЧИТЬ ГАЙКУ НА ЗАВОДЕ ЗА 10К, ПОТОМУ ЧТО РАШКЕ НЕ НУЖНЫ УМНЫЕ ЛЮДИ
Спасибо, я и так это знал.

Аноним Срд 11 Дек 2013 14:58:55  #355 №58783070 

>>58779358
После 100 раз тренировки любой дебил наберет столько же.

Аноним Срд 11 Дек 2013 15:00:36  #356 №58783165 
1386759636022.jpg

>>58782141
Спасибо, анон, верю тебе на слово.

Аноним Срд 11 Дек 2013 15:03:40  #357 №58783306 

>>58782141
Чому же? У меня было природоведение, ботаника, зоология, анотомия и тд. Никаких окружающих миров и презентаций на физике.

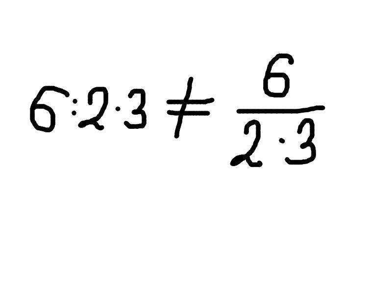
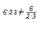
comments powered by Disqus