Сохранен 184
https://2ch.su/b/res/311760545.html
К сожалению, значительная часть сохранённых до 2024 г. изображений и видео была потеряна (подробности случившегося). Мы призываем всех неравнодушных помочь нам с восстановлением утраченного контента!

ТЕОРИЯ ШАРООБРАЗНОЙ ЗЕМЛИ ТЕРПИТ ОЧЕРЕДНОЙ КРАХ Если так называемая Луна влияет на приливы и отливы

 Аноним 16/10/24 Срд 18:47:26 #1 №311760545 
image.png
ТЕОРИЯ ШАРООБРАЗНОЙ ЗЕМЛИ ТЕРПИТ ОЧЕРЕДНОЙ КРАХ

Если так называемая Луна влияет на приливы и отливы целых океанов, то почему капля воды на столе не притягивается к луне во время полнолуния? Ответьте, промытые дауны.
Аноним 16/10/24 Срд 18:48:37 #2 №311760584 
>>311760545 (OP)
Тред про AirBnB
@
Анон, как не стыдно в 10 раз постить бессмысленный тред

Ребят, земля плоская, ахаха
@
ОМ НОМ НОМ
Аноним 16/10/24 Срд 18:48:43 #3 №311760588 
>>311760545 (OP)
Притягивается, но в масштабе капли этого почти незаметно
Аноним 16/10/24 Срд 18:52:54 #4 №311760739 
>>311760588
Очень интересно, то есть, сидя на берегу океана, я буду наблюдать, как океан вытягвается на сотни метров, но капелька на моём столе будет стоять на месте. Не находишь ли ты в этом логического тупика?
Аноним 16/10/24 Срд 18:55:41 #5 №311760856 
>>311760739
Для океана сотни метров это доли процента кривизны, ты увидишь доли процента кривизны капли?
Аноним 16/10/24 Срд 19:20:25 #6 №311761687 
>>311760856
1000 килотонн капелек притягиваются, а 0.01 грамм капельки не притягивается. Что за бред блять?
Аноним 16/10/24 Срд 19:26:21 #7 №311761943 
>>311761687
Схуёв ты решил, что не притягивается, даун?
sage[mailto:sage] Аноним 16/10/24 Срд 19:29:20 #8 №311762050 
>>311760545 (OP)
Масса океана несравнимо больше массы капли.
покормил
Аноним 16/10/24 Срд 19:30:57 #9 №311762110 
>>311761687
Схуев ты решил что мир работает по твоим маняфантазиям? И схуев не притягивается то?
sage[mailto:sage] Аноним 16/10/24 Срд 19:31:56 #10 №311762145 
>>311760545 (OP)
Почему пылесос не может засосать иголку, но моментально съедает носок?
Аноним 16/10/24 Срд 19:32:42 #11 №311762180 
17188046945750.mp4
Не пытайся, анон.
Никто тут из отстаивающих официальную позицию новуки никогда лично не проверял ни одного из этих новучных фактов. Они просто повторяют за другими и верят, вот и всё.
Аноним 16/10/24 Срд 19:34:12 #12 №311762248 
>>311761687
Ебланище. Сила притяжения ПРЯМО ПРОПОРЦИОНАЛЬНА массе.
sage[mailto:sage] Аноним 16/10/24 Срд 19:35:35 #13 №311762294 
>>311762180
И сколько ты проверил фактов?
Аноним 16/10/24 Срд 19:37:56 #14 №311762389 
>>311762294
Так я не новуко\боговер, я не верю во что-то только потому что это популярно.
Аноним 16/10/24 Срд 19:40:58 #15 №311762494 
>>311762248
То есть, капельки воды в составе океана весят больше, чем капелька воды на столе? Или океан - это отдельное тело? Ответь, новуковерун.
sage[mailto:sage] Аноним 16/10/24 Срд 19:42:34 #16 №311762560 
>>311762389
Если ты не проверил ни одного факта, ты тоже верун.
Аноним 16/10/24 Срд 19:50:02 #17 №311762812 
>>311762494
Да много капелек весят больше чем одна, вопросы?
Аноним 16/10/24 Срд 19:52:22 #18 №311762899 
Оп, скинь фото края земли. Хули плоскоебы туда не сходят?
Аноним 16/10/24 Срд 19:54:22 #19 №311762972 
>>311762180
Потому что если он скажет правду его в ГУЛАГ отправят
Аноним 16/10/24 Срд 20:07:19 #20 №311763467 
clip
>>311760545 (OP)
Пиздец образование в капитализме деградировало нахуй
Это реально полный пиздец
Аноним 16/10/24 Срд 20:08:48 #21 №311763520 DELETED
>>311763467
Комиглист иди штаны стирк-стирк
Аноним 16/10/24 Срд 20:09:37 #22 №311763562 
>>311760545 (OP)
Притягивается. Просто ты слепой и не видишь.
Аноним 16/10/24 Срд 20:25:34 #23 №311764135 
>>311762899
Игнорируем неудобные вопросы?
sage[mailto:sage] Аноним 16/10/24 Срд 20:31:27 #24 №311764339 
>>311760545 (OP)
Ну сила притяжения земли сильнее чем луны, капля притягивается просто слишком слабо, что это визуально не заметно. Но измеряя на нано-уровне капля реально притягивается к луне
Аноним 16/10/24 Срд 20:34:37 #25 №311764447 
>>311763467
Водичку зарядил?
Аноним 16/10/24 Срд 20:45:58 #26 №311764822 
Обоссали эту маню миллионы раз, треды объективной морали были интереснее.
Аноним 16/10/24 Срд 20:49:09 #27 №311764930 
>>311760545 (OP)
Так она притягивает, просто чут чут 🤏🤏🤏
Аноним 16/10/24 Срд 20:49:47 #28 №311764952 
>>311760545 (OP)
Может ли робот илона маска написать симфонию?
Аноним 16/10/24 Срд 20:52:23 #29 №311765046 
>>311760545 (OP)
притягиваются. у меня все капли летят в сторону луны.
Аноним 16/10/24 Срд 20:54:32 #30 №311765118 
>>311760545 (OP)
слушай, даун, мой ответ:

Потому что приливы-отливы НЕ ЗАВИСЯТ ОТ ЛУНЫ, это миф, заблуждение. Есть места, где приливы-отливы сменяются через 4-6-8-10-12 часов, вообще не завися от места положения Луны и времени суток. Природа приливов-отливов сложна и до конца неизучена. Это и колебания уровня океана как капли в невесомости, и ветра-течения, и гравитация; форма дна и берега и ещё непонятно что. Ну, и Луна, наверное, как-то должна влиять.. Но предсказать и рассчитать приливы-отливы Луна никак не позволяет. Схемы (графики) приливов-отливов составляются экспериментально для каждой местности. Даже в длизко расположенных местах в одном месте может быть прилив, а в другом отлив.
Аноним 16/10/24 Срд 20:54:35 #31 №311765122 
>>311760545 (OP)
Почему, когда происходит затмение, то тень земли всегда круглая? Ведь если земля плоская, то и тень земли должна быть овальной
Аноним 16/10/24 Срд 21:14:30 #32 №311765826 
>>311765118
не могу нагуглить хорошей статьи по теме.
https://smart-lab.ru/blog/498111.php
sage[mailto:sage] Аноним 16/10/24 Срд 21:18:51 #33 №311765983 
>>311762972
Расстреляют вместе с семьёй
Аноним 16/10/24 Срд 21:19:05 #34 №311765988 
image.png
>>311762899
Держи. Ебало?
Аноним 16/10/24 Срд 21:22:03 #35 №311766088 
>>311765988
Фото края где ебалушка? Совсем осатанел от стекломоя пидорашка?
Аноним 16/10/24 Срд 21:23:59 #36 №311766141 
>>311766088
Так ты русский же
Аноним 16/10/24 Срд 21:24:10 #37 №311766147 
>>311760739
Уровень океана. Это раз. В капельке большое влияние оказывают силы поверхностного натяжения. Это два. Ты пидор. Это три. Твоя батя тоже. Это четыре.
Аноним 16/10/24 Срд 21:25:01 #38 №311766182 
>>311765988
а купол где? Почему его не видно? За миллиарды лет на нём должен налипнуть километровый слой пыли, грязи и прочего говна.
Аноним 16/10/24 Срд 21:26:52 #39 №311766237 
>>311763467
Уровень образования плюс-минус тот же. А уровень троллинга взлетел в небеса. Правда потом ударился о небесный свод и чуть отскочил обратно, но остаётся высоким.
Аноним 16/10/24 Срд 21:27:50 #40 №311766273 
>>311765118
Охуеть неудобный пост для умников в треде
Инфу подтверждаю, кстати
Аноним 16/10/24 Срд 21:29:57 #41 №311766349 
>>311766182
>а купол где?
Наверху.
>Почему его не видно?
Он прозрачный.
>За миллиарды лет на нём должен налипнуть километровый слой пыли, грязи и прочего говна.
Нет. Он обладает пыле- и влагоотталкивающими свойствами.
Аноним 16/10/24 Срд 21:32:42 #42 №311766451 
>>311766273
Ничего неудобного. Просто приливы зависят не только от Луны. Ещё Солнце, ветер и морские течения, как минимум.
sage[mailto:sage] Аноним 16/10/24 Срд 21:34:11 #43 №311766503 
>>311765988
Это не край Земли, а ледник.
Аноним 16/10/24 Срд 21:36:05 #44 №311766565 
ОП, кстати, не задал самый неудобный вопрос по теме. ОП? Ты тут?
Аноним 16/10/24 Срд 21:37:23 #45 №311766618 
>>311765988
Сдулся болезней? Это кусок льда. Где край-то? Что там под ним? Слоны и черепаха? А они на чем стоят?
Аноним 16/10/24 Срд 21:39:43 #46 №311766701 
>>311766349
кукарки о плоской Земле слишком фантастичны:
-как падают кометы, метеориты, болиды?
-как спутники летят за пределы солнечной системы, к марсу?
-все ли планеты плоские, как Земля или только Земля? Видно же вращение Солнца и других планет
-смена суток, времён года, затмения и фаза Луны - это необъяснимое чудо для плоскоземельцев
-как работают "голограммы"? Чем управляются, питаются?
-движения солца над плоской Землёй - полный бред, т.к. линейные размеры Солца не меняются при проходе над небом
-разные созвездия и направление вращения для разных полушарий необъяснимо для плокоземельцев
-и.т.п. - многие десятки аргументов.

на месте плоскоземельцев надо говорить, что Земля шар, но в 100 раз больше официального размера, что на нём есть "ноды". И тогда и видимая из космоса плоскость и купол и другие земли за куполом.. возможны. Движения Солца и Луны остаются традиционными.
Аноним 16/10/24 Срд 21:41:16 #47 №311766764 
>>311766701
Жуёбер. Тебя про приливы спрашивают. Хули ты умничаешь не по делу? Добить тебя ультой?
Аноним 16/10/24 Срд 21:41:19 #48 №311766767 
>>311766451
нет, Луна не может объяснить приливы днём (много где) и их смену раз в 4 часа (а не 2 раза в сутки). В некоторых местах вообще нет приливов-отливов, а быть должны, если бы зависели от Луны.
Аноним 16/10/24 Срд 21:42:34 #49 №311766813 
>>311766147
Я срал на ебальник твоему умершему дедушке - это пять.
Аноним 16/10/24 Срд 21:44:25 #50 №311766886 
>>311766618
>Это кусок льда
Тыскозал?
>Где край-то?
На фото
>Что там под ним?
Коцмоц ваш ебучий
>Слоны и черепаха?
Пердёж спок
Аноним 16/10/24 Срд 21:44:50 #51 №311766903 
>>311766767
Луна с Солнцем могут. Солнце вызывает свой цикл прилив-отлив, а Луна свой. Если Солнечный прилив совпадает с Лунным отливом то имеем интерференцию и ровный уровень моря. И наоборот.
>>311766813
Пиздабол. Мать твоя — неплохая женщина. Это шесть.
Аноним 16/10/24 Срд 21:45:39 #52 №311766929 
>>311762180
>верят
Почему ты веришь, что GPS работает?
Аноним 16/10/24 Срд 21:51:02 #53 №311767124 
>>311766929
Каким образом жыписэ подтверждает теорию шарообразной PLANEты?
Аноним 16/10/24 Срд 21:52:29 #54 №311767158 
изображение.png
ОП жопа ленивая, матчасти не знающая.
Прилив со стороны Луны понятен. А какого хуя прилив забыл с противоположной стороны?

Вот тут сейчас пердаки полыхнут.

Вы пока думайте, а я пойду поем.
Аноним 16/10/24 Срд 21:52:43 #55 №311767169 
>>311766886
> пун-среньк
Это все? Плоскоеб просто слился от такого простого вопроса? Ну хотя бы сказал, что край земли засекречен и его военные/жиды/инопланетяне охраняют и не пускают. Лох, пидр.
Аноним 16/10/24 Срд 21:58:34 #56 №311767365 
>>311767124
Почему ты веришь, что GPS работает?
Аноним 16/10/24 Срд 22:18:13 #57 №311768107 
>>311767158
ОП, бери на вооружение. У них нет ответа.
Аноним 16/10/24 Срд 22:40:53 #58 №311768949 
>>311768107
Сила инерции. Если что-то выпячивается справа, то в силу необходимости оставить планету на той же орбите надо выпятить что-то и слева, подобно тому, как канатоходец не может вытянуть в сторону только правую руку и удержаться на канате. Распиши лагранжиан канатоходца на канате и сам увидишь, там сразу вылезет этот влевовыпячивабельный член.
sage[mailto:sage] Аноним 16/10/24 Срд 22:45:59 #59 №311769119 
>>311760545 (OP)
Да заебал семенить уже, долбаеб плоскоземельщик. Нехуй было уроки физики/химии/географии проебывать. Тогда бы такими тупыми вопросами не задавался.
Аноним 16/10/24 Срд 22:46:56 #60 №311769161 
>>311768949
> в силу необходимости оставить планету на той же орбите надо
Не надо. Пусть сходит. Или ты имеешь в виду ЗОГ? Им невыгоден сход с орбиты и они секретными насосами качают воду?
Аноним 16/10/24 Срд 22:54:04 #61 №311769418 
>>311769119
>заебал семенить уже, долбаеб
Оп давно уже ничего не пишет.
>Нехуй было уроки физики/химии/географии проебывать.
Ты ведь не проёбывал? Откуда приливы на стороне обратной от Луны?
Аноним 16/10/24 Срд 23:00:14 #62 №311769639 
https://ru.m.wikipedia.org/wiki/%D0%9F%D1%80%D0%B8%D0%BB%D0%B8%D0%B2_%D0%B8_%D0%BE%D1%82%D0%BB%D0%B8%D0%B2
Аноним 16/10/24 Срд 23:02:37 #63 №311769717 
>>311769639
Кто-нибудь, допишите там, что приливы объясняются тем фактом, что Земля живая и это её дыхание.
Аноним 16/10/24 Срд 23:06:06 #64 №311769841 
ОП, мне кажется, я прозрел. Дай знак.
Аноним 16/10/24 Срд 23:08:58 #65 №311769930 
>>311769161
Ну ни хрена себе! Если она сойдёт, это ж новый год никогда не наступит. В лучшем случае перейдём на орбиту вокруг центра Галактики и будем отмечать раз в четверть лярда лет. Оно тебе надо?
Аноним 16/10/24 Срд 23:09:07 #66 №311769933 
>>311762180
Я проверял.
Аноним 16/10/24 Срд 23:12:53 #67 №311770062 
>>311769930
Новый год никуда не денется. Солнце же продолжит вокруг Земли вращаться.
Аноним 16/10/24 Срд 23:14:06 #68 №311770108 
>>311766701
>как падают кометы, метеориты, болиды?
Куски купола отваливаются или ракеты из соседних ячеек, или тупо визуальное явление на куполе
>>311766701
>как спутники летят за пределы солнечной системы, к марсу?
Никак, это все канпутерная графика. Заметь запуск спутника вэба совпал с созданием нейросетей генерирующих картинки. Сам посмотри, все фото вэба явно сделаны нейронной.
>>311766701
>все ли планеты плоские, как Земля или только Земля? Видно же вращение Солнца и других планет
Выкинь нахуй из головы что огоньки в небе называемые планетами являются чем то кроме ебучих огоньков, это все манятеории. По факту это блуждающие звёзды, которые перемещаются не вокруг общего центра для всех других звёзд. Вращение солнца мы видим как приход и уход солнца.>>311766701
>смена суток, времён года, затмения и фаза Луны - это необъяснимое чудо для плоскоземельцев
Солнце над нами - день, ушло дальше и света меньше - вечер, никаких противоречий. Солнце смещается, иногда оно ближе к нам проходит, у нас лето, иногда дальше, у нас зима. Также и с другим так называемым полушарием. Насчёт луны не скажу, сколько изучал вопрос, хуй пойми что такое луна. Насчёт затмений тут на самом деле интересно что солнце ровно такого же размера что и луна. Не является ли луна таким же объектом как солнце, но которое не может полностью включится, от чего постоянно перезагружается (фазы луны).
>>311766701
>как работают "голограммы"? Чем управляются, питаются?
Тем же что и солнце и луна. Некий источник энергии, от которого и магнитное поле вокруг земли. Находится в центре нашего участка, известна как рупис нигра. >>311766701
>движения солца над плоской Землёй - полный бред, т.к. линейные размеры Солца не меняются при проходе над небом
Меняется, ты посмотри на солнце через маску сварщика или в день когда смог дым, я вот наблюдал изменение размера солнце, когда у меня горел лес в городе.
>>311766701
>разные созвездия и направление вращения для разных полушарий необъяснимо для плокоземельцев
А в чем проблема? Разные голограмки на куполе.
>>311766701
>-и.т.п. - многие десятки аргументов
Расскажи лучше почему солнце оставляет под собой явный спотлайт света на видео любительских запусков стратостатов. Почему лучи в облаках идут в разные стороны, а не строго вниз, солнце же далеко, лучи не могут лететь не строго вниз при таких расстояниях. Объясни почему во всех практических сферах земля берется за плоскость. Артиллерия, ЖД, мосты, везде не учитывается кривизна земли. Почему нет ни одного адекватного фото земли, везде один голимый Фотошоп с облаками повторяющимися? Почему в космосе космонавты на МКС все 50+ возрастом и жрут булки крошишаися и почему у них там такой беспорядок?
Почему закрыт доступ в Антарктиду и за забор Австралии. То есть у меня тут на севере изи можно учипиздрить в тайгу где -40 -50 как нехуй делать и слово никто не скажет, а в Антарктиду низя. Почему в Африке можно куда угодно лезть , где сожрут животные, а в Австралии низя, ты чё там собаки динго и кролики.
Аноним 16/10/24 Срд 23:17:51 #69 №311770253 
>>311770062
Да ни шиша. Ты же хочешь, чтобы на нём тоже выпячивания не компенсировались? Вот оно и улетит нахрен. Так что приливы на противоположной от Луны стороны Земли создаёт самая могущественная сила во Вселенной - необходимость встречать новый год чаще раза в 250 000 000 лет.
sage[mailto:sage] Аноним 16/10/24 Срд 23:21:53 #70 №311770442 
>>311760545 (OP)
Ты вчера съебал из своего треда, чтобы сегодня опять опозориться по новой?
Аноним 16/10/24 Срд 23:23:56 #71 №311770504 
>>311767365
Я не верю.
Навигатор показывает где я в точности до метра. Значит жпс работает.
sage[mailto:sage] Аноним 16/10/24 Срд 23:25:22 #72 №311770552 
>>311770108
>рупис нигра
Пенис негра же. Пиздец вы жирно троллить начали.
Аноним 16/10/24 Срд 23:26:25 #73 №311770593 
опа двачую, поссал и надрочил на ебало всем наукоботам, вы не люди.
Аноним 16/10/24 Срд 23:34:44 #74 №311770898 
>>311770504
Еблан. Триангуляция по сигналам базовых станций. Технология ещё в начале прошлого века появилась.
>>311770552
Пинус Нигра. Когда же вы научитесь?
Аноним 16/10/24 Срд 23:36:33 #75 №311770956 
>>311770253
>Ты же хочешь, чтобы на нём тоже выпячивания не компенсировались?
Дурень. Чему там выпячиваться? На Солнце нет воды.
Аноним 17/10/24 Чтв 00:02:08 #76 №311771780 
ОП, блин, ты тут?
Аноним OP 17/10/24 Чтв 01:58:43 #77 №311775282 
>>311771780
Да, я на плоскости, как обычно. А ты где? На шаре своём?
Аноним 17/10/24 Чтв 06:10:32 #78 №311779233 
>>311770956
Фанте или севенапу, я хуй знает, что там.
Аноним 17/10/24 Чтв 06:55:19 #79 №311779715 
>>311775282
ОП, я на шаре, но я прозрел. Мне кажется, я понял твой истинный замысел. Они реально шароёбы.
Аноним 17/10/24 Чтв 07:04:32 #80 №311779823 
>>311760545 (OP)
Так что та с северным крестом?
Аноним 17/10/24 Чтв 08:29:36 #81 №311780999 
17291047504570.png
Пысаем за шиворот наукоботам.
Откуда прилив на стороне, противоположной Луне? Там же самый жёсткий отлив должен быть, ведь Луна всю воду вправо стянуть должна.

Ебать вы тупые.
Аноним 17/10/24 Чтв 08:35:20 #82 №311781107 
>>311760545 (OP)
С чего приливы и отливы на плоской земле?
Аноним 17/10/24 Чтв 08:35:57 #83 №311781123 
>>311760588
Логичней чтоб она вдавливала воду, а не наоборот, лолка
Аноним 17/10/24 Чтв 08:39:46 #84 №311781207 
>>311781107
Генерация воды и ее распад на О2 и Водород.
Аноним 17/10/24 Чтв 08:41:41 #85 №311781241 
>>311764339
>измеряя на нано-уровне капля реально притягивается к луне

Можно ссылку, пожалуйста? Кто, когда и как впервые измерил на "нано-уровне"?

можешь не искать, не найдëшь. Никто никогда этого не измерял, притяжение капель к Луне отсутствует, это псевдонаучный миф, циклы приливов не совпадают с периодами обращения Луны.
Аноним 17/10/24 Чтв 08:41:54 #86 №311781247 
>>311780999
Сила реакции опоры вбил в гугл быстро.
Аноним 17/10/24 Чтв 08:54:59 #87 №311781543 
>>311781247
Какой опоры, даун? Портфель проверь и дневник заполни. Наукобот номер раз детектед.
Как же у вас печь будет, когда вы ответ узнаете.
Аноним 17/10/24 Чтв 09:02:13 #88 №311781705 
>>311781543
Как же толсто...
Аноним 17/10/24 Чтв 09:08:42 #89 №311781842 
>>311781241
> это псевдонаучный миф, циклы приливов не совпадают с периодами обращения Луны.
Покажи данные
Аноним 17/10/24 Чтв 09:12:00 #90 №311781935 
изображение.png
>>311781543
В этом и состоит замысел ОПа. Наукобот настолько туп, что даже не осознаёт этого. Ни один шароёб в треде до сих пор не привёл правильного объяснения прилива на обратной от Луны стороне Земли.
>>311781842
>Покажи данные
Это факт объективной реальности. Приливы зависят от множества факторов, а не от одной лишь Луны.
Аноним 17/10/24 Чтв 09:15:51 #91 №311782014 
>>311781842
Легко и с радостью, но сначала ты покажи данные по изначальному утверждению, с которого началась эта ветка постов:

>измеряя на нано-уровне капля реально притягивается к луне

Кто, как и когда это измерил?
Аноним 17/10/24 Чтв 09:20:38 #92 №311782124 
image.png
>>311760545 (OP)
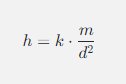
Влияние Луны на приливы и отливы океанов связано с гравитационным притяжением, которое действует на большие массы воды. Океаны имеют огромный объем и площадь, что позволяет Луне создавать заметные изменения уровня воды. Однако, когда речь идет о капле воды на столе, ее масса слишком мала, чтобы гравитационное притяжение Луны оказало на нее заметное влияние.

Кроме того, приливы и отливы происходят из-за разности гравитационного притяжения Луны на разные части Земли. Вода в океанах подвержена этим различиям, что приводит к образованию приливных волн. На каплю воды на столе такое влияние практически не распространяется, так как она не находится в свободном состоянии и не может свободно перемещаться, как вода в океане. Поэтому капля воды на столе не притягивается к Луне, и мы не наблюдаем этого эффекта.

Помимо Закона всемирного тяготения существует формула разницы в гравитационном притяжении Луны на разные участки Земли вызывающая приливы. Эта разница может быть описана с помощью формулы, учитывающей высоту прилива
h (пикрил):

где:
k - коэффициент, зависящий от геометрии и других факторов,
m - масса Луны,
d - расстояние от Луны до точки на Земле.
Аноним 17/10/24 Чтв 09:23:11 #93 №311782187 
>>311781935
От гравитации солнца тоже зависят и че

Покажи что они не взаимосвязаны
Аноним 17/10/24 Чтв 09:24:22 #94 №311782219 
>>311770108
>>Куски купола отваливаются или ракеты из соседних ячеек, или тупо визуальное явление на куполе
эти куски до земли долетают, по изотопному составу видно внеземное происхождение
>>Никак, это все канпутерная графика
один спутник вылетел за пределы солнечной системы
>> Вращение солнца мы видим как приход и уход солнца
через светофильтры на солце видны пятна и вспышки. И видно, как они смещаются на самом солнце, т.е. оно вращается! Так же, как и планеты: венера, сатурн
>>рупис нигра
так не пойдёт. Нужны измерения плотности энергии возле купола, аномалии при работе голограммы, точки проецирования этих голограмм (т.е места расположения проекторов). Нужно полное научное обоснование: как это работает и зачем нужно
>>Меняется, ты посмотри на солнце через маску сварщика или в день когда смог дым, я вот наблюдал
хуй ты наблюдал! На ютубе есть видео с точными измерениями: угловой размер солнца в зените и на восходе/закате одинаков. Это говорит о том, что солце ОЧЕНЬ далеко от земли. Поэтому кажущееся расхождение лучей - это бред (иллюзия). Расчёт расстояния от земли до солца с помощью кривих лучей не выдерживает критики (там до 15тысяч км получается, согласно плосковерам?)
>>А в чем проблема? Разные голограмки на куполе.
проблема в том, что на плоской земле купол един для всех полушарий, т.е. должно быть его вращение в одну сторону, одни созвездия должны быть видны с любой точки!
>>Расскажи лучше почему..
а вот хуй знает! Нет у меня точных ответов на эти вопросы. Попахивает масонским заговором, попыткой что-то спрятать. Может, человечество вообще не было в космосе (не могут преодолеть разиационный пояс или переоблучаются в космосе - там за бортом радиация 3-5рентген и стенки корабля не могут защитить от такой радиации) и летают где-то в стратосфере. Но эти вопросы никак не ставят под сомнение шарообразность земли. Сейчас миллиардеров тысячи. Ничто им не мешает на частной яхте обогнуть эту Австралию и в телескопы зафоткать купол. Беспилотники летят на 30-50км: если бы хотели заснять, что за забором - уже бы давно засняли и выложили.
Аноним 17/10/24 Чтв 09:24:33 #95 №311782224 
image.png
>>311782124
Забыл еще добавить:
Формула приливной силы:

где:

Ft — приливная сила,
M — масса Луны,
m — масса воды (например, в океане),
r — расстояние от Луны до центра Земли.

Спасибо MATLAB
Аноним 17/10/24 Чтв 09:25:48 #96 №311782255 
>>311782124
>>311782224
Слишком сложно для двачера, двачер это же колхозное ебло работающее на доставке яндекса или грузчиком на складе
Аноним 17/10/24 Чтв 09:26:34 #97 №311782280 
>>311781935
Не осознаёт чего? Мне поверить, что силы реакции опоры на самом деле не существует? Заметь, что я ничего про шарообразность земли даже не говорил, речь идёт строго о силе реакции опоры в конкретной схеме земля-луна на картине. Но почему то независимые мыслители порвались и начали огрызаться.
Аноним 17/10/24 Чтв 09:26:39 #98 №311782282 
image.png
>>311782255
Ну вдруг умный кто будет. Пригодиться.
Аноним 17/10/24 Чтв 09:26:53 #99 №311782286 
>>311782187
Откуда два прилива и два отлива в сутки? У тебя Солнце с Луной по два оборота за 24 часа накручивают? Почему один отлив сильно больше другого? Откуда прилив на обратной от Луны стороне Земли?
Аноним 17/10/24 Чтв 09:27:48 #100 №311782302 
>>311760545 (OP)
>Если так называемая Луна влияет на приливы и отливы целых океанов, то почему капля воды на столе не притягивается к луне во время полнолуния? Ответьте, промытые дауны.
Нагугли формулу силы притяжения между 2 телами и поймёшь
Аноним 17/10/24 Чтв 09:29:11 #101 №311782324 
>>311782286
Ну вот как раз от луны и от солнца
Аноним 17/10/24 Чтв 09:29:22 #102 №311782330 
Фотку края земли уебище, быстро нахуй
Аноним 17/10/24 Чтв 09:32:40 #103 №311782426 
>>311782280
>Не осознаёт чего?
Не осознаёт того, что он не может понять физики процесса образования прилива на обратной стороне Земли.
>Мне поверить, что силы реакции опоры на самом деле не существует?
Существует. Удельное сопротивление медной проволоки тоже существует. Оно тоже влияет на приливы? Ты где-то услышал умное выражение, но не знаешь как его применить на практике и пытаешься угадать. Пока не получается.

В треде есть объяснение обратного прилива. Но ты настолько туп, что даже не можешь его увидеть. А там всего два слова. Не "реакция опоры", если что.

Ох как у вас печь будет.
Аноним 17/10/24 Чтв 09:36:19 #104 №311782530 
>>311782282
Ха, в поволжье чуваши самые умные)
Аноним 17/10/24 Чтв 09:52:28 #105 №311783003 
>>311782530
Просто в Москве много понаехов, а так коренные москвичи самые умные, народ-арий
Аноним 17/10/24 Чтв 09:54:29 #106 №311783075 
>>311782426
Ну и что, какая причина? Солнце, ветра, магнитное поле? Ты видишь что либо из этого на КОНКРЕТНОЙ схеме? Нет, значит ты сам наукобот, раз рассуждаешь в рамках реальности и веришь, что мы можем ИРЛ что-то объяснить, а не просто наблюдать не понимая, что и как происходит. Физика просто ищет паттерны и с очень большими погрешностями что-то там на примитивном уровне предсказывает, а объяснить природу явлений даже все наукоботы земли не в состоянии.
Аноним 17/10/24 Чтв 10:00:00 #107 №311783249 
>>311783075
>какая причина?
Она даже не гравитационной природы. Думай.
Аноним 17/10/24 Чтв 10:02:49 #108 №311783342 
4.png
>>311769841
>мне кажется, я прозрел
Аноним 17/10/24 Чтв 10:15:09 #109 №311783674 
>>311783342
Долбоёб, откуда обратный прилив?
Аноним 17/10/24 Чтв 10:17:02 #110 №311783728 
17277350568200.png
>>311783674
>Долбоёб, откуда обратный прилив?
Аноним 17/10/24 Чтв 10:17:04 #111 №311783731 
>>311783249
Боже, какой же ты тугодум. Говорю тебе в третий раз, НА СХЕМЕ ПИКРИЛ, где подразумевается лишь два тела притягиваемых гравитацией, ЕДИНСТВЕННОЕ что могло бы повлиять на прилив с обратной стороны земли относительно луны, это третий закон ньютона, в данном случае сила реакции опоры. Но ты начал маняврировать и зачем то ушёл в полемику где перенёс эту простую понятную схему в реальность, тем самым добавив 1000000 факторов которые полностью никто на данный момент описать не может и скорее всего никогда не сможет. В этом вся суть физико и наукоботов.
Аноним 17/10/24 Чтв 10:17:26 #112 №311783746 
17291047504570.png
>>311783731
Отклеилось.
[mailto:Sage] Аноним 17/10/24 Чтв 10:17:45 #113 №311783752 
>>311760545 (OP)
У тебя возникают подобные вопросы потому, что ты необразованный дебил. Вспомнился случай где один дегенерат потратил с коаудфандинг 100 к баксов и закупился оборудованием что бы доказать что земля плоская, а в итоге доказал что она шарообразная.
Аноним 17/10/24 Чтв 10:19:41 #114 №311783803 
>>311782302
>Нагугли формулу силы притяжения между 2 телами и поймёшь

А почему ты сам не понимаешь тогда? А если понимаешь, объясни своими словами, просто и примерно? Пожалуйста.
Аноним 17/10/24 Чтв 10:32:50 #115 №311784220 
>>311760545 (OP)
>капля воды на столе не притягивается

Докажи, что не притягивается
Аноним 17/10/24 Чтв 10:33:02 #116 №311784228 
>>311783752
>один дегенерат потратил с коаудфандинг

Дегенератов не берут на работу в НАСА, смекаешь? да, этот персонаж официально работал на НАСА, вся инфа в открытом доступе.
Аноним 17/10/24 Чтв 10:34:41 #117 №311784282 
>>311761687
> 1000 килотонн капелек притягиваются, а 0.01 грамм капельки не притягивается. Что за бред блять?
Сука, в таком масштабе поверхностное натяжение намного больше
Аноним 17/10/24 Чтв 10:35:17 #118 №311784294 
>>311762248
То есть вода в моем бассейне должна двигаться от притяжения луны верно? Там не одна капля же?
Или снова МАЛО? ЛОЛЛЛЛЛ
Аноним 17/10/24 Чтв 10:40:26 #119 №311784465 
>>311783731
>ЕДИНСТВЕННОЕ что могло бы повлиять на прилив с обратной стороны земли относительно луны, это третий закон ньютона
Нет. Думай. Думай, блядь. Иначе жопа твоя будет в огне. Я уже дал две жирные подсказки:
1. Ответ на него есть в треде. Читай внимательно.
2. Это не связано с гравитацией.

>>311783803
>объясни своими словами, просто и примерно?
Океан имеет среднюю глубину в 3 километра и при этом самый высокий прилив составляет 20 метров. Грубо говоря Луна "увеличивает" высоту водяного столба на 1%.
Но. Подъём уровня океана обусловлен тем, что в разных его точках "напряжённость" гравитационного поля заметно разная. Прямо под Луной она выше, а в тысяче километров от эпицентра — ниже. Вот вода и течёт к эпицентру. Градиент же напряжённости около капли ничтожен. Это первое.
Второе. В капле большое влияние оказывают силы поверхностного натяжения. Они на порядки выше сил притяжения Луны.
Аноним 17/10/24 Чтв 11:03:47 #120 №311785204 
изображение.png
Бамп.
Аноним 17/10/24 Чтв 11:11:27 #121 №311785486 
>>311760545 (OP)
>во время полнолуния
При чём здесь вообще полнолуние?
Не важно, в какой фазе Луна над головой, она всё равно будет притягивать огромные массы.
Аноним 17/10/24 Чтв 11:23:07 #122 №311785928 
>>311785486
ОП заставляет вас шевелить мозгами.
Аноним 17/10/24 Чтв 11:57:48 #123 №311787302 
>>311760545 (OP)
Поверхностное натяжение. Океан это один цельный массивный объект за счет поверхностного натяжения. Капля такой же объект, но поменьше. Очевидно, что объект массивнее будет притягиваться интенсивнее объекта поменьше.

А почему?
В теории гравитации Ньютона сила притяжения, создаваемая объектом, пропорциональна его массе: объект с вдвое большей массой создаёт вдвое большую силу. Сила притяжения в теории Ньютона обратно пропорциональна квадрату расстояния, поэтому удалившийся на вдвое большее расстояние объект создаёт в четыре раза меньшую силу. По аналогичному закону изменяется с расстоянием освещённость, создаваемая точечным источником.

https://ru.wikipedia.org/wiki/Поверхностная_гравитация
Аноним 17/10/24 Чтв 12:16:56 #124 №311788069 
>>311787302
>Очевидно, что объект массивнее будет притягиваться интенсивнее объекта поменьше
Но большая сила должна воздействовать на больший по массе объект. Зависимость силы притяжения от массы линейная, а значит капля должна точно так же взлетать на 3 метра или океан должен оставаться на месте. Наукобот номер два детектед.
На самом деле их больше, но я детектить начал лишь недавно.
Аноним 17/10/24 Чтв 12:19:42 #125 №311788199 
>>311788069
Я напомню, что ты пытаешься доказать плоскую Землю.
Как видишь, приливы есть, а капля не взлетает на 3 метра, а вокруг Земли крутится Луна.
Аноним 17/10/24 Чтв 12:28:09 #126 №311788514 
>>311765988
Я не уверен, но вроде бы это подпадает под категорию шизофрении - нарушенное восприятие обычных вещей.
Если ты не троллишь, то попробуй теперь усилием снова увидеть здесь айсберг, а не стену края Земли.

>>311766088
>>311766182
>>311766503
>>311766618
А вы, оболтусы, спорите не с мнением человека, а с восприятием фантазера.
Аноним 17/10/24 Чтв 12:29:00 #127 №311788543 
>>311788199
>Я напомню, что ты пытаешься доказать плоскую Землю.
И где я это пытался доказать? Я тычу вас всех носом в то, что вы боты, которые насмотрелись научпопа, но нихера при этом не знающие. По крайней мере твоё объяснение природы прилива даже близко его не объясняет.

Я так и не увидел ответа, откуда берётся прилив на противоположной от Луны стороне Земли.
Аноним 17/10/24 Чтв 12:36:09 #128 №311788820 
image.png
>>311788543
Да хуй его знает, братишка.
Аноним 17/10/24 Чтв 12:40:26 #129 №311788992 
>>311788820
Ну хули ты тогда выёбываешься?
Я узрел великий замысел ОПа как раз после того, как смог вчера дать ответ на этот вопрос. Если бы не он, я бы так и оставался невежей в этой сфере.
Аноним 17/10/24 Чтв 12:44:36 #130 №311789161 
>>311788992
>ТЕОРИЯ ШАРООБРАЗНОЙ ЗЕМЛИ ТЕРПИТ ОЧЕРЕДНОЙ КРАХ

Да не, я не спорю, что некоторые постулаты представления о мире сегодня уже устарели, однако ОП не это хотел показать...
Аноним 17/10/24 Чтв 12:56:01 #131 №311789642 
Земля была когда то круглой, но твоя мамаша такая жирная, что ее сплющило. И приливы, кстати не из-за луны, просто твоя жируха смывает в толчке
Аноним 17/10/24 Чтв 12:56:15 #132 №311789654 
>>311789161
>однако ОП не это хотел показать...
Я думаю, он сознательно байтит. Пытаясь доказать ОПу, что он долбоёб, ты сам того не замечая прокачиваешь свой кругозор и улучшаешь понимание окружающих тебя процессов.
В части тех же приливов ОП прав. Почти никто толком не смог объяснить, почему капля остаётся на месте, а уровень океана пляшет. Но это не из-за того, что Земля плоская. Это просто анон туп как валенок в большинстве своём. Он реально наукобот, который зазубрил мантру и считает себя дохуя умным. Если бы ему сызмальства говорили, что Земля тор, он бы сейчас с пеной у рта отстаивал именно эту точку зрения.
Аноним 17/10/24 Чтв 13:44:48 #133 №311791648 
изображение.png
Аноним OP 17/10/24 Чтв 13:57:03 #134 №311792170 
Ребята, давайте не будем про меня.......
Аноним 17/10/24 Чтв 13:59:10 #135 №311792259 
>>311792170
В смысле? Куда ж мы без тебя?
Спасибо, ОП.
Аноним 17/10/24 Чтв 14:00:35 #136 №311792308 
17291618899850-1.png
>>311792170
Ну хоть ты им ответь. Они непроходимо тупы. Я ж знаю, что ты знаешь.
Аноним 17/10/24 Чтв 14:01:27 #137 №311792333 
>>311760545 (OP)
Пиздец, у опа капля воды не притягивается, вот долбаеб, у всех притягивается у этого дебика ни притягивается. Иди смотри на каплю внимательнее даун!
Аноним 17/10/24 Чтв 14:10:31 #138 №311792692 
>>311762899
Его нет. Земля сотовая. Переход в другие ячейки находится за антарктическим кругом. Попасть туда практически невозможно, потому что военные тебя либо развернут, либо захуярят.
Аноним 17/10/24 Чтв 14:46:44 #139 №311794204 
>>311761687
>1000 килотонн

16 квадриллионов не хочешь, олень?
Аноним 17/10/24 Чтв 15:11:54 #140 №311795444 
>>311783803
>А почему ты сам не понимаешь тогда? А если понимаешь, объясни своими словами, просто и примерно? Пожалуйста.
Тебе до этого уже много кто пояснял. Капля маленькая, у нее малая масса, а значит и сила притяжения между капелькой и Луной небольшая, в отличии от огромного моря/океана, масса которых в ебанистически раз больше, чем масса капельки
Аноним 17/10/24 Чтв 15:16:12 #141 №311795679 
>>311792308
Ну представь что справа хуйня тянется к Луне, че будет с областью слева, если права и левая области соединены? Возьми сдутый резиновый шарик, натяни его на что-то сферическое, например на небольшой теннисный мячик, а затем потяни одну из сторон этого резинового шарика, в котором теннисный мячик, что будет со 2 стороной?
Аноним 17/10/24 Чтв 15:18:18 #142 №311795792 
изображение.png
>>311795679
Аноним 17/10/24 Чтв 15:40:47 #143 №311796817 
WhatsApp Image 2024-10-17 at 16.38.42.jpeg
>>311760545 (OP)
>ТЕОРИЯ ШАРООБРАЗНОЙ ЗЕМЛИ ТЕРПИТ ОЧЕРЕДНОЙ КРАХ

уа-ха-ха. шах и мат, плоскодонщик
Аноним 17/10/24 Чтв 15:43:06 #144 №311796921 
16564477693920.jpg
>>311760545 (OP)
Притягивается. На нее влияют те же силы, что и на океан. Ты просто не замечаешь, в силу того, что это только капля.
Аноним 17/10/24 Чтв 15:46:09 #145 №311797068 
>>311760545 (OP)
Ты не понимаешь. Есть явления размерности "человек и его жизнь", а есть явления размерности "природа и Вселенная", так вот из одного в другое не суйся.
Аноним 17/10/24 Чтв 15:47:53 #146 №311797153 
>>311760545 (OP)
Я положил на электронные весы мамку опа-хуя и они показали 300кг. Я пытаюсь поднять эту смердящую и выкинуть из дома, но она не сдвигается ни на миллиметр, хотя весы показывают 200кг. Почему так, двач? Я что, не тяну ее?
Аноним 17/10/24 Чтв 15:49:17 #147 №311797220 
>>311760545 (OP)
ебало плоскодаунского сектанта который сравнивает каплю и целые моря и океаны представили?
Аноним 17/10/24 Чтв 15:50:55 #148 №311797303 
16797686680370.jpg
>>311797153
Что тяжелее, 300кг жирной мамки опа или 300кг спермы собак, которую она прияла в себя за жизнь высирая опа и подобных ему потом?
Аноним 17/10/24 Чтв 15:51:48 #149 №311797342 
>>311760545 (OP)
>отливы целых океанов, то почему капля воды на столе не притягивается к луне

а чому ты своей плоской головой решил, что она не притягивается?
sage[mailto:sage] Аноним 17/10/24 Чтв 15:52:35 #150 №311797368 
>>311760545 (OP)
хахаха блядь ну ты и далбаеб ёбанный
Аноним 17/10/24 Чтв 15:52:54 #151 №311797384 
>>311797342
Так показалось
Аноним 17/10/24 Чтв 16:37:43 #152 №311799391 
image.png
>>311760545 (OP)
Внимание, тред является троллингом. Не кормите троллей.
Аноним 17/10/24 Чтв 17:03:06 #153 №311800462 
Живу в Челябинске, в 2014-м по нам ебнулся метеорит, что это было? Сейчас, кст, можно увидеть комету в небе вечером, это что?
Аноним 17/10/24 Чтв 17:05:23 #154 №311800568 
unnamed.jpg
>>311761687
Ну ты же притягиваешься к своей жирной мамаше
Аноним 17/10/24 Чтв 17:12:56 #155 №311800900 
>>311760545 (OP)
>, то почему капля воды на столе не притягивается к луне во время полнолуния? Ответьте, промытые дауны.
Расстояние между краями капли маленькое, g луны почти не отличается.
Расстояние между побережьями океанов большое, порядка десятых частей радиуса земли,на воду ближе к луне действует значительно бОльшая сила прятяжения.
Аноним 17/10/24 Чтв 17:18:23 #156 №311801130 
>>311782124
> ее масса слишком мала, чтобы гравитационное притяжение Луны оказало на нее заметное влияние.
Это неверно. Луна создает ускорение ,которое независимо от массы того, что она притягивает. в твоей же формуле(где, кстати, проебался радиус в числителе) f=2GMm/r2=Maлуны=maкапли, откуда aкапли =(2GMm/r2)/m=2GM/r2

Наблюдаемые эффекты, такие как прилив, наблюдаются именно из-за ускорения, которое есть вторая производная от пройденного водой пути.
Аноним 17/10/24 Чтв 17:37:41 #157 №311801918 
>>311800900
Вот этот прав.

Осталось с приливом на обратной стороне земли разобраться.
Аноним 17/10/24 Чтв 17:42:13 #158 №311802093 
ЗЕМЛЯ ТОРА И ТОЛЬКО ТОРА
Аноним 17/10/24 Чтв 17:43:08 #159 №311802131 
изображение.png
Аноним 17/10/24 Чтв 17:45:24 #160 №311802221 
>>311801918
>Осталось с приливом на обратной стороне земли разобраться.
Вероятно, это связано с законом сохранения импульса.
Аноним 17/10/24 Чтв 18:30:35 #161 №311803871 
>>311795792
Да, а теперь представь что это происходит неравномерно и периодически циклами тянется сильнее - тянется слабее. Левая часть будет трястись и по ней будут волны(резиновый шарик слишком однороден и тонкий, поэтому на нем это не полностью заметно)
Аноним 17/10/24 Чтв 18:31:49 #162 №311803911 
>>311760545 (OP)
Что пидорашки перекрывают такими тредами? 3 года побед?
Аноним 17/10/24 Чтв 18:43:02 #163 №311804298 
>>311801918
>Осталось с приливом на обратной стороне земли разобраться.
Если б ты по-настоящему понимал почему он прав, и что прилив связан именно с неоднородностью гравитационного поля (именно потому что неоднородность поля Луны намного больше неоднородности поля Солнца влияние Луны намного заметней), ты бы не задавал вопрос о приливе на обратной стороне. Луна не притягивает тупо воду - вода на Земле находится в свободном падении на Луну, как бы это парадоксально не звучало.
Аноним 17/10/24 Чтв 19:27:10 #164 №311806108 
>>311797303
Я срал твоей бабушке на ебало
Аноним 17/10/24 Чтв 19:29:12 #165 №311806193 DELETED
>>311803911
Это не пидорашки, спроси у ОПа-хуя, чей Крым.
НАУКОФОБИЮ ТИРАЖИРУЕТ ЦИПСО ИЛИ ДРУГАЯ АМЕРИКАНСКАЯ ПРОПАГАНДА!
Аноним 17/10/24 Чтв 19:44:46 #166 №311806797 
>>311802221
Нет.
Аноним 17/10/24 Чтв 20:03:55 #167 №311807545 
>>311804298
>что прилив связан именно с неоднородностью гравитационного поля
Я-то это понимаю. Только обратный прилив, внезапно, напрямую с гравитацией не связан. И раз уж ты сутки спустя нагуглил статью с неоднородностью гравитации, то иди дальше. Насколько оно неоднородно? И почему именно неоднородность важна для прилива?

Запоминай числа: 0,000033 Н, 1,88 %, 750 км. Примерные прикидки есть, но нужно графическое оформление. Делать его на телефоне я рот топтал. И писанины много. Если тред до утра не утонет, то выложу.
Аноним 17/10/24 Чтв 20:22:58 #168 №311808409 
ОП. Не проеби тред до утра.
Аноним 17/10/24 Чтв 20:43:37 #169 №311809335 
Плоскоземельцы уже объяснили смену времен года и их противоположность в северном и южном... полудиске? лол, почему ветра дуют вдоль изобаров, почему ветровые циркуляции разбиваются на отдельные вихри т.д.?

А еще, видимо, есть заговор авиакомпаний, они все время полетов специально сделали таким, как если бы Земля была круглой. Причем безо всякой выгоды для себя.
Аноним 17/10/24 Чтв 20:56:15 #170 №311809925 
Ебучие дауны хули вы кормите этого тролля ебаного? За вчера в треде всего 20 постов набралось. Эта дура бы уже давно утонула и забила хуй. Ебучие ебланы.
Аноним 17/10/24 Чтв 21:04:35 #171 №311810313 
>>311809925
Пшёл нахер.

>>311809335
>почему
>почему
Какой ты любопытный почемучка. Патамушта!

Обратный прилив откуда берётся?
[mailto:Sage] Аноним 17/10/24 Чтв 21:29:36 #172 №311811311 
>>311784228
Чел, плоскоземцы не верят в существование космической станции. Что не мешает взять телескоп и увидеть ей самолично.
Все эти выкукареки про плоскую землю это такое мракобесия на уровне сжигание ведьм на костре, что мне даже комментировать все это не хочется.
Аноним 17/10/24 Чтв 22:08:43 #173 №311812719 
Оп, держи тред.
Аноним 17/10/24 Чтв 22:10:47 #174 №311812811 
Хрен с ней с водой.
Под земной корой шарообразной Земли находится жидкая мантия ебейшей массы.
Луна должна в ней также вызывать приливные силы. Т.е. жидкая мантия должна раздрачивать и ломать тонкую скорлупу коры.
Аноним 17/10/24 Чтв 22:15:22 #175 №311812992 
>>311760545 (OP)
Зачем к Луне? На твоем пике же сказанно что к центру масс.
Аноним 17/10/24 Чтв 22:34:46 #176 №311813715 
>>311803871
Обоснование неверно. Учи физику.
Аноним 17/10/24 Чтв 22:56:16 #177 №311814428 
>>311801130
>Наблюдаемые эффекты, такие как прилив, наблюдаются именно из-за ускорения, которое есть вторая производная от пройденного водой пути.
>Наблюдаемый эффект следствие ускорение которое является следствием наблюдаемого эффекта.
Круговой аргумент какой-то. Ты либо от сил к траектории переходи, либо обратно
Аноним 17/10/24 Чтв 23:12:31 #178 №311814877 
1h8r9w.jpg
>>311811311
#iss_is_fake
Аноним OP 17/10/24 Чтв 23:34:04 #179 №311815596 
>>311811311
>плоскоземцы не верят в существование космической станции
Тыскозал? Лично я верю в существование космической станции, но как её наличие укрепляет гепотизу шарообразной Земли?
Аноним 17/10/24 Чтв 23:35:20 #180 №311815630 
Я те утону!
Аноним 17/10/24 Чтв 23:41:39 #181 №311815807 
АНОНЫ, Я ВЧЕРА ДЫШАЛ ВОЗДУХОМ
@
ПРУФЫ???
@
НАСА: МЫ СФОТКАЛИ РАЗНОЦВЕТНУЮ ГАЛАКТИКУ В 100500 МИЛЛИОНАХ СВЕТОВЫХ ЛЕТ ОТ ЗЕМЛИ
@
ВЫ ПОСМОТРИТЕ КАКИЕ ЗВËЗДОЧКИ!
@
ДО ЧЕГО ЖЕ НАУКА ДОШЛА!
Аноним 17/10/24 Чтв 23:50:21 #182 №311816040 
>>311807545
>Только обратный прилив, внезапно, напрямую с гравитацией не связан.
Признаться, не понял какой ты разговор продолжаешь, но бог с ним...
Именно с гравитацией и только с ней прилив и связан. Только не банально с тем, что "Луна притягивает воду", а 1) с той разницей, что существует в силе притяжения Луны у ближайшей к ней стороны Земли и у противоположной стороны 2) непараллельностью векторов силы притяжения Луны на боковых сторонах Земли. Именно эти обстоятельства порождают две противоположные приливные волны.
Аноним 18/10/24 Птн 00:38:58 #183 №311817167 
>>311815807
>НАСА: МЫ СФОТКАЛИ
Проиграл чёт. Что они могут сфоткать? Где РЕАЛЬНЫЕ фотографии?
sage[mailto:sage] Аноним 18/10/24 Птн 01:37:49 #184 №311818623 
>>311809925
Тут просто один ещё хуесос помимо ОПа бампает это говно.
comments powered by Disqus